Genetyka molekularna
Kwasy nukleinowe - budowa i funkcje
Omówisz budowę DNA i RNA.
Wskażesz różne wiązania występujące w DNA.
Wyjaśnisz rolę DNA jako nośnika informacji genetycznej.
Kwasy nukleinowe są biopolimerami - związkami chemicznymi wytwarzanymi w żywych komórkach, które składają się z wielu powtarzalnych jednostek (merów). Znane są dwa rodzaje kwasów nukleinowych: kwas deoksyrybonukleinowy (DNA) oraz kwas rybonukleinowy (RNA). Jednostkami budującymi DNA i RNA są nukleotydy.
Budowa DNA
W budowie DNA występują cztery różne nukleotydy. Każdy z nich składa się z:
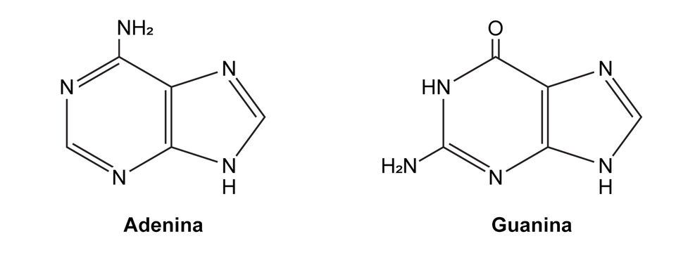
Nukleozydu, zbudowanego z jednej z zasad azotowych: adeniny (A), guaniny (G), cytozyny (C) lub tyminy (T) połączonej z pierwszym atomem węgla (1′) pięciowęglowego cukru deoksyrybozydeoksyrybozy.


Reszty kwasu fosforowego(V) połączonej z grupą hydroksylową piątego atomu węgla (5′) deoksyrybozy.

W cząsteczce DNA nukleotydy łączą się ze sobą wiązaniem fosfodiestrowym (3′-5′-fosfodiestrowym). Powstaje ono w wyniku przyłączenia reszty fosforanowej znajdującej się przy węglu 5′ deoksyrybozy jednego nukleotydu do węgla 3′ deoksyrybozy drugiego nukleotydu. W wyniku połączenia ze sobą wielu nukleotydów powstaje łańcuch polinukleotydowy DNA.

W łańcuchu DNA prawie wszystkie grupy 3′- i 5′-hydroksylowe uczestniczą w tworzeniu wiązań fosfodiestrowych. Wyjątkiem są grupy położone na początku i końcu łańcucha: reszta fosforanowa przy końcu 5′ w pierwszym nukleotydzie nie jest związana z innym, a ostatni nukleotyd w łańcuchu ma wolną grupę 3′-hydroksylową w deoksyrybozie. Stąd każdy łańcuch DNA wykazuje polarność budowy. Przyjęto, że sekwencję (kolejność) zasad w DNA zapisuje się w kierunku od końca 5′ łańcucha DNA do końca 3′, czyli w kierunku 5′→3′.
Cząsteczka DNA zbudowana jest z dwóch łańcuchów polinukleotydowych (nazywanych również nićmi) skręconych helikalnie (śrubowo) wokół wspólnej osi. Strukturę tę nazywa się podwójną helisą. W strukturze podwójnej helisy DNA zasady azotowe skierowane są do jej wnętrza, natomiast szkielet cukrowo‑fosforanowy znajduje się na zewnątrz.

Podwójna helisa utrzymywana jest dzięki licznym wiązaniom wodorowym łączącym zasady azotowe obu łańcuchów.

Na przełomie lat 40. i 50. XX w. Erwin Chargaff stwierdził, że w DNA danego organizmu ilość adeniny jest równa ilości tyminy, a ilość guaniny równa ilości cytozyny. Zależność ta jest znana jako reguła (zasada) Chargaffa, a jej odkrycie pozwoliło później sformułować regułę komplementarności zasad azotowychregułę komplementarności zasad azotowych.
W poniższej tabeli przedstawiono skład zasad wyznaczony doświadczalnie dla danych organizmów.
Gatunek | A:T | G:C | A:G |
|---|---|---|---|
Człowiek | 1,00 | 1,00 | 1,56 |
Łosoś | 1,02 | 1,02 | 1,43 |
Pszenica | 1,00 | 0,97 | 1,22 |
Drożdże | 1,09 | 1,02 | 1,67 |
Pałeczka okrężnicy (Escherichia coli) | 1,09 | 0,99 | 1,05 |
Pałeczka krwawa (Serratia marcescens) | 0,95 | 0,86 | 0,70 |
Indeks górny Na podstawie: Berg Jeremy M. i in., tłum. Zofia Szweykowska‑Kulińska, Artur Jarmołowski, Warszawa 2021, Wydawnictwo Naukowe PWN, s. 115., Materiał wykorzystany na podstawie art. 29 ustawy o prawie autorskim i prawach pokrewnych (prawo cytatu) Indeks górny koniecNa podstawie: Berg Jeremy M. i in., tłum. Zofia Szweykowska‑Kulińska, Artur Jarmołowski, Warszawa 2021, Wydawnictwo Naukowe PWN, s. 115., Materiał wykorzystany na podstawie art. 29 ustawy o prawie autorskim i prawach pokrewnych (prawo cytatu)
Komplementarność zasad sprawia, że oba łańcuchy polinukleotydowe są względem siebie komplementarne, czyli sekwencja nukleotydów jednej nici wyznacza kolejność nukleotydów drugiej nici.

