Zdjęcie przedstawia różne owoce i warzywa w kwadratowych opakowaniach. Są to borówki amerykańskie, jeżyny, truskawki oraz żółte pomidory.
Zdjęcie przedstawia różne owoce i warzywa w kwadratowych opakowaniach. Są to borówki amerykańskie, jeżyny, truskawki oraz żółte pomidory.
Składniki organiczne
Cukry proste, takie jak glukoza i fruktoza, występują w owocach.
Źródło: N/A, Pixabay, domena publiczna.
Węglowodany
Twoje cele
Podzielisz węglowodany na podstawie ich budowy chemicznej.
Scharakteryzujesz właściwości monosacharydów, disacharydów i polisacharydów.
Określisz znaczenie biologiczne monosacharydów, disacharydów i polisacharydów.
Z węglowodanami (cukrami, sacharydami) stykasz się w życiu codziennym – znajdują się w wielu produktach spożywczych. Nazwa tych związków chemicznych pochodzi od węgla, który wchodzi w ich skład oraz wody, ponieważ stosunek wodoru do tlenu w cząsteczkach cukrów jest taki, jak w wodzie: dwa razy więcej wodoru niż tlenu.
Ze względu na budowę cząsteczek wyróżnia się trzy grupy węglowodanów:
monosacharydy - najprostsze cukry, mające cząsteczki zawierające 3‑7 atomów węgla;
oligosachardy - zbudowane z 2 do 10 cząsteczek monosacharydów;
polisacharydy - składają się z większej liczby cząsteczek monosacharydów.
Monosacharydy
Monosacharydy (cukry proste) zbudowane są ze szkieletu węglowego z licznymi grupami hydroksylowymi (–OH) i pojedynczą inną grupą funkcyjną: aldehydową lub ketonową. Cukry, zawierające grupę aldehydową (–CHO) na początku łańcucha nazywamy aldozami, a te z grupą ketonową (–C=O) przy drugim węglu to ketozy.
R1UB89JC537PX
Ilustracja przedstawia strukturę dwóch cukrów. Pierwszy cukier to aldoza. Ma strukturę pionową. Od dołu kolejno grupa C H indeks dolny dwa koniec indeksu dolnego połączona wiązaniem pojedynczym z grupą O H. W górę, kolejna grupa to C Ha połączona wiązaniem pojedynczym z grupą O H. Dalej linia przerywana prowadzi do kolejnej grupy C H połączonej wiązaniem pojedynczym z grupą O H. Ostatnią jest grupa aldehydowa: C połączone wiązaniem podwójnym z O i wiązaniem pojedynczym z H. Drugi cukier to ketoza. Ma strukturę pionową. Od dołu kolejno grupa C H indeks dolny dwa koniec indeksu dolnego połączona wiązaniem pojedynczym z grupą O H. W górę linia przerywana prowadzi do kolejnej grupy C H połączonej wiązaniem pojedynczym z grupą O H. Następna jest grupa ketonowa: C połączone podwójnym wiązaniem z O. C jest również połączone pojedynczym wiązaniem z H. Ostatnią jest grupa C H indeks dolny dwa koniec indeksu dolnego połączona wiązaniem pojedynczym z grupą O H.
Wzory strukturalne aldozy i ketozy. Numerację atomów węgla w cząsteczkach monosacharydów rozpoczyna się od końca z grupą aldehydową lub ketonową.
Źródło: Englishsquare,pl Sp. z o. o., licencja: CC BY 3.0.
Monosacharydy
Monosacharydy są bezbarwne, bezwonne, dobrze rozpuszczają się w wodzie, są osmotycznie czynnesubstancja osmotycznie czynnaosmotycznie czynne i mają słodki smak; są chemicznie obojętne. W organizmach pełnią przede wszystkim funkcje energetyczne oraz strukturalne wchodząc w skład m.in. kwasów nukleinowych oraz innych cukrów: oligosacharydów i polisacharydów.
substancja osmotycznie czynna
substancje rozpuszczalne w wodzie, które są przyczyną przepływu wody między komórką a środowiskiem. Przeciwieństwem są związki nierozpuszczalne w wodzie, które nie wpływają na przemieszczanie się wody między komórką a środowiskiem
Najprostszym monosacharydem jest aldehyd 3‑fsofoglicerynowy, który wytwarzany jest w chloroplastach podczas fotosyntezy. Z dwóch cząsteczek aldehydu 3‑fosfolicerynowego powstaje glukoza, która jest podstawowym monosacharydem występującym we wszystkich organizmach. Większość pozostałych cukrów prostych powstaje po chemicznym przekształceniu tego węglowodanu.
