Poniższy materiał stanowi uzupełnienie treści zawartych w materiale: https://zpe.gov.pl/a/weglowodory-nasycone–alkany/Dp1KxjbNs

Alkany to węglowodory, które mogą być utworzone z cząsteczek o łańcuchach prostych lub rozgałęzionych. Czy wiesz, co to znaczy? Czy łańcuchy proste faktycznie są „proste”? Przeanalizuj poniższy materiał, a dowiesz się, jak w rzeczywistości wyglądają cząsteczki alkanów.

Aby zrozumieć poruszane w tym materiale zagadnienia, przypomnij sobie:
  • definicje: węglowodorów, węglowodorów nasyconych, alkanów, szeregu homologicznego;

  • wzór ogólny szeregu homologicznego alkanów;

  • zasady nazewnictwa alkanów o prostych (nierozgałęzionych) łańcuchach węglowych (zawierających do dziesięciu atomów węgla w cząsteczkach);

  • wartościowość węgla w związkach organicznych;

  • sposoby przedstawiania wzorów cząsteczek alkanów.

Nauczysz się
  • rysować wzory strukturalne i półstrukturalne cząsteczek alkanów o prostych (nierozgałęzionych) i rozgałęzionych łańcuchach węglowych;

  • konstruować modele cząsteczek alkanów o prostych (nierozgałęzionych) i rozgałęzionych łańcuchach węglowych;

  • definiować pojęcie izomery;

  • rysować wzory strukturalne i półstrukturalne oraz konstruować modele izomerycznych alkanów o podanym wzorze sumarycznym lub liczbie atomów węgla w cząsteczce, wykorzystując odpowiedni program komputerowy.

bg‑green

1. Alkany – definicja

AlkanyalkanyAlkany to związki organiczne zbudowane z atomów węgla i wodoru, połączonych w proste lub rozgałęzione łańcuchy węglowe. Alkany należą do węglowodorów nasyconychwęglowodory nasyconewęglowodorów nasyconych, a więc takich, w których cząsteczkach między atomami węgla znajdują się wyłącznie wiązania pojedyncze.

bg‑green

2. Budowa cząsteczek alkanów

Alkany tworzą szereg homologicznyszereg homologicznyszereg homologiczny. Ogólny wzór sumaryczny szeregu homologicznego alkanów można zapisać jako:

CnH2n+2

gdzie: n – liczba atomów węgla w cząsteczce alkanu.

Polecenie 1
RgutkJNUjH8wZ
Spośród podanych poniżej wzorów sumarycznych wybierz i zaznacz te, które są wzorami alkanów. Możliwe odpowiedzi: 1. C indeks dolny, pięć, koniec indeksu dolnego, H indeks dolny, dwanaście, koniec indeksu dolnego, 2. C indeks dolny, trzy, koniec indeksu dolnego, H indeks dolny, osiem, koniec indeksu dolnego, 3. C indeks dolny, dziesięć, koniec indeksu dolnego, H indeks dolny, osiemnaście, koniec indeksu dolnego, 4. C indeks dolny, pięć, koniec indeksu dolnego, H indeks dolny, dziesięć, koniec indeksu dolnego, 5. C indeks dolny, trzy, koniec indeksu dolnego, H indeks dolny, sześć, koniec indeksu dolnego, 6. C indeks dolny, siedem, koniec indeksu dolnego, H indeks dolny, szesnaście, koniec indeksu dolnego, 7. C indeks dolny, trzy, koniec indeksu dolnego, H indeks dolny, cztery, koniec indeksu dolnego, 8. C indeks dolny, siedem, koniec indeksu dolnego, H indeks dolny, dwanaście, koniec indeksu dolnego, 9. C indeks dolny, dziesięć, koniec indeksu dolnego, H indeks dolny, dwadzieścia dwa, koniec indeksu dolnego
Źródło: GroMar Sp. z o.o., licencja: CC BY-SA 3.0.

Na podstawie wzoru sumarycznego alkanów niewiele jesteśmy w stanie powiedzieć o budowie ich cząsteczek. Możemy jedynie określić, z ilu atomów węgla i wodoru są one zbudowane.

Aby dokładniej opisać strukturę cząsteczki danego alkanu, często rysujemy jej wzór strukturalny lub półstrukturalny. Wzór strukturalny cząsteczki alkanu przedstawia rodzaj i liczbę tworzących ją atomów oraz ich kolejność i sposób, w jaki się łączą. We wzorze strukturalnym uwzględniamy zatem wszystkie wiązania chemiczne występujące w danej cząsteczce (zarówno wiązania pomiędzy sąsiednimi atomami węgla, jak i wiązania pomiędzy atomami węgla i wodoru). We wzorze półstrukturalnym zaznaczamy jedynie wiązania pomiędzy atomami węgla w analizowanej cząsteczce, pomijając wiązania pomiędzy atomami węgla i wodoru.