Występujący w komórkach organizmów DNA jest w większości prawoskrętny. Na jeden skręt helisy przypada 10 par nukleotydów.
Splecione nici owijają się wokół własnej osi i tworzą helisę. Pomimo że obie nici DNA są komplementarne, to nie są one dokładnie naprzeciwległe. Powoduje to występowanie w budowie przestrzennej DNA dwóch rowków o różnej wielkości, zwanych dużym i małym. Rowki te są miejscami, w których przyłączają się białka regulujące aktywność genów oraz wzmacniające strukturę helisy DNA.
Funkcje DNA
DNA jest materiałem genetycznym służącym do przechowywania informacji genetycznej, czyli instrukcji o budowie białek (określając rodzaj i sekwencję aminokwasów w łańcuchu polipeptydowym) oraz różnych rodzajów cząsteczek RNA. Poprzez syntezę białek i aktywność RNA, informacja ta warunkuje konkretne cechy organizmu.
DNA przekazywany jest również z pokolenia na pokolenie, dzięki czemu informacja genetyczna w nim zawarta jest dziedziczona.
Zapoznaj się z animacją „Skład chemiczny i funkcje DNA”, a następnie wykonaj polecenia

Film dostępny pod adresem /preview/resource/RNXkwRxLGkVjh
Film pod tytułem: ,,Skład chemiczny i funkcje DNA."
Druga połowa XIX w. przyniosła odkrycie substancji zawartej w jądrze komórkowym, którą właśnie od miejsca występowania nazwano kwasem nukleinowym (gr. nukleus – jądro komórkowe). W 1879 r. niemiecki anatom i lekarz Walter Fleming odkrył istnienie chromatyny i opisał po raz pierwszy podział jądra komórkowego, obserwując w jego trakcie wybarwiane przez siebie chromosomy.
W latach 50. XX w. Maurice Wilkins oraz Rosalind Franklin analizowali strukturę DNA przy pomocy dyfrakcji promieni rentgenowskich (techniki służącej do określania trójwymiarowej struktury atomowej cząsteczek). W 1952 r. wykazali, że grupy fosforanowe są położone na zewnątrz cząsteczki DNA. Wykonane przez nich rentgenogramy znacząco przyczyniły się do ustalenia przez Jamesa Watsona i Francisa Cricka, że DNA ma strukturę podwójnej helisy.
Opierając się na badaniach Wilkinsa i Franklin, Watson i Crick tworzyli kartonowe modele cząsteczki DNA – traktowane przez środowisko naukowe nie do końca poważnie. Pierwszy zaproponowany przez nich w 1952 r. model cząsteczki DNA, mający kształt trzech przecinających się spiral, okazał się fiaskiem. Nie zraziło to jednak badaczy.
Rok 1954 przyniósł sukces. Watson i Crick opublikowali potwierdzony badaniami model struktury DNA – podwójnej helisy. Został on doceniony w świecie nauki i po ośmiu latach, w 1962 r., Watson, Crick i Wilkins otrzymali za odkrycie struktury DNA i opisanie jego funkcji nagrodę Nobla. Rozpoczęła się era genetyki molekularnej.
Budowa i rodzaje RNA
RNA, podobnie jak DNA, zbudowany jest z długich, nierozgałęzionych łańcuchów polinukleotydowych, złożonych z wielu nukleotydów.
W skład nukleotydów tworzących RNA wchodzą następujące elementy:
Nukleozyd zbudowany z jednej z zasad azotowych: adeniny (A), cytozyny (C), guaniny (G) lub uracylu (U) połączonej z pierwszym atomem węgla (1′) pięciowęglowego cukru rybozy wiązaniem N‑glikozydowym.
Jedną z różnic pomiędzy nukleotydami obecnymi w RNA i DNA jest występowanie uracylu (U) zamiast obecnej w DNA tyminy (T).


