Przeczytaj
Ozon
OzonOzon można znaleźć w dolnych warstwach atmosferyatmosfery. W tej najbliższej Ziemi –troposferze – występuje zmiennie w stosunkowo małych ilościach, od 0,02 do 10 ppm (ppm – część milionowa).

Ozon zaliczany jest do tzw. reaktywnych form tlenu, a zatem charakteryzuje się znaczną reaktywnością, większą od zwykłej, dwuatomowej cząsteczki tlenu i mniejszą od niej stabilnością. Mało tego, jest silniejszym niż tlen utleniaczem, dlatego też należy pamiętać, że w większych stężeniach, przekraczających 0,2, jest szkodliwy dla zdrowia. Zanieczyszczający powietrze ozon (np. jako jeden ze składników smogu fotochemicznego) stanowi zagrożenie. Tak jak w przypadku innych szkodliwych substancji, należy go unikać bądź chociaż unikać z nim kontaktu. Przy podwyższonym stężeniu ozonu w powietrzu, należy ograniczać przebywanie na zewnątrz, w tym uprawianie sportów i ćwiczeń. Osobom z grupy ryzyka, lekarze zalecają pozostanie w domach.
Szkodliwe działanie ozonu
Ozon jest wyjątkowo reaktywny – w związku z tym może działać szkodliwie na organizmy. Wdychanie ozonu może powodować podrażnienia nosa, gardła oraz reakcje zapalne dróg oddechowych, trudności w oddychaniu i napady astmy.


Po burzy
Ozon działa toksycznie na drogi oddechowe człowieka. Po burzy, podczas której w wyniku wyładowań atmosferycznych powstaje, wyczuwalny jest jego „świeży” zapach. Czy spacer na takim świeżym powietrzu może być więc szkodliwy dla zdrowia? Przeanalizuj tabelę i zapisz odpowiedź.
Tabela 1. Odziaływanie ozonu troposferycznego wdychanego drogą oddechową na żywe organizmy.
Oddziaływanie | Wartość stężenia [ppm] | Wartość w przeliczeniu na |
|---|---|---|
Dopuszczalne stężenie ozonu na stanowisku pracy przy ekspozycji 8 h | 0,050 - 0,100 | 0,107 - 0,200 |
Wyczuwalność zapachu - średnia | 0,020 | 0,040 |
Wyczuwalność zapachu - w zależności od właściwości organizmu | 0,010 - 0,040 | 0,020 - 0,086 |
Minimalne stężenie wywołujące podrażnienie oczu, nosa, gardła, ból głowy, skrócenie oddechu | od 0,100 | od 0,200 |
Zaburzenia oddychania, zmniejszenie przyswajania tlenu, ogólne zmęczenie i ból w piersiach, suchy kaszel | 0,500 - 1,000 | 1,070 - 2,140 |
Ból głowy, zaburzenia oddychania, senność, ciężkie zapalenie płuc przy dłuższej ekspozycji | 1,000 - 10,000 | 2,140 - 21,400 |
Niebezpieczeństwo dla życia i zdrowia | 10,000 | 21,400 |
Stężenie śmiertelne dla małych zwierząt w ciągu 2 godzin | 15,000 - 20,000 | 32,100 - 42,800 |
Śmiertelne stężenie w ciągu kilku minut | powyżej 1700,000 | powyżej 3638,000 |
Indeks górny Źródło: Wojewódzki Inspektorat Środowiska w Warszawie Indeks górny koniecŹródło: Wojewódzki Inspektorat Środowiska w Warszawie

W ozonatorach, czyli generatorach ozonu, ozon otrzymuje się dzięki kontrolowanym wyładowaniom elektrycznym w próbce czystego tlenu.

Ozon w syntezie chemicznej
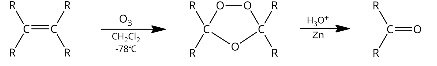
Ozon stosuje się w syntezie organicznej do utleniania alkenów. Schemat tego procesu przedstawia grafika:

Stosowany jest także w procesach technologicznych, w których konieczne jest utlenianie związków organicznych, w tym takich, które nie ulegają lub ulegają niewystarczająco szybko biodegradacji.

Ozon znajduje zastosowanie w przemyśle celulozowo‑papierniczym – do wybielania miazgi celulozowej, co pozwala ograniczyć wykorzystanie do tego celu chloru i jego związków. Tak otrzymany papier określa się mianem papieru wolnego od chloru (TCF – Total Chlor Free, ECF – Elemental Chlor Free).
Na podstawie poniższego wykresu napisz, jaka technologia produkcji papieru jest wiodąca od 2000 r.

Czy ozon może być pomocny w walce z epidemią COVID‑19?
-
Duże firmy kurierskie w czasie epidemii stosują obok kwarantanny paczek ich ozonowanie.
-
Ozonowanie, w przypadku działania mającego na celu ograniczenie rozprzestrzeniania się wirusa wywołującego COVID-19, zalecane jest jako jedną z metod dezynfekcji, stosowaną np. w pomieszczeniach, w których przebywałaby osoby chore na ten wirus. Ozonowanie musi być stosowane w połączeniu z podstawowymi metodami, jak mycie i dezynfekcja powierzchni czy wietrzenie pomieszczeń.
-
Dezynfekcja pomieszczeń może być przeprowadzana z wykorzystaniem ozonu. Warunkiem jednak jest rygorystyczna kontrola i nadzorowanie tego procesu, ze względu na poziom ozonu w pomieszczeniu, w którym mają przebywać ludzie.
-
Zgodnie z opinią Narodowego Instytutu Zdrowia Publicznego – Państwowego Zakładu Higieny (NIZP-PZH) – ozonowanie znacząco wpływa na zmniejszenie liczebności wirusa o 1-3 rzędy, co daje efekt higienizujący, ale nie dezynfekujący (skuteczna dezynfekcja zakłada obniżenie liczby mikroorganizmów do poziomu, który nie powoduje infekcji).
-
Ozonowaniu poddaje się także pojazdy służące do przewozów osobowych – autokary, samochody osobowe.
Inne zastosowania ozonu
Oczyszczanie wody

