Revise your knowledge related to adding arithmetic expressions with parentheses – without doing the calculations in parentheses. Give examples of the application of the distributive property of multiplication over addition in arithmetic calculations.
Your task is to observe the easiest way of adding and subtracting algebraic sumssubtracting algebraic sumssubtracting algebraic sums. After completing the exercise, order and verify their observations.
R1DOCVdrMVAXN1
Geogebra aplet - Dodawanie i odejmowanie sum algebraicznych. Galeria z opisami alternatywnymi poniżej.
Geogebra aplet - Dodawanie i odejmowanie sum algebraicznych. Galeria z opisami alternatywnymi poniżej.
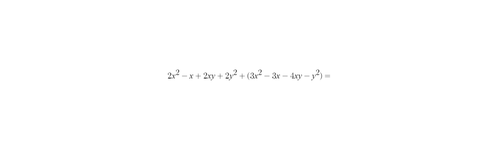
Rysunek przedstawia dodawanie sum algebraicznych. Dwa razy kwadrat liczby x odjąć x dodać dwa razy x razy y dodać podwojony kwadrat liczby y dodać w nawiasie potrojony kwadrat liczby x odjąć iloczyn liczby 3 i x odjąć iloczyn liczby cztery i liczb x i y odjąć kwadrat liczby y.
Source: GroMar, licencja: CC BY 3.0.
RI9Ezdx3RNpP11
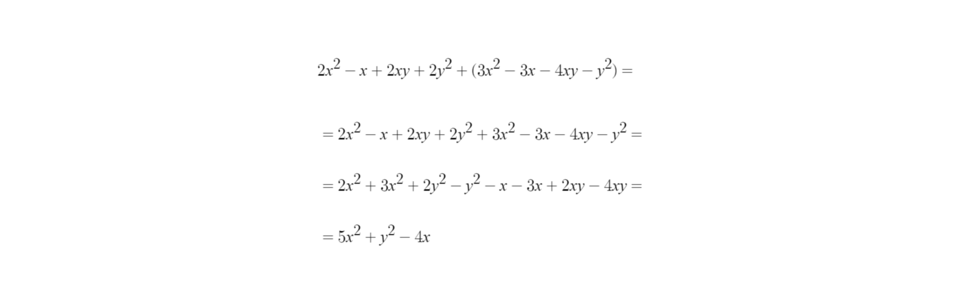
Rysunek przedstawia dodawanie sum algebraicznych. Dwa razy kwadrat liczby x odjąć x dodać dwa razy x razy y dodać podwojony kwadrat liczby y dodać w nawiasie potrojony kwadrat liczby x odjąć iloczyn liczby trzy i x odjąć iloczyn liczby cztery i liczb x i y odjąć kwadrat liczby y równa się dwa razy kwadrat liczby x odjąć x dodać dwa razy x razy y dodać podwojony kwadrat liczby y dodać potrojony kwadrat liczby x odjąć iloczyn liczby trzy i x odjąć iloczyn liczby cztery i liczb x i y odjąć kwadrat liczby y równa się dwa razy kwadrat liczby x dodać trzy razy kwadrat liczby x dodać podwojony kwadrat liczby y odjąć kwadrat liczby y odjąć x odjąć trzy razy x dodać iloczyn liczby dwa i x i y odjąć iloczyn liczb cztery i x i y równa się pięć razy kwadrat liczby x dodać kwadrat liczby y odjąć iloczyn liczb cztery i x.
If the parentheses in an algebraic expression are preceded by a plus sign or no sign, then we can eliminate the parentheses without changing the signs inside it.
If the parentheses in an algebraic expression are preceded by a minus sign, then we can eliminate the parentheses by changing every sign inside it into the opposite sign.
In order to add (or subtract) two algebraic sums, we need to eliminate the parentheses (if they exist) and then do the reduction of similar terms (add them).
Insert the parentheses in the expressions on the left so that the equation below is true.
A + B - C - D = 3aIndeks górny 33 + 2aIndeks górny 22 + 2a + 3.