Charakterystyka wybranych monosacharydów
Aldehyd 3‑fosfoglicerynowy (PGAL)
Aldehyd 3‑fosfoglicerynowy (PGAL)3
Jest pierwotnym produktem fotosyntezy i substratem do tworzenia wszystkich związków organicznych.
Ryboza
Ryboza
RL3DP1ZXTNLSH
Ilustracja przedstawiająca wzór formy cyklicznej rybozy zbudowanej z pięcioczłonowego pierścienia, który stanowią cztery atomy węgla i jeden tlenu, numeracja atomów jest zgodna z ruchem wskazówek zegara. Węgiel C jeden wbudowany jest w pierścień i podstawiony grupą hydroksylową O H odchodzącą do góry, przed płaszczyznę. Łączy się on z budującym pierścień atomem węgla C dwa. Od węgla C dwa i C trzy za płaszczyznę odchodzą grupy hydroksylowa O H, zaś przed płaszczyznę atomy wodoru. Dalej atom węgla C cztery połączony jest z atomem tlenu, który to związany jest z atomem węgla C jeden, co zamyka pięcioczłonowy pierścień. Ponadto od węgla C cztery odchodzi do góry, przed płaszczyznę grupa C H indeks dolny, dwa, koniec indeksu dolnego, O H.
Źródło: Englishsquare.pl Sp. z o. o., licencja: CC BY-SA 3.0.
Wchodzi w skład kwasu nukleinowego RNA. Jest też składnikiem przenośników energii (np. ATP) i uniwersalnych przenośników elektronów ( np. NADIndeks górny ++).
Deoksyryboza
Deoksyryboza
R1TSUB5ADOFAJ
Ilustracja przedstawiająca wzór formy cyklicznej deoksyrybozy zbudowanej z pięcioczłonowego pierścienia, który stanowią cztery atomy węgla i jeden tlenu, numeracja atomów zgodna z ruchem wskazówek zegara. Węgiel C jeden wbudowany jest w pierścień i podstawiony grupą hydroksylową O H odchodzącą do góry, przed płaszczyznę. Łączy się on z budującym pierścień atomem węgla C dwa podstawionym dwoma atomami wodoru. Od węgla C trzy do dołu, za płaszczyznę odchodzi grupa hydroksylowa O H. Z kolei atom węgla C cztery połączony jest z atomem tlenu, który to związany jest z atomem węgla C jeden, co zamyka pięcioczłonowy pierścień. Ponadto od węgla C cztery odchodzi do góry, przed płaszczyznę grupa C H indeks dolny, dwa, koniec indeksu dolnego, O H.
Źródło: Englishsquare.pl Sp. z o. o., licencja: CC BY-SA 3.0.
Wchodzi w skład kwasu nukleinowego DNA – nośnika informacji genetycznej wszystkich organizmów i wielu wirusów.
Glukoza
Glukoza
RQ7ZN94A3K5JH
Ilustracja przedstawiająca strukturę dwóch anomerów glukozy w formie cyklicznej, alfa oraz beta. Alfa‑D-glukopiranoza zbudowana jest z sześcioczłonowego pierścienia składającego się z pięciu atomów węgla oraz z jednego atomu tlenu. Numeracja atomów węgla jest zgodna z ruchem wskazówek zegara. Przy atomach węgla C 1, C 2 oraz C 4 znajdują się grupy hydroksylowe O H wychodzące za płaszczyznę, zaś atomy wodoru przed. Przy węglu C 3 grupa hydroksylowa wychodzi przed płaszczyznę, zaś atom wodoru za. Węgiel C 5 podstawiony jest grupą C H indeks dolny, dwa, koniec indeksu dolnego, O H wychodzącą przed płaszczyznę oraz atomem wodoru znajdującym się za płaszczyzną. Po prawej znajduje się anomer beta, w którym podobnie, jak w przypadku formy alfa brak jest grupy aldehydowej. Jest to forma cykliczna glukozy, w przypadku której grupa hydroksylowa O H przy anomerycznym atomie węgla C 1 znajduje się przed płaszczyzną, pozostałe podstawniki zlokalizowane są analogicznie jak w przypadku opisanego już anomeru alfa.
Źródło: Englishsquare.pl Sp. z o. o., licencja: CC BY-SA 3.0.
