Sprawdź się
Przeprowadzono doświadczenie, zilustrowane na rysunku.
Przeprowadzono doświadczenie. Zapoznaj się z opisem ilustracji.

Jaki związek powstanie w probówce zanurzonej w krystalizatorze?
Podaj nazwę systematyczną organicznego produktu reakcji dehydratacji, która została przedstawiona poniżej.
Podaj nazwę systematyczną organicznego produktu opisanej poniżej reakcji dehydratacji.

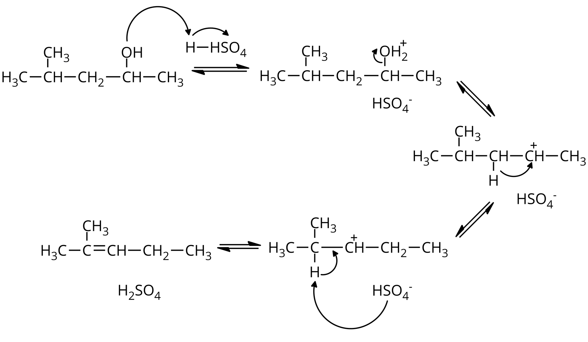
W procesie dehydratacji, w stanie przejściowym, karbokation może ulec przegrupowaniu w kierunku tworzenia karbokationu bardziej trwałego, czyli o wyższej rzędowości. Co więcej, w tej reakcji obowiązuje reguła Zajcewa. Zgodnie z nią, jeśli możliwe jest powstanie dwóch izomerów podczas przebiegu reakcji eliminacji, to produktem głównym jest ten, który powstaje przez oderwanie atomu wodoru od atomu węgla, związanego z mniejszą liczbą atomów wodoru.

1. Zapisz równanie reakcji dehydratacji poniższego związku w obecności kwasu fosforowego() jako katalizatora.

Uzasadnij budowę głównego organicznego produktu reakcji.
Butan--ol poddano reakcji dehydratacji przy użyciu stężonego kwasu
siarkowego(). Jakie produkty powstały? Podaj ich wzory półstrukturalne i nazwy systematyczne. Oceń, który z produktów powstał w większej ilości.
Uczeń do reakcji dehydratacji użył ciekłego etanolu, który został ogrzany łagodnie w płomieniu palnika do momentu, aż cały etanol przeszedł w stan pary. Reakcja przebiegała w obecności katalizatora (tlenku glinu). Oblicz objętość etenu, który powstałby przy założeniu, że reakcja zachodziła w warunkach normalnych z wydajnością . Wynik podaj z dokładnością do dwóch cyfr znaczących.