Exercises
R1FKbcIEXLbQy
Exercise 1
Fill in the [tu uzupełnij] with appropriate expression in such a way that the equation is true. . Możliwe odpowiedzi: 1. , 2. , 3. , 4.
Fill in the [tu uzupełnij] with appropriate expression in such a way that the equation is true. . Możliwe odpowiedzi: 1. , 2. , 3. , 4.
Fill in the blank with appropriate expression in such a way that the equation is true.
9g, 7g, -9g, -7g
-(12d + ............) + (15d - g) = 3d + 8g
Exercise 2
What algebraic sum has to be added to the algebraic expression 3xIndeks górny 22y - 5xy - 4xyIndeks górny 22 to obtain the expression 5xIndeks górny 22y + 6xy + xyIndeks górny 22?
2xIndeks górny 22y + 11xy + 5xyIndeks górny 22.
Exercise 3
Give examples of such algebraic sums A and B for which the following equations are true:
A + B = 4xIndeks górny 22 and B - A = -8.
Describe your solution in English.
A = 2xIndeks górny 22 + 4, B = 2xIndeks górny 22 - 4.
RleBJyUM9BT6t
Exercise 4
Wersja alternatywna ćwiczenia: Indicate which pairs of expressions or words are translated correctly. Możliwe odpowiedzi: 1. suma algebraiczna - algebraic sum, 2. dodawanie sum algebraicznych - adding algebraic sums, 3. odejmowanie sum algebraicznych - subtracting algebraic sums, 4. jednomiany podobne - similar monomials, 5. wyrazy sumy - reduction of similar expressions, 6. redukcja wyrazów podobnych - terms of the sum
Wersja alternatywna ćwiczenia: Indicate which pairs of expressions or words are translated correctly. Możliwe odpowiedzi: 1. suma algebraiczna - algebraic sum, 2. dodawanie sum algebraicznych - adding algebraic sums, 3. odejmowanie sum algebraicznych - subtracting algebraic sums, 4. jednomiany podobne - similar monomials, 5. wyrazy sumy - reduction of similar expressions, 6. redukcja wyrazów podobnych - terms of the sum
Indicate which pairs of expressions or words are translated correctly.
suma algebraiczna - algebraic sum
dodawanie sum algebraicznych - adding algebraic sums
odejmowanie sum algebraicznych - subtracting algebraic sums
jednomiany podobne - similar monomials
wyrazy sumy - reduction of similar expressions
redukcja wyrazów podobnych - terms of the sum
zadanie
Source: GroMar, licencja: CC BY 3.0.
Exercise 5
R1eRzyQ7IVEXW1
Interaktywna gra, polegająca na łączeniu wyrazów w pary w ciągu jednej minuty. Czas zaczyna upływać wraz z rozpoczęciem gry. Jeden ruch to odkrywanie najpierw jednej potem drugiej karty z wyrazem. Każdy wyraz jest odczytywany. Kolejny ruch to odkrywanie trzeciej i czwartej karty. W ten sposób odsłuchasz wszystkie wyrazy. Nawigacja z poziomu klawiatury za pomocą strzałek, odsłuchiwanie wyrazów enterem lub spacją. Znajdź wszystkie pary wyrazów.
Interaktywna gra, polegająca na łączeniu wyrazów w pary w ciągu jednej minuty. Czas zaczyna upływać wraz z rozpoczęciem gry. Jeden ruch to odkrywanie najpierw jednej potem drugiej karty z wyrazem. Każdy wyraz jest odczytywany. Kolejny ruch to odkrywanie trzeciej i czwartej karty. W ten sposób odsłuchasz wszystkie wyrazy. Nawigacja z poziomu klawiatury za pomocą strzałek, odsłuchiwanie wyrazów enterem lub spacją. Znajdź wszystkie pary wyrazów.
Match Polish terms with their English equivalents.
dodawanie sum algebraicznych
subtracting algebraic sums
suma algebraiczna
similar monomials
redukcja wyrazów podobnych
algebraic sum
odejmowanie sum algebraicznych
adding algebraic sums
jednomiany podobne
reduction of similar expressions
Source: Zespół autorski Politechniki Łódzkiej, licencja: CC BY 3.0.