Podstawowy substrat w oddychaniu komórkowym (funkcja energetyczna) i składnik wielocukrów. U zwierząt stanowi formę transportową cukrów. Znajduje się we wszystkich organizmach.
Fruktoza
Fruktoza
R1MNC79NJ5X6P
Ilustracja przedstawiająca wzór formy cyklicznej alfa‑D-fruktofuranozy zbudowanej z pięcioczłonowego pierścienia, który stanowi węgiel C jeden należący do grupy C H indeks dolny, dwa, koniec indeksu dolnego. Podstawiony jest on grupą hydroksylową O H i łączy się z budującym pierścień atomem węgla C dwa, który związany jest grupą hydroksylową odchodzącą do góry przed płaszczyznę. Od węgla C trzy do góry przed płaszczyznę odchodzi grupa hydroksylowa O H, z kolei od węgla C cztery grupa hydroksylowa O H odchodzi za płaszczyznę. Węgiel C pięć łączy się z atomem tlenu, który to związany jest z atomem węgla C dwa, co zamyka pięcioczłonowy pierścień. Ponadto od węgla C pięć odchodzi do góry, przed płaszczyznę grupa C H indeks dolny, dwa, koniec indeksu dolnego, O H.
Źródło: Englishsquare.pl Sp. z o. o., licencja: CC BY-SA 3.0.
Jest słodsza od glukozy i magazynowana głównie w owocach, ale też kwiatach i warzywach korzeniowych.
Galaktoza
Galaktoza
R1L3FHHHE768F
Ilustracja przedstawiająca formę cykliczną cząsteczki beta‑D-galaktopiranozy, o jest galaktozy, którą stanowi sześcioczłonowy pierścień, w którym pierwszy lokant stanowi atom węgla C 1 związany z atomem tlenu wbudowanym w tenże pierścień. Węgiel C 5 zamyka pierścień i łączy się ze wspomnianym atomem tlenu oraz węglem C 6, niewbudowanym w pierścień. Numeracja atomów węgla jest zgodna z ruchem wskazówek zegara. Od węgla C 1, C 3 oraz C 4 grupy hydroksylowe odchodzą do góry, a do dołu atomy wodoru. Od węgla C 2 grupa hydroksylowa odchodzi do dołu, a atom wodoru do góry. Od węgla C 5 odchodzi do góry wiązanie łączące go z węglem C 6, który należy do grupy C H indeks dolny, dwa, koniec indeksu dolnego, O H.
Źródło: Englishsquare.pl Sp. z o. o., licencja: CC BY-SA 3.0.
Wchodzi w skład dwucukru laktozy (cukru mlecznego) oraz pektyn (składnik ścian komórkowych roślin).
Oligosacharydy
Oligosacharydy (dwucukry) to cukry składające się od 2 do 10 cząsteczek cukrów prostych połączonych wiązaniem O‑glikozydowym. Najprostszymi, a zarazem najważniejszymi biologicznie oligosacharydami są disacharydy(dwucukry) zbudowane z dwóch cząsteczek takich samych lub różnych cukrów prostych.
Dwucukry, podobnie jak cukry proste są dobrze rozpuszczalne w wodzie, są osmotycznie czynne, mają słodki smak, są bezbarwne i bezwonne.
Wszystkie dwucukry powstają w reakcji kondensacjikondensacjakondensacji dwóch cukrów prostych z wydzieleniem cząsteczki wody. W reakcji biorą udział dwie grupy funkcyjne: aldehydowa lub ketonowa przy węglu jednego cukru prostego oraz grupa hydroksylowa drugiego. W rezultacie powstaje wiązanie O‑glikozydowe, łączące dwie cząsteczki monosacharydu poprzez atom tlenu.
kondensacja
reakcja tworzenia większych cząsteczek z mniejszych, w której produktem ubocznym jest woda
R1LLSEATRAXOH
Na rysunku cząsteczki glukozy. Podczas powstawania disacharydu węgiel nr 1 w cząsteczce glukozy po lewej stronie traci wodór z grupy hydroksylowej, a węgiel nr 4 z cząsteczki glukozy po prawej stronie traci całą grupę hydroksylową. Dzięki temu powstaje wiązanie 1,4‑glikozydowe i dochodzi do połączenia dwóch cząsteczek glukozy przez mostek tlenowy. Produktem tej reakcji kondensacji jest także cząsteczka wody.
