Przeczytaj
Jak podzielone są węglowodory?
Węglowodory to najprostsze związki organiczne, które podzielone są na węglowodory alifatycznewęglowodory alifatyczne oraz aromatycznearomatyczne. Do alifatycznych należą zarówno związki nasyconenasycone – takie jak alkany i cykloalkany – oraz nienasyconenienasycone – takie jak alkeny, cykloalkeny oraz alkiny. Węglowodory aromatyczne natomiast to płaskie węglowodory pierścieniowe, w których cząsteczkach występuje zdelokalizowana chmura elektronów, umiejscowiona w pierścieniu. Wprowadzenie do węglowodorów innych pierwiastków (np. fluorowców) prowadzi do powstania ich pochodnych. Poniżej przedstawiono zestawienie wybranych, typowych reakcji otrzymywania węglowodorów oraz reakcji, którym węglowodory ulegają, tworząc ich pochodne.
Węglowodory alifatyczne
Alkany i cykloalkany
Otrzymywanie
Alkany uzyskuje się przede wszystkim ze źródeł naturalnych – gazu ziemnego oraz ropy naftowej – poddanych odpowiednim procesom.
Główny przedstawiciel alkanów – metan – otrzymuje się najczęściej w następujących reakcjach:
Pozostałe alkany uzyskuje się często w wyniku syntezy Wurtza, która polega na wydłużaniu łańcucha węglowego lub jego zamknięciu, poprzez reakcję fluorowcopochodnych alkanów z metalicznym sodem. Cykloalkany można otrzymać również w wyniku reakcji fluorowcopochodnych alkanów z cynkiem, pod warunkiem, że atomy fluorowców związane są z terminalnymi (końcowymi) atomami węgla.