Grupa fosforanowa(V) połączona z nukleozydem wiązaniem estrowym.
W wyniku połączenia wielu nukleotydów powstaje łańcuch polinukleotydowy RNA. Sąsiadujące nukleotydy połączone są ze sobą wiązaniami 3',5'-fosfodiestrowymi, w których grupa fosforanowa przyłączona do węgla 5′ rybozy łączy się z węglem 3′ rybozy drugiego nukleotydu.
Podobnie jak w przypadku DNA, dwa wolne końca polimeru RNA różnią się od siebie. Na jednym końcu znajduje się reszta fosforanowa związana z węglem 5′, natomiast na drugim końcu grupa hydroksylowa przyłączona do węgla 3′. Stąd każdy łańcuch RNA wykazuje polarność budowy. Sekwencję zasad zapisuje się - jak dla DNA - w kierunku od końca 5′ łańcucha do końca 3′, czyli w kierunku 5′→3′.
RNA jest zazwyczaj cząsteczką jednoniciową, która może tworzyć różnorodne struktury przestrzenne, np. strukturę spinki do włosów czy liścia koniczyny. Może jednak przyjmować również postać dwuniciową. W tej formie występuje m.in. jako materiał genetyczny niektórych wirusów (np. wirus mozaiki kalafiora i wiele innych wirusów roślinnych, wirusy zwierzęce, takie jak HIV i wirus grypy).
Rodzaje RNA
Wyróżnia się dwie grupy RNA – kodujące i niekodujące.
Do kodujących RNA należy informacyjny RNA (mRNA), który stanowi 4‑5% wszystkich RNA w komórce.
Do grupy niekodujących RNA (95‑96% całości RNA), nazywanych również funkcjonalnymi RNA należą: transportujący RNA (tRNA), rybosomalny RNA (rRNA). mały jądrowy RNA (snRNA), mały jąderkowy RNA (snoRNA) oraz mikroRNA (miRNA) i mały interferujący RNA (siRNA). Pełnią one funkcję katalityczną i regulatorową podczas ekspresji genówekspresji genów.
Zapoznaj się z animacją „Skład chemiczny i rodzaje RNA.” Zwróć uwagę na budowę cząsteczki tego kwasu nukleinowego oraz na pełnionego funkcje. Następnie wykonaj polecenia.

Film dostępny pod adresem /preview/resource/Rc7W4dHZn0vRh
Film nawiązujący do treści skład chemiczny i rodzaje RNA.
Podsumowanie
Ogólna charakterystyka
Kwasy nukleinowe to biopolimery zbudowane z powtarzalnych jednostek – nukleotydów.
Wyróżniamy dwa rodzaje: DNA (kwas deoksyrybonukleinowy) i RNA (kwas rybonukleinowy).
Budowa DNA
Składa się z czterech nukleotydów, każdy z nich zawiera cukier deoksyrybozę, resztę kwasu fosforowego oraz jedną z zasad azotowych: adeninę (A), guaninę (G), cytozynę (C) lub tyminę (T).
Nukleotydy połączone wiązaniami fosfodiestrowymi (3′-5′) tworząc nić (łańcuch polinukleotydowy).
Nici DNA DNA mają polarność tzn. koniec 5′ i koniec 3′.
Nici DNA połączone ze sobą wiązaniami wodorowymi między zasadami azotowymi należącymi do dwóch różnych nici tworzą przestrzenną strukturę – podwójną helisę.
Reguła Chargaffa mówi, że w dwuniciowym DNA stosunek ilości zasad purynowych (adeniny i guaniny) do zasad pirymidynowych (tyminy i cytozyny) jest zawsze równy, co wynika z zasady komplementarności zasad i warunkuje komplementarność nici DNA względem siebie.
Funkcje DNA
Materiał genetyczny – przechowuje informację o budowie białek i RNA.
Odpowiada za dziedziczenie cech organizmu.
Budowa RNA
Łańcuch polinukleotydowy składający się z nukleotydów: A, G, C, U (uracyl) + ryboza + fosforan.
Różnice względem DNA: ryboza zamiast deoksyrybozy, uracyl zamiast tyminy.
RNA ma polarność, tzn. koniec 5′ i koniec 3′).
Cząsteczki RNA są zwykle jednoniciowe, niekiedy tworzą struktury dwuniciowe (np. spinki do włosów).
Rodzaje RNA
Kodujące RNA:
- mRNA (informacyjny) – 4–5% RNA w komórce.Niekodujące RNA (95–96% RNA):
- tRNA (transportujący).
- rRNA (rybosomalny).
- snRNA, snoRNA, miRNA, siRNA – funkcje katalityczne i regulatorowe w ekspresji genów.
Ćwiczenia utrwalające
Zaznacz, którą komplementarną nić RNA można uzyskać z poniższej sekwencji DNA:
5′ AGTTCATGGA 3′
Wróć do polecenia na stronie „Na dobry początek” i dopisz brakujące definicje. Pamiętaj, żeby nie kopiować słownika, ale wyjaśnić każde słowo kluczowe w miarę możliwości swoimi słowami.



