Zdjęcie przedstawia żarówki ułożone w jednym rzędzie. Środkowa żarówka świeci się ciepłym, żółtym światłem, pozostałe są zgaszone.
Zdjęcie przedstawia żarówki ułożone w jednym rzędzie. Środkowa żarówka świeci się ciepłym, żółtym światłem, pozostałe są zgaszone.
Podstawy metabolizmu
Reakcje utleniania i redukcji polegają na wymianie elektronów między donorem i akceptorem.
Źródło: Pixabay, domena publiczna.
Przenoszenie energii w reakcjach redoks
Twoje cele
Wyjaśnisz, czym są reakcje redoks.
Opiszesz rolę uniwersalnych przenośników elektronów i protonów NADIndeks górny ++, NADPIndeks górny ++ i FAD w procesach utleniania i redukcji.
W świecie organizmów żywych wiele reakcji chemicznych opiera się na przepływie elektronów między cząsteczkami.
Gdy cząsteczka traci elektron, uwalnia energię, która może być natychmiast wykorzystana do napędzania ważnych procesów biologicznych, takich jak synteza ATP. Natomiast cząsteczka przyjmująca elektron zostaje wzbogacona w jego energię. Ten precyzyjnie kontrolowany transfer elektronów, a wraz z nimi energii, jest siłą napędową niezliczonych reakcji metabolicznych, niezbędnych do podtrzymania życia. Jego zaburzenie, na przykład przez trucizny takie jak cyjanek, który blokuje przepływ elektronów w wewnętrznej błonie mitochondrialnej, może błyskawicznie doprowadzić do śmierci organizmu.
Reakcje utleniania‑redukcji (reakcje redoks)
Utlenienie jednej cząsteczki zawsze wiąże się z redukcją innej. Reakcje, w których do tego dochodzi (czyli następuje przepływ elektronów między cząsteczkami), nazywamy reakcjami oksydoredukcyjnymi lub krócej – reakcjami redoks.
Ważne!
W reakcjach redoks, substancja, która oddaje elektrony nazywana jest reduktorem, natomiast substancja, która przyjmuje elektron, to utleniacz. Ponieważ reduktor traci elektrony, sam podlega utlenieniu, natomiast utleniacz zyskując elektron**,** podlega redukcji.
R1RH4OHNLJAMX1
Grafika przedstawia przebieg reakcji niekontrolowanej oraz przebieg oddychania komórkowego. Przykładem reakcji niekontrolowanej jest tu synteza cząsteczki wody. Cząsteczka wodoru łączy się z tlenem, w wyniku czego powstaje cząsteczka wody. Energia swobodna (G) maleje podczas tej reakcji, a w jej wyniku następuje wybuchowe uwolnienie energii cieplnej i świetlnej. W przypadku oddychania komórkowego jony wodoru pochodzące z pokarmu, za pośrednictwem NADH oddają elektrony, które następnie przechodzą przez łańcuch oddechowy, w wyniku zachodzi kontrolowane uwalnianie energii potrzebnej do syntezy ATP oraz synteza ATP. Następnie elektrony te wraz z jonami wodoru i tlenem tworzą cząsteczkę wody.
Schematyczne przedstawienie reakcji redoks.
Źródło: Englishsquare sp. z o.o., licencja: CC BY-SA 3.0.
Rola uniwersalnych przenośników elektronów i protonów w reakcjach redoks
W wielu przemianach chemicznych zachodzących w komórce, w reakcjach redoks uczestniczą wyspecjalizowane cząsteczki. Ponieważ, w tych biologicznych procesach redoks często dochodzi do odłączania i przenoszenia całych atomów wodoru (złożonych z elektronu i protonu), a nie tylko samych elektronów, cząsteczki te nazywane są przenośnikami elektronów i protonów. Należą do nich:
Grafika przedstawia schemat redukcji i utlenienia przenośników elektronów i protonów w reakcjach redoks. NADP plus redukuje się do NADPH plus H plus. Powstaje on w wyniku oderwania dwóch wodorów od cząsteczki A, w wyniku czego ulega ona utlenieniu. Natomiast NADP powstaje w wyniku utlenienia NADPH plus H plus. Cząsteczka B ulega redukcji do cząsteczki B, przyłączając do swojej struktury dwa wodory.
Schematyczne przedstawienie redukcji i utleniania przenośników elektronów i protonów w reakcjach redoks. Kation NADP+ jest formą utlenioną związku NADP, który ma zdolność przyłączania atomów wodoru pochodzących od substratu. NADPH (forma zredukowana) powstaje przez oderwanie dwóch elektronów i dwóch protonów od zredukowanego związku organicznego (cząsteczki A). Podczas tego procesu elektrony oraz jeden proton zostają przyłączone do NADP+, a jeden z protonów w postaci jonu H+ zostaje uwolniony do środowiska, co wyrażamy zapisem NADPH + H+. Kolejny cykl reakcji redoks rozpoczyna się, gdy atom wodoru zostanie przeniesiony na utlenioną cząsteczkę B.
Źródło: Englishsquare sp. z o.o., licencja: CC BY-SA 3.0.