Cząsteczki glukozy tworzące disacharyd. Węgiel nr 1 w cząsteczce glukozy po lewej stronie traci wodór z grupy hydroksylowej, a węgiel nr 4 z cząsteczki glukozy po prawej stronie traci całą grupę hydroksylową. Dzięki temu powstaje wiązanie 1,4‑glikozydowe i dochodzi do połączenia dwóch cząsteczek glukozy przez mostek tlenowy. Produktem tej reakcji kondensacji jest także cząsteczka wody.
Źródło: Englishsquare.pl Sp. z o.o., Wikimedia Commons, licencja: CC BY-SA 3.0.
Dwucukry różnią się między sobą rodzajem wiązania glikozydowego, co wynika z różnego położenia grupy hydroksylowej przy atomie węgla grupy karbonylowej – αalfa (w którym grupa –OH znajduje się pod płaszczyzną pierścienia) lub βbeta (w którym grupa –OH znajduje się nad płaszczyzna pierścienia), a także z kolejności połączonych atomów węgla, np. 1 z 4, 1 z 1. Rodzaj wiązania glikozydowego wpływa na właściwości chemiczne i biologiczne oligosacharydów.
R1DROQ2DZE8KE
Wymyśl pytanie na kartkówkę związane z tematem materiału.
Źródło: Englishsquare.pl Sp. z o.o., Wikimedia Commons, licencja: CC BY-SA 3.0.
Podczas reakcji hydrolizyhydrolizahydrolizy następuje rozpad dwucukru na części składowe.
hydroliza
reakcja rozkładu substancji z udziałem wody
Charakterystyka wybranych disacharydów
Maltoza
Maltoza
Inaczej cukier słodowy. Składa się z dwóch cząsteczek glukozy połączonych wiązaniem αalfa‑1,4‑glikozydowym. Maltoza znajduje się dużej ilości w bielmie ziaren zbóż: pszenicy, żyta, owsa i kukurydzy. Wykorzystywana jest w przemyśle spożywczym do produkcji m.in. piwa oraz w piekarnictwie. U zwierząt cukier ten jest produktem wstępnego trawienia polisacharydów, takich jak skrobia i glikogen.
Laktoza
Laktoza
R63B6XUPXL713
Ilustracja przedstawiająca strukturę alfa‑laktozy, która jest dwucukrem zbudowanym z dwóch monosacharydów D‑galaktozy oraz D‑glukozy, które łączy wiązanie beta‑1,4-O-glikozydowe. Strukturę stanowi sześcioczłonowy pierścień galaktozy, w którym pierwszy lokant stanowi atom węgla C1 związany z atomem tlenu wbudowanym w tenże pierścień. Węgiel C5 zamyka pierścień i łączy się ze wspomnianym atomem tlenu oraz węglem C6, niewbudowanym w pierścień. Od węgla C1 odchodzi w górę wiązanie łączące go z atomem tlenu, który to łączy się z węglem C4 drugiego pierścienia D‑glukozy. Od węgli C2 odchodzi w dół grupa hydroksylowa, zaś od węgli C3 oraz C4 grupy hydroksylowe odchodzą do góry. Od węgla C5 odchodzi do góry wiązanie łączące go z węglem C6, który to jest związany z grupą hydroksylową. Drugi pierścień stanowi cząsteczka D‑glukozy, którą buduje sześcioczłonowy pierścień utworzony przez atomy węgla C1, C2, C3, C4 oraz C5, a także atom tlenu połączony z węglami o lokancie pierwszym i piątym. Od węgli C1 oraz C2 odchodzą w dół grupy hydroksylowe, od węgla C3 grupa hydroksylowa odchodzi w górę. Węgiel C4 łączy się w dół z atomem tlenu łączącym go z węglem C1 pierwszego pierścienia. Od węgla C5 do góry odchodzi grupa C H indeks dolny, dwa, koniec indeksu dolnego, O H.
Cząsteczka laktozy
Źródło: Wikimedia Commons, domena publiczna.
Inaczej cukier mleczny. Składa się z cząsteczki galaktozy i glukozy połączonych wiązaniem βbeta‑1,4‑glikozydowym. Znajduje się w mleku ssaków i jego produktach. Laktozę wykorzystuje się w przemyśle spożywczym i farmaceutycznym, a jej pochodne do produkcji biodegradowalnych tworzyw sztucznych. U ludzi laktoza jest trawiona w jelicie cienkim przez enzym laktazę.
