Sprawdź się
Jaki stopień utlenienia przyjmuje atom węgla grupy karbonylowej w etanalu?

- 0
- I
- –I
- II
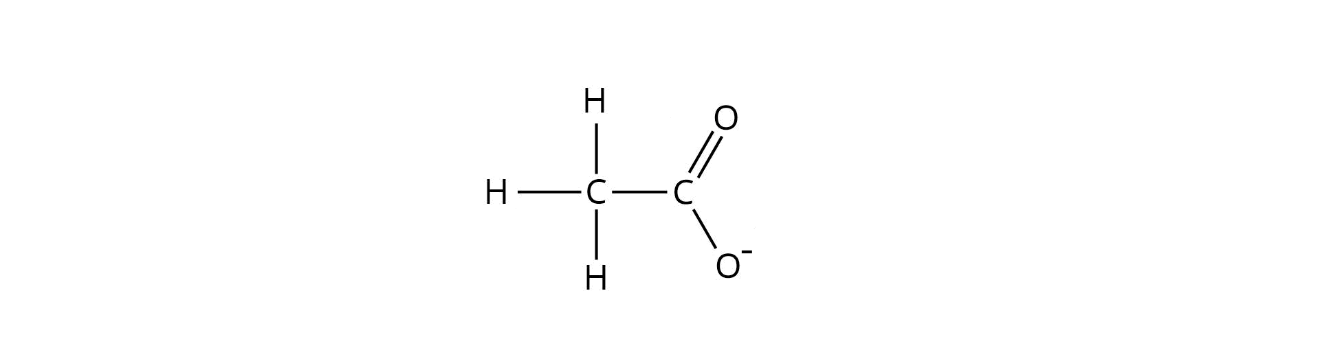
Suma stopni utlenienia atomów w jonie jest równa ładunkowi jonu. W oparciu o tę regułę, uzupełnij równanie dla jonu przedstawionego poniżej, pamiętając o znakach .
Suma stopni utlenienia atomów w jonie jest równa ładunkowi jonu. W oparciu o tę regułę, uzupełnij równanie dla jonu, pamiętając o znakach plus lub minus. Zapoznaj się z opisem ilustracji.

, , , ,
Uzupełnij puste pola. Oblicz i podaj stopnie utlenienia atomów w poniższej cząsteczce i jonie.
-II, I, -II, -III, -I, -II
Ustal, jakie stopnie utlenienia posiada atom azotu w każdej cząsteczce.

Przeprowadzono reakcję Canizarro przy udziale aldehydu benzoesowego (). W wyniku reakcji powstał benzenokarboksylan sodu () oraz fenylometanol ().

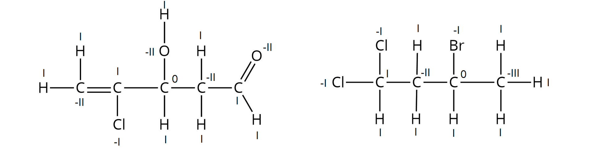
Ustal stopnie utlenienia atomów węgla, które zostały oznaczone kolorem czerwonym, i uzupełnij tabelę.
| 1 | 2 | 3 |
|---|---|---|

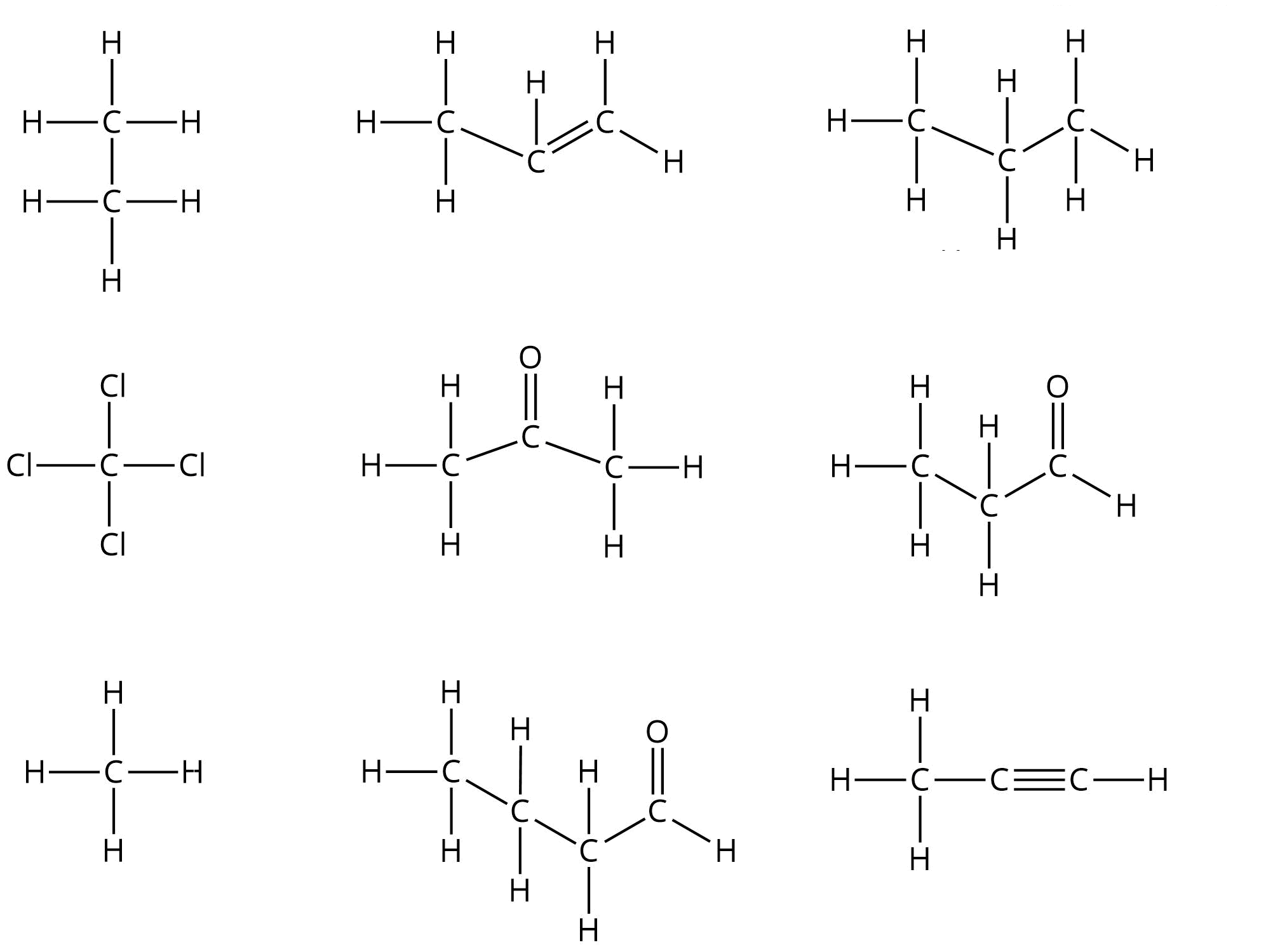
Ustal stopnie utlenienia atomów węgla w poniższych cząsteczkach i zapisz wniosek dotyczący stopnia utlenienia atomów węgla w związkach organicznych.
-IV, (0), IV, +I, +I, -III, -III, +II, -II