Należy tutaj pamiętać, że w wyniku reakcji różnych fluorowcopochodnych alkanów otrzymuje się różne alkany w wyniku przypadkowych połączeń grup alkilowych, wśród których jeden stanowi produkt główny (zapisywany w równaniu reakcji). Na przykład w wyniku reakcji chlorometanu z chloroetanem, oprócz propanu, uzyskuje się również, jako tzw. produkty uboczne, etan oraz butan.
Reakcje alkanów i cykloalkanów
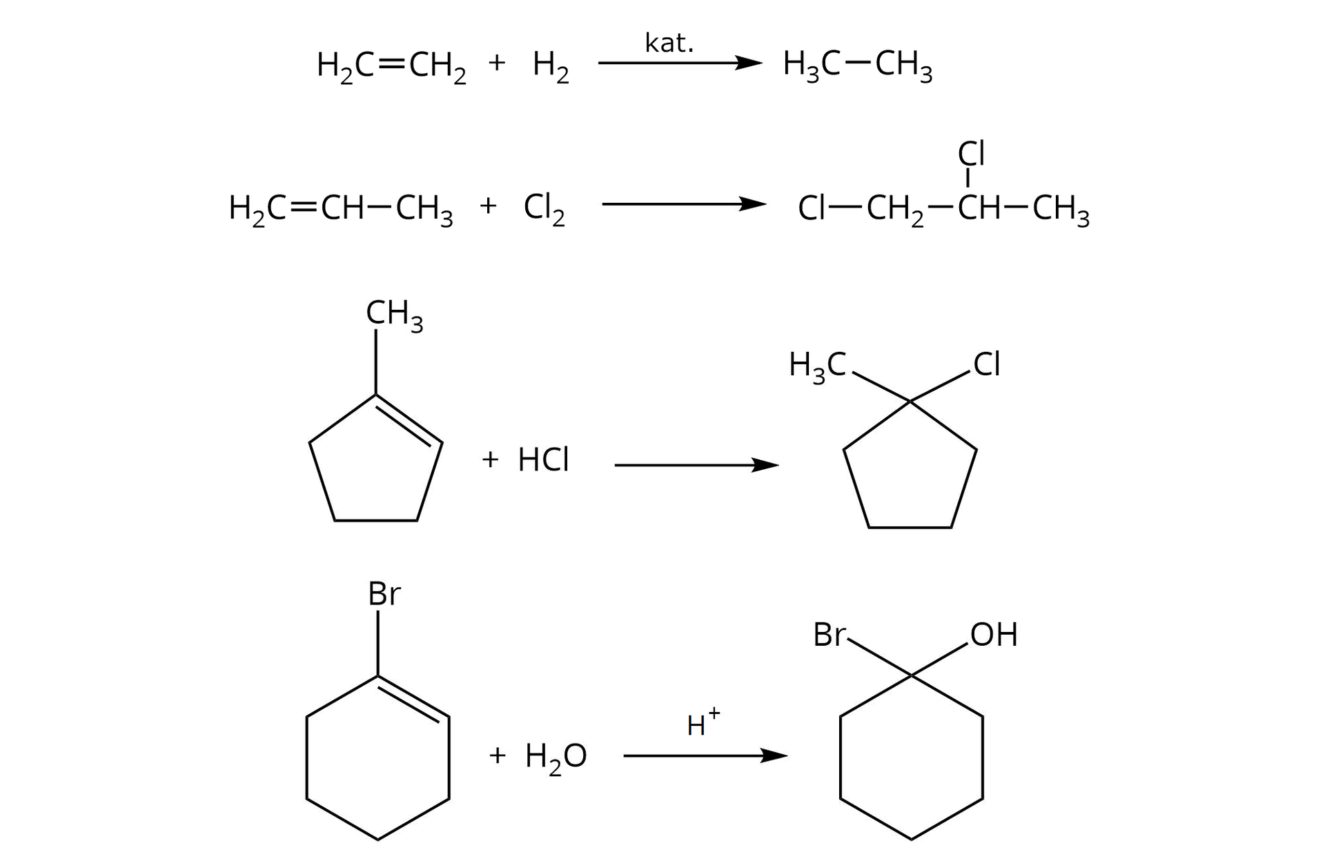
Alkany należą do mało reaktywnych węglowodorów ze względu na występowanie w ich cząsteczkach tylko wiązań pojedynczych. Ulegają wyłącznie reakcjom substytucji rodnikowej, która polega na podstawieniu atomów wodoru atomami fluorowców. Reakcja ta zachodzi w obecności światła ():
Należy pamiętać, że przy odpowiedniej ilości fluorowca reakcja może zachodzić dalej, aż do całkowitego podstawienia wszystkich atomów wodoru. Są to reakcje następcze. Co więcej, produktem głównym reakcji substytucji rodnikowej jest związek chemiczny, będący wyżej rzędową pochodną (podstawienie nastąpiło przy atomie węgla o najwyższej rzędowości).

Alkeny i cykloalkeny
Otrzymywanie
Alkeny i cykloalkeny otrzymuje się często w wyniku eliminacji wody z alkoholi pod wpływem odczynnika odwadniającego (tlenku glinu lub stężonego kwasu siarkowego()) oraz fluorowcowodoru z fluorowcopochodnych alkanów, w środowisku alkoholu etylowego i podwyższonej temperaturze.

W przypadku eliminacji cząsteczek typu oraz wody z niesymetrycznych fluorowcopochodnych węglowodorów, należy pamiętać o regule Zajcewa, która mówi o tym, że w trakcie eliminacji atom wodoru odłącza się od tego atomu węgla, przy którym jest najmniej atomów wodoru.
Reakcje alkenów i cykloalkenów
Alkeny i cykloalkeny należą do reaktywnych węglowodorów ze względu na występowanie podwójnego wiązania, w którym jedno jest nietrwałe (wiązanie ) i łatwo ulega rozerwaniu podczas przyłączania drobin do cząsteczek tych związków. Alkeny i cykloalkeny ulegają więc w głównej mierze reakcjom addycji wodoru, która przebiega w obecności katalizatora, oraz czynników (np. , ), (np. , ), a także wody, w odpowiednich warunkach. W wyniku reakcji powstają alkany, fluorowcopochodne alkanów lub/i alkohole.