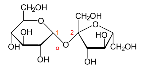
Sacharoza
Sacharoza
R784TJHV81OUR
Grafika przedstawia cząsteczkę sacharozy - zbudowaną z cząsteczki α‑D‑glukozy oraz cząsteczki β‑D‑fruktozy połączonych wiązaniem α‑1,2‑glikozydowym, które powstaje w wyniku połączenia przez atom tlenu węgla w pozycji 1 cząsteczki α‑D‑glukozy z węglem w pozycji 2 cząsteczki β‑D‑fruktozy. Sacharoza jest dwucukrem zbudowanym z D‑glukozy oraz D‑fruktozy, które łączy wiązanie α,β‑1,2-O-glikozydowe. Strukturę stanowi sześcioczłonowy pierścień, w którym pierwszy lokant stanowi atom węgla C1 związany z atomem tlenu wbudowanym w tenże pierścień. Węgiel C5 zamyka pierścień i łączy się ze wspomnianym atomem tlenu oraz węglem C6, niewbudowanym w pierścień. Od węgla C1 odchodzi wiązanie łączące go z atomem tlenu, który to łączy się z węglem C2 pierścienia D‑fruktozy. Od węgli C2 oraz C4 odchodzą do góry grupy hydroksylowe OH, zaś do dołu od grupy C3, grupa hydroksylowa odchodzi również od węgla C6. Drugi pięcioczłonowy pierścień stanowi D‑fruktoza, w której węgiel C1 należący do grupy C H indeks dolny, dwa, koniec indeksu dolnego podstawiony jest grupą hydroksylową OH i łączy się z atomem węgla C2, który związany jest z atomem tlenu łączącym pierścień D‑fruktozy z pierścieniem D‑glukozy. Od węgla C3 do dołu odchodzi grupa hydroksylowa OH, z kolei od węgla C4 do góry odchodzi grupa hydroksylowa OH. Węgiel C4 łączy się z atomem tlenu, który to łączy się z atomem węgla C1, co zamyka pięcioczłonowy pierścień. Ponadto od węgla C4 odchodzi do dołu grupa C H indeks dolny, dwa, koniec indeksu dolnego, O H. Oba anomeryczne atomy węgla, zarówno w pierścieniu fruktozy, jaki glukozy nie posiadają grup hydroksylowych. Łączy je mostek tlenowy.
Cząsteczka sacharozy
Źródło: Don A. Carlson, Wikimedia Commons, licencja: CC BY-SA 3.0.
Inaczej cukier buraczany lub trzcinowy. Składa się z glukozy i fruktozy połączonych wiązaniem αalfa‑1,2‑glikozydowym. Sacharoza występuje w każdej roślinie, w dużych ilościach w burakach cukrowych i trzcinie cukrowej. U roślin jest ona także formą transportową cukrów. Przez człowieka wykorzystywana jest jako główny cukier słodzący.
Ciekawostka
Zapewne wiesz o nietolerancji laktozy, której przyczyną jest brak enzymu laktazy, odpowiedzialnego za jej trawienie. Bardzo często występuje u Azjatów i Afrykanów, w niektórych grupach etnicznych obejmuje do 100% populacji i coraz częściej jest diagnozowana w Polsce. Nietolerancja laktozy objawia się dolegliwościami ze strony przewodu pokarmowego, takimi jak wzdęcia, gazy czy biegunka. Dolegliwości można łagodzić przyjmując enzym laktazę (w tabletkach lub w kroplach) oraz włączając do diety produkty wolne od laktozy (bezlaktozowe mleko, sery, jogurty).
RTFXXOK4CTE351
Mapa świata przedstawia częstości występowania nietolerancji laktozy na świecie. Nietolerancja w przedziale od 0 do 15% występuje głównie w krajach skandynawskich oraz na północnych obszarach krajów europejskich. Nietolerancja w przedziale 15 do 30% występuje w całej Ameryce Północnej, Europie Zachodniej i Środkowej, Eurazji, Północnej i Wschodniej Azji. Nietolerancja w przedziale od 30 do 60% występuje na terenie Hiszpanii i Portugalii. Nietolerancja w przedziale od 60 do 80% występuje na terenie Ameryki Środkowej, Północnej Afryki, Północnej Ameryki Południowej, Arabii Saudyjskiej, i Południowej części Azji. Nietolerancja w przedziale od 80 do 100% występuje na terenie Grenlandii, Islandii, południowej części Ameryki Południowej, południowej części Afryki, wschodniej części Azji oraz w Indonezji.