Ozonowanie wody jest jednym ze sposobów jej dezynfekcji, czyli oczyszczania jej z drobnoustrojów. Stanowi bardzo skuteczny sposób dezynfekcji wody w basenach pływackich. Swoje właściwości dezynfekcyjne zawdzięcza właściwościom utleniającym, dzięki którym łatwo oddziałuje m.in. z białkami, uszkadzając je, co w konsekwencji prowadzi do śmierci drobnoustrojów.
Dezynfekcja pomieszczeń i przedmiotów codziennego użytku

Zastosowanie ozonu pozwala na zapewnienie sterylnych warunków i spełnienie wysokich standardów higienicznych wszędzie tam, gdzie jest to niezbędne, np. na salach chorych, w żłobkach, przedszkolach, w placówkach medycznych. To także metoda na zapobieganie skażeniom – przez wykorzystanie ozonu do dezynfekcji karetek, łóżek szpitalnych, wyposażenia gabinetów zabiegowych itd. Taką dezynfekcję zaleca się także w przypadku budynków po pożarach i powodziach. Zabieg ten skutecznie eliminuje pleśń, grzyby oraz nieprzyjemne zapachy dymu i spalenizny. Ich neutralizacja przy użyciu ozonu wynika z jego reaktywności i zdolności utleniających – ozon reaguje z cząsteczkami zapachowymi, przekształcając lub rozkładając je do prostszych, bezzapachowych związków. Ważne jest, aby po jego zastosowaniu odczekać odpowiednią ilość czasu, aby większość użytego ozonu uległa rozpadowi, dzięki czemu nie będzie stanowił zagrożenia dla naszego zdrowia.
Przemysł spożywczy

Ozon stosowany jest do przechowywania owoców i warzyw na różnych etapach procesów technologicznych, np. w przemyśle cukrowniczym i fermentacyjnym. Jako czynnik biobójczy eliminuje stosowanie do tego celu związków chemicznych szkodliwych dla środowiska naturalnego. Drugą zaletą jest szybki rozpad do tlenu i tylko min. ilości produktów ubocznych.
Kosmetologia i medycyna

Ozon, mimo swojej toksyczności, szczególnie wobec układu oddechowego, może być wykorzystywany w medycynie i kosmetologii. Używa się go do wygładzania zmarszczek, poprawy elastyczności i nawilżenia skóry. Ponadto jest niezawodny w leczeniu trądziku, opryszczki, nadpotliwości stóp, łuszczycy, cellulitu oraz w terapii „stopy cukrzycowej”. Wynika to z jego właściwości bakteriobójczych i grzybobójczych. Aktywuje również naturalne mechanizmy antyoksydacyjne, dzięki czemu komórki skóry lepiej radzą sobie z wolnymi rodnikami. Zostaje aktywowana synteza niektórych białek, np. kolagenu.
Co daje nam ozonowanie?
Na podstawie lekcji oraz dostępnych źródeł informacji, uzupełnij mapę myśli o przykłady zastosowania ozonu.
Na podstawie lekcji oraz dostępnych źródeł informacji, dopisz zastosowania ozonu nieuwzględnione w poniższej mapie myśli. Odpowiedź zapisz w poniższym polu.
-
Zastosowanie ozonu
-
dezynfekcja powietrza
-
usuwanie bakterii i wirusów
-
trwałe usuwanie brzydkich zapachów
-
usuwa szkodliwe alergeny
-
eliminacja grzybów i pleśni
-
likwidacja roztoczy
-
Słownik
(gr. ózōn „pachnący”) tritlen, ; alotropowa odmiana tlenu o cząsteczce trójatomowej
najbardziej zewnętrzna, gazowa część naszej planety; składa się z mieszaniny gazów zwanej powietrzem; wyróżnia się pionową strukturę atmosfery, w zależności od rozkładu temperatury–troposfera (najbliższa Ziemi), stratosfera, mezosfera, termosfera
warstwa ozonowa, warstwa atmosfery ziemskiej o podwyższonej zawartości ozonu; znajduje się w stratosferze na wys. 15–50 km, z maksimum koncentracji ozonu na wys. 20–30 km
wystąpienie u ludzi zachorowań na określoną chorobę w określonym czasie i na określonym terenie w liczbie przypadków większej niż przeciętnie
Bibliografia
Bartosz G., Druga twarz tlenu, Warszawa 1995, s. 50‑53.
Krosowiak k., Śmigielski k., Dziugan P., Zastosowanie ozonu w przemyśle spożywczym, „Przemysł spożywczy” 2007, nr 11, s. 26‑29.
Litwin M., Styka‑Wlazła Sz., Szymońska J., Chemia ogólna i nieorganiczna, Podręcznik dla liceum, cz. 1, Warszawa 2004, s. 281‑286.
Trzeciak A.M., Wstęp do chemii nieorganicznej środowiska, Wrocław 1995, s. 13‑17.