Notice what the easiest way of adding or subtracting algebraic sums of many elements is. After completing the exercise, they order and verify their observations.
RwpFnPcNSfWoS1
Geogebra aplet - dodawaniu i odejmowanie sum algebraicznych. Galeria z opisami alternatywnymi poniżej.
Geogebra aplet - dodawaniu i odejmowanie sum algebraicznych. Galeria z opisami alternatywnymi poniżej.
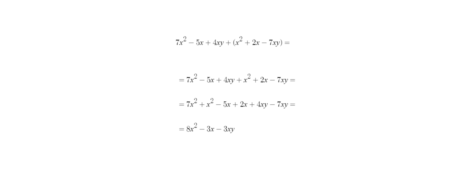
Rysunek przedstawia dodawanie sum algebraicznych. Siedem razy kwadrat liczby x odjąć pięć x dodać cztery razy x razy y dodać, nawias, kwadrat liczby x dodać dwa razy x odjąć siedem razy x razy y, koniec nawiasu.
Source: GroMar, licencja: CC BY 3.0.
R1ZlojWlo9I1i1
Siedem razy kwadrat liczby x odjąć pięć x dodać cztery razy x razy y dodać, nawias, kwadrat liczby x dodać dwa razy x odjąć siedem razy x razy y, koniec nawiasu. Równa się siedem razy kwadrat liczby x dodać kwadrat liczby x odjąć pięć razy x dodać dwa razy x dodać cztery razy x razy y odjąć siedem razy x razy y. Równa się osiem razy kwadrat liczby x odjąć trzy razy x odjąć trzy razy x razy y.
If the parentheses in an algebraic expression are preceded by the plus sign or no sign then we can eliminate the parentheses without changing the signs inside it.
If the parentheses in an algebraic expression are preceded by the minus sign, we can eliminate the parentheses by changing every sign inside it into the opposite sign.
A certain algebraic sumalgebraic sumalgebraic sum was subtracted from the expression -6xIndeks górny 22y - 2xy + 2xyIndeks górny 22 and as a result the expression 5xIndeks górny 22y - 6xy + xyIndeks górny 22 was obtained. Find the correct sum.
Do the revision exercises.
Exercises
RdTRjt49kvryg
Exercise 1
Wersja alternatywna ćwiczenia: After eliminating the parentheses and doing the reduction of similar terms, the expression (-6x + 4y – 12) + (3x – 4y -3) has the following form Możliwe odpowiedzi: 1. -3x - 15, 2. -3x + 8y - 15, 3. -9x - 9, 4. 3x - 15
Wersja alternatywna ćwiczenia: After eliminating the parentheses and doing the reduction of similar terms, the expression (-6x + 4y – 12) + (3x – 4y -3) has the following form Możliwe odpowiedzi: 1. -3x - 15, 2. -3x + 8y - 15, 3. -9x - 9, 4. 3x - 15
After eliminating the parentheses and doing the reduction of similar terms, the expression (-6x + 4y – 12) + (3x – 4y -3) has the following form
-3x - 15
-3x + 8y - 15
-9x - 9
3x - 15
Exercise 2
What algebraic sumalgebraic sumalgebraic sum needs to be subtracted from:
to obtain the expression ?
.
Exercise 3
Give two examples of algebraic sums whose difference is equal to 3xIndeks górny 22 - 2x - 3.
Describe your solution in English.