Schemat przedstawiający częstość występowania nietolerancji laktozy na świecie.
Źródło: Nmiportal, Wikimedia Commons, licencja: CC BY-SA 3.0.
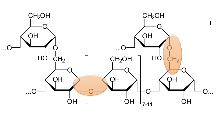
Polisacharydy
Polisacharydy (wielocukry, glikany), składają się z wielu – nawet tysięcy – cząsteczek takich samych lub różnych cukrów prostych.
Polisacharydy powstają przez łączenie pojedynczych cząsteczek cukrów prostych wiązaniem glikozydowym, są więc dużymi cząsteczkami organicznymi (makromolekułamimakromolekułymakromolekułami). Zwykle wielocukry zawierają od 200 do 300 związków prostych, jednak np. celuloza zawiera ich 15 tys., a amylopektyna – nawet 100 tys.
makromolekuły
(gr. makros – duży, wielki; fr. molecule – cząsteczka) cząsteczki złożone z bardzo wielu atomów (dziesiątek do setek tysięcy), zgrupowanych w jednostki – mery
R1EVNX9K3P7LT
Grafika przedstawia łańcuch wielocukru. Łańcuch ten składa się z łańcucha głównego, w którym poszczególne cukry połączone są przy pomocy wiązania alfa 1,4‑glikozydowym, oraz łańcucha bocznego, w którym poszczególne pierścienie cukrów połączone są ze sobą za pomocą wiązań alfa 1,6‑glikozydowych.
Przykłady wiązań glikozydowych: w konfiguracji α‑1,4 w łańcuchu głównym glikogenu i α‑1,6 w łańcuchu bocznym. Wielocukry mogą być liniowe (kiedy wszystkie cząsteczki składowe są ułożone jedna za drugą) lub rozgałęzione. Polisacharydy powstają w reakcji polimeryzacji przez kondensację cząsteczek cukrów prostych, a produktem ubocznym tworzenia wiązań glikozydowych jest woda.
Źródło: Wikimedia Commons, domena publiczna.
Wielocukry mogą łączyć się także z innymi związkami organicznymi, np. białkami i lipidami, tworząc odpowiednio glikoproteiny i glikolipidy.
Polisacharydy są nierozpuszczalne w wodzie i nie są osmotycznie czynne, dzięki czemu mogą być magazynowane w komórkach jako materiał zapasowy (np. skrobia) oraz pełnić funkcje strukturalne (np. celuloza).
R7QUE7SQM5V7H
Mapa myśli. Lista elementów:
Nazwa kategorii: Funkcje polisacharydów{color=#CC3366}
Elementy należące do kategorii Funkcje polisacharydów
Nazwa kategorii: Zapasowa – magazynowanie cukrów do późniejszego wykorzystania: u roślin – skrobia, u zwierząt i grzybów – glikogen{color=#CC99CC}
Nazwa kategorii: Komunikacyjna – cukry w połączeniu z białkami (glikoproteiny) i tłuszczami (glikolipidy) tworzące system sygnałowy pomiędzy
komórkami{color=#FF6699}
Nazwa kategorii: Budulcowa – cukry wchodzące w skład ściany komórkowej: u roślin - celuloza, u grzybów – chityna, budująca też pancerze stawonogów{color=#FFCCFF}
Koniec elementów należących do kategorii Funkcje polisacharydów{color=#CC3366}
Mapa myśli. Lista elementów:
Nazwa kategorii: Funkcje polisacharydów{color=#CC3366}
Elementy należące do kategorii Funkcje polisacharydów
Nazwa kategorii: Zapasowa – magazynowanie cukrów do późniejszego wykorzystania: u roślin – skrobia, u zwierząt i grzybów – glikogen{color=#CC99CC}
Nazwa kategorii: Komunikacyjna – cukry w połączeniu z białkami (glikoproteiny) i tłuszczami (glikolipidy) tworzące system sygnałowy pomiędzy
komórkami{color=#FF6699}
Nazwa kategorii: Budulcowa – cukry wchodzące w skład ściany komórkowej: u roślin - celuloza, u grzybów – chityna, budująca też pancerze stawonogów{color=#FFCCFF}
Koniec elementów należących do kategorii Funkcje polisacharydów{color=#CC3366}
Funkcje polisacharydów
Źródło: Englishsquare.pl Sp. z o.o., licencja: CC BY-SA 3.0.
