Sprawdź się
Jaką nazwę systematyczną posiada związek o poniższym wzorze półstrukturalnym przedstawionym na rysunku? Zaznacz poprawną odpowiedź.

Narysuj wzór półstrukturalny ()--metyloheks--enu.
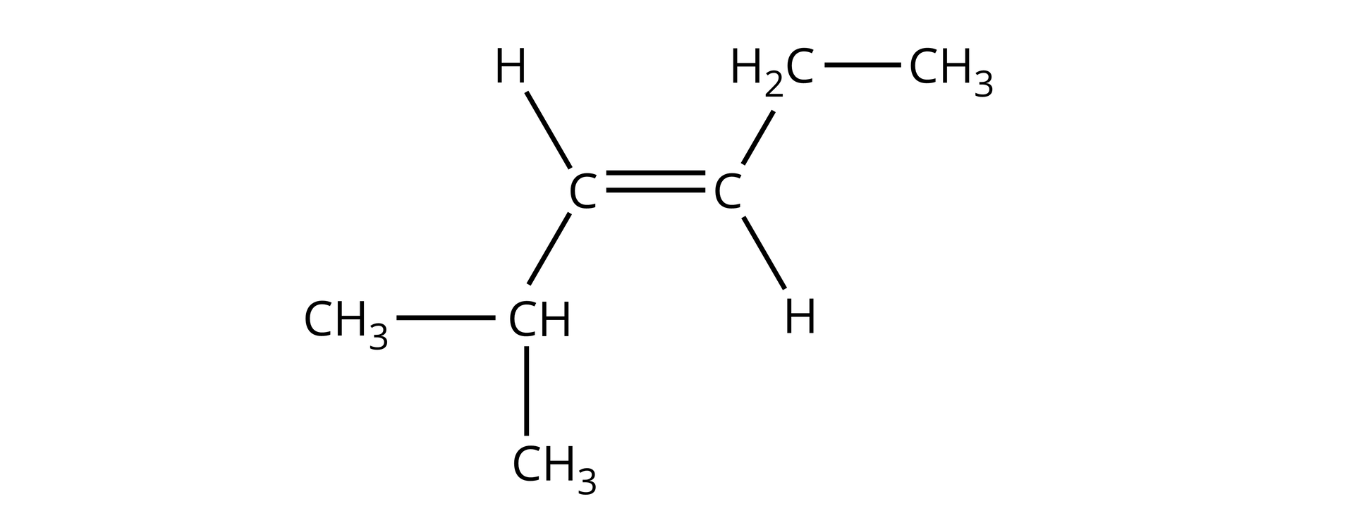
Czy związek o wzorze przedstawionym na rysunku tworzy izomery typu /? Odpowiedź uzasadnij.

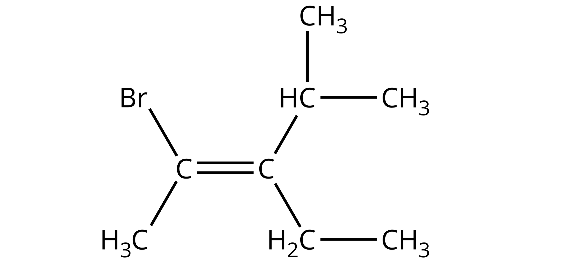
Narysuj wzór półstrukturalny ()--bromo--etylo--metylopent--enu.
Pewien alkohol trzeciorzędowy można otrzymać w wyniku addycji wody do dwóch różnych alkenów. Wiedząc, że cząsteczka tego alkoholu zawiera pięć atomów węgla, narysuj jego wzór półstrukturalny i podaj jego nazwę. Następnie odpowiedz na pytanie, czy alkeny, których można użyć do otrzymania tego alkoholu wspomnianą metodą, mogą tworzyć izomery /.
Na całkowite odbarwienie roztworu bromu w rozpuszczalniku organicznym, zawierającego bromu, zużyto pewnego alkenu. Ustal wzór sumaryczny tego alkenu oraz narysuj jego wzór półstrukturalny i podaj nazwę wiedząc, że:
tworzy on izomery typu /;
jeden z atomów węgla, uczestniczących w tworzeniu wiązania podwójnego, posiada dwa podstawniki alkilowe.
izomeru cis pewnego alkenu poddano reakcji z manganianem() potasu w środowisku kwasowym na gorąco, otrzymując kwasu karboksylowego. Podaj nazwę alkenu i narysuj jego wzór półstrukturalny.
Bezwodniki kwasowe to związki organiczne, które w wyniku reakcji z wodą tworzą odpowiedni kwas karboksylowy. Na rysunku poniżej znajduje się wzór bezwodnika maleinowego, gdzie czerwoną kreską zaznaczono rozerwane wiązanie w trakcie reakcji.

Zapisz wzór półstrukturalny kwasu maleinowego, który powstanie w wyniku powyższej reakcji, i podaj jego nazwę, określając odpowiedni typ stereoizomeru.