R1OvBcyre1WHD
Exercise 4
Wersja alternatywna ćwiczenia: Match English terms with their Polish equivalents. subtracting algebraic sums Możliwe odpowiedzi: 1. wyrazy sumy, 2. redukcja wyrazów podobnych, 3. suma algebraiczna, 4. odejmowanie sum algebraicznych, 5. jednomiany podobne, 6. dodawanie sum algebraicznych reduction of similar expressions Możliwe odpowiedzi: 1. wyrazy sumy, 2. redukcja wyrazów podobnych, 3. suma algebraiczna, 4. odejmowanie sum algebraicznych, 5. jednomiany podobne, 6. dodawanie sum algebraicznych adding algebraic sums Możliwe odpowiedzi: 1. wyrazy sumy, 2. redukcja wyrazów podobnych, 3. suma algebraiczna, 4. odejmowanie sum algebraicznych, 5. jednomiany podobne, 6. dodawanie sum algebraicznych similar monomials Możliwe odpowiedzi: 1. wyrazy sumy, 2. redukcja wyrazów podobnych, 3. suma algebraiczna, 4. odejmowanie sum algebraicznych, 5. jednomiany podobne, 6. dodawanie sum algebraicznych algebraic sum Możliwe odpowiedzi: 1. wyrazy sumy, 2. redukcja wyrazów podobnych, 3. suma algebraiczna, 4. odejmowanie sum algebraicznych, 5. jednomiany podobne, 6. dodawanie sum algebraicznych terms of the sum Możliwe odpowiedzi: 1. wyrazy sumy, 2. redukcja wyrazów podobnych, 3. suma algebraiczna, 4. odejmowanie sum algebraicznych, 5. jednomiany podobne, 6. dodawanie sum algebraicznych
Wersja alternatywna ćwiczenia: Match English terms with their Polish equivalents. subtracting algebraic sums Możliwe odpowiedzi: 1. wyrazy sumy, 2. redukcja wyrazów podobnych, 3. suma algebraiczna, 4. odejmowanie sum algebraicznych, 5. jednomiany podobne, 6. dodawanie sum algebraicznych reduction of similar expressions Możliwe odpowiedzi: 1. wyrazy sumy, 2. redukcja wyrazów podobnych, 3. suma algebraiczna, 4. odejmowanie sum algebraicznych, 5. jednomiany podobne, 6. dodawanie sum algebraicznych adding algebraic sums Możliwe odpowiedzi: 1. wyrazy sumy, 2. redukcja wyrazów podobnych, 3. suma algebraiczna, 4. odejmowanie sum algebraicznych, 5. jednomiany podobne, 6. dodawanie sum algebraicznych similar monomials Możliwe odpowiedzi: 1. wyrazy sumy, 2. redukcja wyrazów podobnych, 3. suma algebraiczna, 4. odejmowanie sum algebraicznych, 5. jednomiany podobne, 6. dodawanie sum algebraicznych algebraic sum Możliwe odpowiedzi: 1. wyrazy sumy, 2. redukcja wyrazów podobnych, 3. suma algebraiczna, 4. odejmowanie sum algebraicznych, 5. jednomiany podobne, 6. dodawanie sum algebraicznych terms of the sum Możliwe odpowiedzi: 1. wyrazy sumy, 2. redukcja wyrazów podobnych, 3. suma algebraiczna, 4. odejmowanie sum algebraicznych, 5. jednomiany podobne, 6. dodawanie sum algebraicznych
Match English terms with their Polish equivalents.
redukcja wyrazów podobnych, odejmowanie sum algebraicznych, suma algebraiczna, dodawanie sum algebraicznych, wyrazy sumy, jednomiany podobne
subtracting algebraic sums
reduction of similar expressions
adding algebraic sums
similar monomials
algebraic sum
terms of the sum
R1D8IRY5kohgS1
Interaktywna gra, polegająca na łączeniu wyrazów w pary w ciągu jednej minuty. Czas zaczyna upływać wraz z rozpoczęciem gry. Jeden ruch to odkrywanie najpierw jednej potem drugiej karty z wyrazem. Każdy wyraz jest odczytywany. Kolejny ruch to odkrywanie trzeciej i czwartej karty. W ten sposób odsłuchasz wszystkie wyrazy. Nawigacja z poziomu klawiatury za pomocą strzałek, odsłuchiwanie wyrazów enterem lub spacją. Znajdź wszystkie pary wyrazów.
Interaktywna gra, polegająca na łączeniu wyrazów w pary w ciągu jednej minuty. Czas zaczyna upływać wraz z rozpoczęciem gry. Jeden ruch to odkrywanie najpierw jednej potem drugiej karty z wyrazem. Każdy wyraz jest odczytywany. Kolejny ruch to odkrywanie trzeciej i czwartej karty. W ten sposób odsłuchasz wszystkie wyrazy. Nawigacja z poziomu klawiatury za pomocą strzałek, odsłuchiwanie wyrazów enterem lub spacją. Znajdź wszystkie pary wyrazów.
Match Polish terms with their English equivalents.
odejmowanie sum algebraicznych
subtracting algebraic sums
similar monomials
algebraic sum
wyrazy sumy
jednomiany podobne
suma algebraiczna
redukcja wyrazów podobnych
terms of the sum
reduction of similar expressions
Source: Zespół autorski Politechniki Łódzkiej, licencja: CC BY 3.0.