Przykłady polisacharydów
Skrobia zbudowana jest z połączonych wiązaniem αalfa‑glikozydowym wielu reszt glukozowych. Polisacharyd ten składa się dwóch frakcji – amylozy i amylopektyny. Amyloza to nierozgałęziony polimer, dobrze rozpuszczalny w wodzie. Tworzy ją od 200 do 300 reszt glukozowych połączonych wiązaniem αalfa‑1,4‑glikozydowym. Amylopektyna jest praktycznie nierozpuszczalna w wodzie i ma rozgałęzioną strukturę, ponieważ zawiera dodatkowo wiązania αalfa‑1,6‑glikozydowe. Skrobia jest głównym materiałem zapasowym większości roślin. Magazynowana jest w dużej ilości w nasionach (np. zbóż) oraz organach spichrzowych (np. bulwach ziemniaka).
R1VSKV7O5X96O
Zdjęcie mikroskopowe prezentuje mniejsze i większe okrągłe struktury. Mają fioletowe otoczki. Niektóre mają zabarwione na fioletowo również środki.
Skrobia powstaje w roślinach jako wtórny produkt fotosyntezy i jest materiałem zapasowym magazynowanym w tkankach, np. w bulwach ziemniaka i nasionach zbóż. Odkłada się w komórkach roślin w postaci ziaren, których wielkość i kształt są charakterystyczne dla poszczególnych gatunków. Zdjęcie z mikroskopu świetlnego przedstawia ziarna skrobi zbożowej barwione jodyną w powiększeniu 40×.
Źródło: Wikimedia Commons, domena publiczna.
Glikogen zbudowany jest podobnie jak skrobia z wielu reszt glukozowych połączonych wiązaniami αalfa‑1,4‑glikozydowym i αalfa‑1,6‑glikozydowym. W porównaniu ze skrobią, jego cząsteczki są jednak silniej rozgałęzione. Glikogen jest materiałem zapasowym grzybów i zwierząt. W organizmie człowieka gromadzony jest przede wszystkim w wątrobie i mięśniach szkieletowych. W okresie głodu glikogen ulega rozkładowi, dzięki czemu uwalnia się glukoza, co zapewnia jej stałe stężenie we krwi.
Celuloza zbudowana jest z wielu reszt glukozy, połączonych w łańcuch za pomocą wiązań βbeta‑1,4‑glikozydowych. Długie, pojedyncze łańcuchy celulozy ułożone jeden przy drugim są zespolone ze sobą licznymi wiązaniami wodorowymi, tworząc włókna o dużej sztywności i wytrzymałości (mikrofibryle). Celuloza jest polisacharydem strukturalnym, budującym ściany komórkowe wszystkich roślin.
Podsumowanie
Cukry (węglowodany, sacharydy) to związki organiczne, który nazwa pochodzi od węgla i wody, ponieważ stosunek wodoru do tlenu w ich cząsteczkach jest taki jak w wodzie (2:1).
Cukry można podzielić ze względu na budowę na:- monosacharydy – najprostsze cukry, zawierające 3–7 atomów węgla,- oligosacharydy – zbudowane z 2–10 cząsteczek monosacharydów,- polisacharydy – składają się z wielu cząsteczek monosacharydów.
Do monosacharydów zalicza się: rybozę (cukier budujący RNA), deoksyrybozę (cukier budujący DNA),glukozę (główne źródło energii dla organizmów; transportowana jest we krwi u zwierząt i wykorzystywana w oddychaniu komórkowym), fruktozę( cukier owocowy, naturalnie występujący w owocach),galaktozę( składnik laktozy).
Disacharydy należą do oligosacharydów, składają się z dwóch cząsteczek monosacharydów połączonych wiązaniem O -glikozydowym.
Do najważniejszych disacharydów należą: - sacharoza (cukier trzcinowy/buraczany) – zbudowana z glukozy i fruktozy, laktoza (cukier mleczny) – zbudowana z glukozy i galaktozy, maltoza (cukier słodowy) – zbudowana z dwóch cząsteczek glukozy.
Polisacharydy to wielocukry składające się z wielu połączonych cząsteczek monosacharydów.
Polisacharydy pełnią różne funkcje w organizmach:- skrobia – materiał zapasowy roślin, występuje w dużej ilości w ziemniakach i zbożach,- glikogen – materiał zapasowy zwierząt i ludzi, magazynowany głównie w wątrobie i mięśniach,- celuloza – składnik budulcowy ścian komórkowych roślin; celuloza jest nierozpuszczalna w wodzie, stanowi błonnik pokarmowy.