Należy pamiętać, że addycja fluorowcowodorów (np. , ) oraz wody zachodzi zgodnie z regułą Markownikowa. Produktem głównym jest ten, w którym atom wodoru przyłączył się do tego atomu węgla związanego wiązaniem podwójnym, przy którym jest większa liczba atomów wodoru.
Alkiny
Otrzymywanie
Alkiny otrzymuje się często w wyniku eliminacji fluorowcowodorów z fluorowcopochodnych alkanów, w środowisku alkoholu etylowego i w podwyższonej temperaturze.

Reakcje alkinów
Alkiny należą do reaktywnych węglowodorów ze względu na posiadanie dwóch słabych wiązań pomiędzy atomami węgla. Podobnie jak alkeny, alkiny ulegają reakcjom addycji wodoru, w obecności katalizatora oraz czynników typu (np. , ), (np. , ) czy też wody, w których powstają pochodne tych węglowodorów. W wyniku addycji niedomiaru odczynnika powstają alkeny oraz ich pochodne, a w wyniku addycji nadmiaru odczynnika powstają alkany oraz ich pochodne.

W przypadku addycji czynników typu do alkinów, należy również pamiętać o regule Markownikowa.
Węglowodory aromatyczne
Otrzymywanie
Benzen, główny przedstawiciel węglowodorów aromatycznych, można otrzymać m.in. poprzez katalityczną trimeryzację etynu.

Reakcje węglowodorów aromatycznych
Węglowodory aromatyczne, ze względu na posiadanie pierścienia aromatycznego, ulegają reakcjom substytucji elektrofilowej. Dzięki reakcjom m.in. alkilowania, nitrowania czy halogenowania otrzymuje się pochodne węglowodorów aromatycznych, tak jak przedstawiono na przykładzie metylobenzenu (toluenu):


Należy tutaj pamiętać, że podstawnikipodstawniki elektronodonorowe, czyli takie, które „dostarczają” elektrony do pierścienia aromatycznego (np. , , , ), kierują pozostałe podstawniki w pozycję orto i para, dzięki czemu otrzymuje się mieszaninę produktów. Natomiast podstawniki elektronoakceptorowe (np. , , ) „wyciągają” elektrony z pierścienia aromatycznego i kierują pozostałe podstawniki w pozycję meta.
Słownik
węglowodory o cząsteczkach, w których atomy węgla tworzą łańcuchy (proste lub rozgałęzione); nasycone — alkany, cykloalkany; nienasycone — alkeny, cykloalkeny i alkiny
węglowodory o cząsteczkach, w których występują tylko wiązania pojedyncze
węglowodory o cząsteczkach, w których występują, oprócz wiązań pojedynczych, wiązania wielokrotne
węglowodory pierścieniowe o charakterze aromatycznym; na pierścieniu ich cząsteczek zachodzi zjawisko delokalizacji chmury elektronowej
atom lub grupa atomów zastępująca atom wodoru w cząsteczce związku organicznego; pochodne węglowodorów, w których atom lub grupa atomów wodoru zostały zastąpione innym podstawnikiem, np. fluorowcem, grupą
Bibliografia
Dudek‑Różycki K., Płotek M., Wichur T., Węglowodory. Repetytorium i zadania, Kraków 2020.
Dudek‑Różycki K., Płotek M., Wichur T., Kompendium terminologii oraz nazewnictwa związków organicznych. Poradnik dla nauczycieli i uczniów, Kraków 2020.
McMurry J., Chemia organiczna, Warszawa 2000.
Morrison R. T., Boyd R. N., Chemia organiczna, Warszawa 1985.