Dinukleotyd nikotynoamidoadeninowy
Dinukleotyd nikotynoamidoadeninowy
NAD to związek organiczny. Może występować w formie zredukowanej, jako NADH, oraz w formie utlenionej, jako NADIndeks górny ++. Cząsteczka NADIndeks górny ++ jest dinukleotydem. Może związać dwa protony (HIndeks górny ++) oraz dwa elektrony, czyli ulegać redukcji, w wyniku której powstaje NADH+HIndeks górny ++.
Fosforan dinukleotydu nikotynoamidoadeninowego
Fosforan dinukleotydu nikotynoamidoadeninowego
NADP, w odróżnieniu od NAD, ma dodatkowy element – resztę fosforanową, dlatego związek ten nazywamy fosforanem. W reakcjach redukcji NADPIndeks górny ++ jest w stanie przyjąć dwa protony (HIndeks górny ++) oraz dwa elektrony, co powoduje jego przekształcenie w formę zredukowaną, czyli NADPH+HIndeks górny ++.
Dinukleotyd flawinoadeninowy
Dinukleotyd flawinoadeninowy
FAD powstaje w organizmie z witaminy BIndeks dolny 22, czyli ryboflawiny. FAD może przyjąć dwa elektrony oraz dwa protony (HIndeks górny ++), w wyniku czego powstaje zredukowana forma tego nukleotydu, czyli FADHIndeks dolny 22.
Polecenie 1
R1EM933QOSLNG
Obejrzyj film samouczek, a następnie uzasadnij, dlaczego dinukleotyd nikotynoamidoadeninowy jest uniwersalnym przenośnikiem elektronów i protonów. (Uzupełnij).
R1J1DX777Q8JJ
Zapoznaj sie z treścią filmu, a następnie uzasadnij, dlaczego dinukleotyd nikotynoamidoadeninowy jest uniwersalnym przenośnikiem elektronów i protonów. (Uzupełnij).
R1Z88C2SFPQ9L
Film nawiązujący do treści materiału.
Film nawiązujący do treści materiału.
Przenoszenie energii w reakcjach redoks.
Źródło: Inga Wójtowicz, reż. Englishsquare.pl Sp. z o.o., licencja: CC BY-SA 3.0.
Źródło: Inga Wójtowicz, reż. Englishsquare.pl Sp. z o.o., licencja: CC BY-SA 3.0.
Film nawiązujący do treści materiału.
Podsumowanie
W komórkach wiele reakcji chemicznych to reakcje utleniania i redukcji (redoks), w których przekazywane są elektrony i często także protony (H⁺). Aby te procesy mogły zachodzić sprawnie i kontrolowanie, komórki wykorzystują uniwersalne przenośniki, takie jak:
Forma utleniona
Forma zredukowana
Przykładowe procesy
NADIndeks górny ++
NADH + HIndeks górny ++
oddychanie komórkowe
FAD
FADHIndeks dolny 22
oddychanie komórkowe
NADPIndeks górny ++
NADPH + HIndeks górny ++
fotosynteza
Pełnią one rolę tymczasowych magazynów energii – przenoszą elektrony do miejsc, gdzie mogą one zostać wykorzystane, np. do wytwarzania ATP w oddychaniu komórkowym.
Ćwiczenia utrwalające
R1PGSOQCDGVO8
Ćwiczenie 1
Ćwiczenie 2
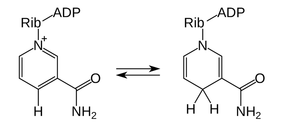
Poniższy schemat opisuje przemiany redoks zachodzące między dwiema postaciami dinukleotydu nikotynoamidoadeninowego (NADIndeks górny ++/NADH). Odnosząc się do schematu, zaznacz poprawne określenia w tekście pod schematem.
R1M44Z6QKFLTT
Grafika przedstawia reakcje redoks dinukleotydu nikotynoamidoadeninowego. Cząsteczka po prawej składa się z pojedynczego sześciowęglowego pierścienia połączonego z pojedynczą cząsteczką wodoru oraz N plus. Dodatkowo N plus połączone jest z rybozą, która z kolei połączona jest z ADP. Cząsteczka po prawej składa się z pojedynczego sześciowęglowego pierścienia połączonego z dwoma cząsteczkami wodoru oraz N. Dodatkowo N połączone jest z rybozą, która z kolei połączona jest z ADP.
Postać opisywanego nukleotydu mająca cząsteczkowy ładunek dodatni jest postacią
utlenionązredukowaną. Dehydrogenacja związków organicznych prowadzi do
powstania NAD+NADH, widocznego na schemacie po stronie prawejlewej. Postać
dinukleotydu nikotynoamidoadeninowego, przekazująca elektrony na łańcuch oddechowy,
to NAD+NADH.
Postać opisywanego nukleotydu mająca cząsteczkowy ładunek dodatni jest postacią
utlenionązredukowaną. Dehydrogenacja związków organicznych prowadzi do
powstania NAD+NADH, widocznego na schemacie po stronie prawejlewej. Postać
dinukleotydu nikotynoamidoadeninowego, przekazująca elektrony na łańcuch oddechowy,
to NAD+NADH.
Polecenie 2
Wróć do polecenia na stronie „Na dobry początek” i dopisz brakujące definicje. Pamiętaj, żeby nie kopiować słownika, ale wyjaśnić każde słowo kluczowe w miarę możliwości swoimi słowami.