Ćwiczenia utrwalające
R1H3RJUVV239D
Ćwiczenie 1
Z podanych cukrów wybierz pentozy: Możliwe odpowiedzi: 1. glukoza, 2. galaktoza, 3. ryboza, 4. fruktoza, 5. deoksyryboza
RQPG3LVJPH8H8
Ćwiczenie 2
Wskaż związek, który nie jest disacharydem: Możliwe odpowiedzi: 1. laktaza, 2. maltoza, 3. laktoza, 4. galaktoza
RK21BJ79RAHDJ
Ćwiczenie 3
Na podstawie opisu dopasuj do niego nazwę cukru. Sacharoza Możliwe odpowiedzi: 1. Forma transportowa cukrów u roślin, 2. Składnik pyłku i nektaru roślin, 3. Substancja zapasowa u grzybów, 4. Budulec ściany komórkowej bakterii Trehaloza Możliwe odpowiedzi: 1. Forma transportowa cukrów u roślin, 2. Składnik pyłku i nektaru roślin, 3. Substancja zapasowa u grzybów, 4. Budulec ściany komórkowej bakterii Maltoza Możliwe odpowiedzi: 1. Forma transportowa cukrów u roślin, 2. Składnik pyłku i nektaru roślin, 3. Substancja zapasowa u grzybów, 4. Budulec ściany komórkowej bakterii Peptydoglikan Możliwe odpowiedzi: 1. Forma transportowa cukrów u roślin, 2. Składnik pyłku i nektaru roślin, 3. Substancja zapasowa u grzybów, 4. Budulec ściany komórkowej bakterii
Na podstawie opisu dopasuj do niego nazwę cukru. Sacharoza Możliwe odpowiedzi: 1. Forma transportowa cukrów u roślin, 2. Składnik pyłku i nektaru roślin, 3. Substancja zapasowa u grzybów, 4. Budulec ściany komórkowej bakterii Trehaloza Możliwe odpowiedzi: 1. Forma transportowa cukrów u roślin, 2. Składnik pyłku i nektaru roślin, 3. Substancja zapasowa u grzybów, 4. Budulec ściany komórkowej bakterii Maltoza Możliwe odpowiedzi: 1. Forma transportowa cukrów u roślin, 2. Składnik pyłku i nektaru roślin, 3. Substancja zapasowa u grzybów, 4. Budulec ściany komórkowej bakterii Peptydoglikan Możliwe odpowiedzi: 1. Forma transportowa cukrów u roślin, 2. Składnik pyłku i nektaru roślin, 3. Substancja zapasowa u grzybów, 4. Budulec ściany komórkowej bakterii
R1FBEDOVX6OML
Ćwiczenie 4
Wybierz odpowiedź, która najlepiej opisuje funkcje glikogenu: Możliwe odpowiedzi: 1. jest rozkładany w wątrobie aby dostarczyć glukozę do krwi, 2. stanowi podporę dla komórek mięśni szkieletowych, 3. bierze udział w rozpoznawaniu antygenów komórkowych, 4. pełni funkcję magazynu glukozy u roślin
R6DRKZSB4CP9X
Ćwiczenie 5
Wskaż właściwe określenia, tak aby zdania były prawdziwe. Skrobia i glikogen to polimery, w których skład wchodzi mer należący do pentozheksoz. Wielocukry te nie rozpuszczają się w wodzie, dzięki czemu mogą pełnić funkcję zapasowąenergetyczną. Skrobia występuje m.in. w ścianach komórkowychnasionach zbóż, a glikogen znajduje się m.in. w ścianach komórkowych grzybówmięśniach zwierząt.
Wskaż właściwe określenia, tak aby zdania były prawdziwe. Skrobia i glikogen to polimery, w których skład wchodzi mer należący do pentozheksoz. Wielocukry te nie rozpuszczają się w wodzie, dzięki czemu mogą pełnić funkcję zapasowąenergetyczną. Skrobia występuje m.in. w ścianach komórkowychnasionach zbóż, a glikogen znajduje się m.in. w ścianach komórkowych grzybówmięśniach zwierząt.
Polecenie 1
Wróć do polecenia na stronie „Na dobry początek” i dopisz brakujące definicje. Pamiętaj, żeby nie kopiować słownika, ale wyjaśnić każde słowo kluczowe w miarę możliwości swoimi słowami.