Sprawdź się
Zaznacz poprawne odpowiedzi.
Napisz wzór półstrukturalny dowolnego dipeptydu. Podaj jego nazwę, a następnie oblicz masę cząsteczkową.
Za pomocą wzorów półstrukturalnych zapisz równanie reakcji tworzenia tripeptydu o sekwencji aminokwasów: Ala–Gly–Ala.
Zapisz wzory półstrukturalne aminokwasów wchodzących w skład poniższego peptydu. Czy potrafisz podać ich nazwy?

Opisz wzory półstrukturalne aminokwasów wchodzących w skład poniższego peptydu. Czy potrafisz podać ich nazwy?
Podaj nazwę związku, którego wzór przedstawiono poniżej. Podaj jego sekwencję zapisaną za pomocą trójliterowych kodów. Związek ten poddano hydrolizie w środowisku kwasowym. Zapisz równanie tego procesu i podaj nazwy powstających produktów.

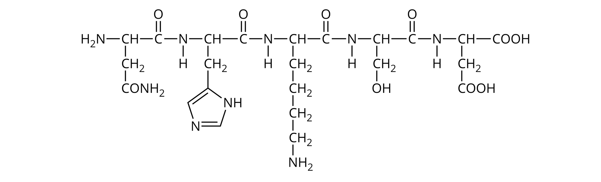
Zapisz wzory półstrukturalne aminokwasów powstałych w wyniku hydrolizy następującego pentapeptydu.

Rozwiąż poniższe zadania:
A) Podaj pełną nazwę tripeptydu Ala–Gly–Gly.
B) Zapisz za pomocą trójliterowych kodów peptyd o nazwie: glicyloseryloglicyna.
C) Podaj nazwę tripeptydu o wzorze przedstawionym na poniższej ilustracji.

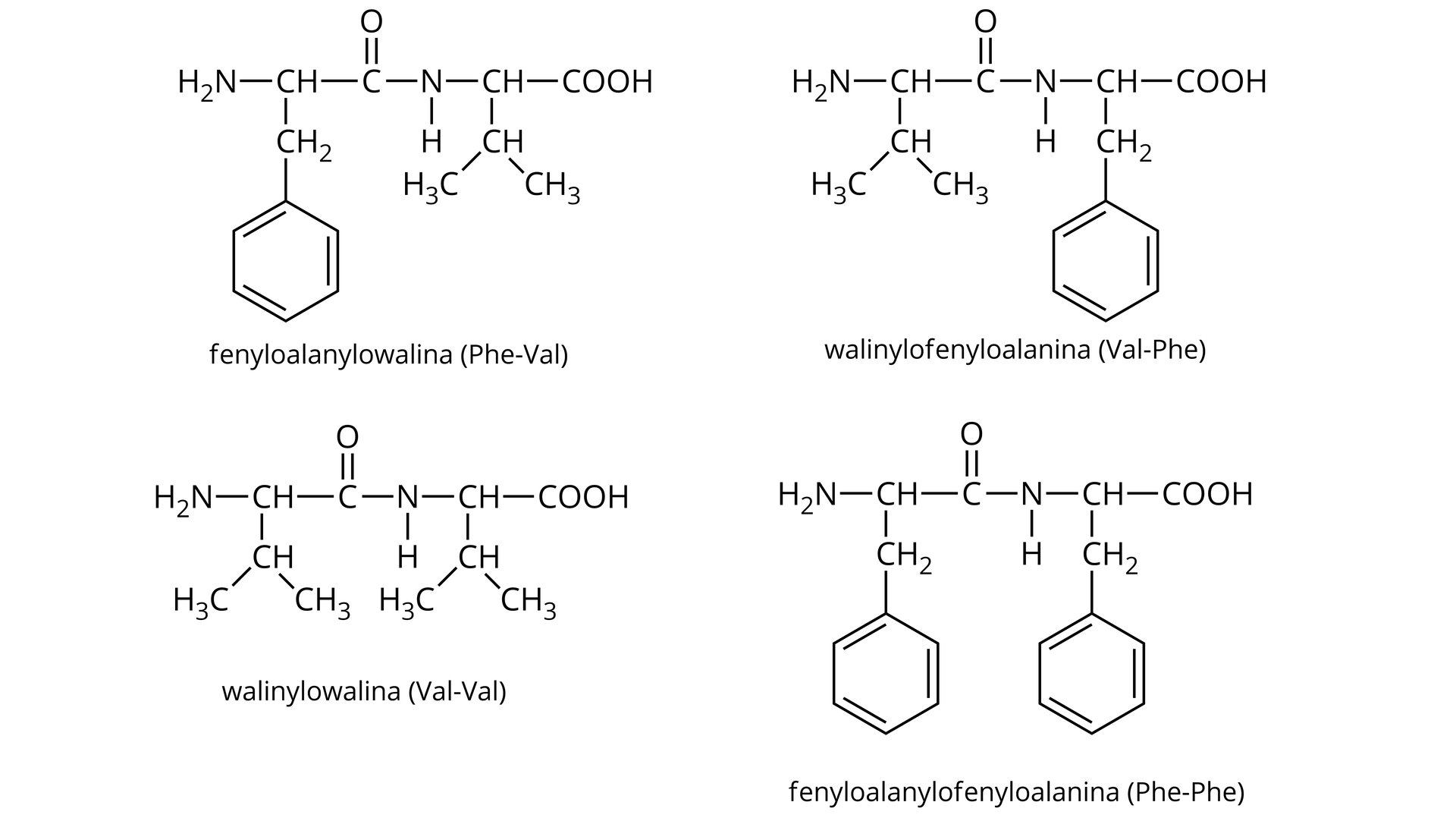
Fenyloalanina (kwas 2–amino–3–fenylopropanowy) oraz walina (kwas 2–amino–3–metylobutanowy) należą do aminokwasów białkowych. Napisz wzory półstrukturalne wszystkich dipeptydów, jakie można otrzymać z tych związków, oraz podaj ich nazwy.
Poniżej przedstawiono wzór aspartamu. Odpowiedz na związane z nim pytania.
A) Czy jest to dipeptyd? Jeśli tak, zaznacz ugrupowanie peptydowe.
B) Czy jest to ester? Jeśli tak, zaznacz ugrupowanie estrowe.
C) Związek poddano hydrolizie. Podaj główne organiczne produkty tej reakcji oraz zapisz ich wzory półstrukturalne.
Struktura związku zbudowana jest z grupy aminowej połączonej z grupą , która to łączy się z grupą podstawioną grupą karboksylową oraz z atomem węgla połączonym za pomocą wiązania podwójnego z atomem tlenu. Atom węgla dalej związany jest grupą , która łączy się z dwoma podstawnikami. Pierwszy z nich stanowi grupa połączona z pierścieniem fenylowym, zaś drugi ugrupowanie . Możliwe odpowiedzi: 1. , 2. , 3. , 4. , 5. więcej niż