Rysując wzory strukturalne cząsteczek alkanów, musimy pamiętać, że atomy węgla są w nich zawsze czterowartościowe, a atomy wodoru – jednowartościowe. Ponadto musimy uwzględnić fakt, że w cząsteczkach alkanów występują wyłącznie wiązania pojedyncze.

Rh6O8wSVB8OfQ
Każdy atom węgla w cząsteczce alkanu powinien być bezpośrednio związany z czterema innymi atomami (węgla lub wodoru). Z kolei każdy atom wodoru w cząsteczce alkanu powinien być bezpośrednio związany tylko z jednym atomem węgla
Źródło: GroMar Sp. z o.o., licencja: CC BY-SA 3.0.

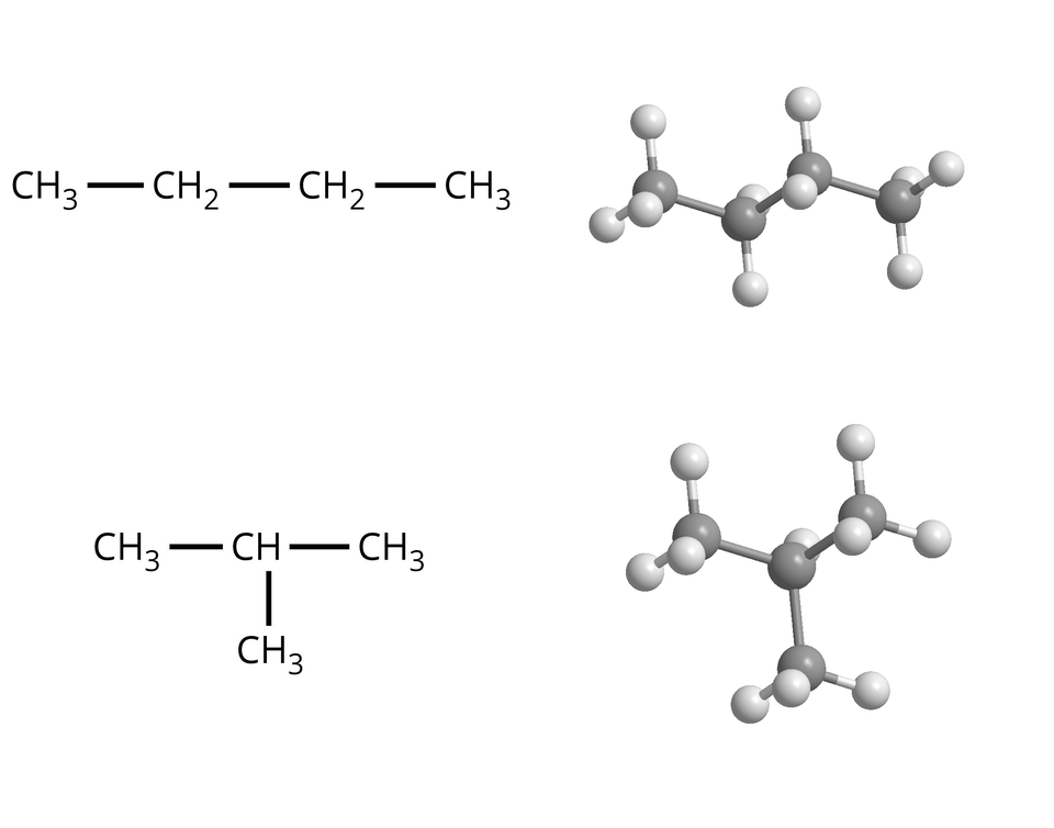
Atomy węgla w cząsteczkach alkanów mogą tworzyć łańcuchy proste (nierozgałęzione) lub łańcuchy rozgałęzione.

R1TzLh7X4UK4i
Możliwe sposoby połączenia czterech atomów węgla w cząsteczce alkanu. Po lewej – łańcuch prosty (nierozgałęziony), po prawej – łańcuch rozgałęziony
Źródło: GroMar Sp. z o.o., licencja: CC BY-SA 3.0.
Polecenie 2

Poniżej znajdują się nazwy alkanów o prostych (nierozgałęzionych) łańcuchach węglowych. Do każdej z nazw dopasuj wzór sumaryczny odpowiadającego jej alkanu.

Jeśli nie pamiętasz, w jaki sposób tworzy się nazwy alkanów o prostych (nierozgałęzionych) łańcuchach węglowych, rozwiń poniższy kafelek.

R1KhV3oNxkkQQ
Zasady tworzenia nazw alkanów o prostych, nierozgałęzionych łańcuchach węglowych. Nazwy czterech pierwszych alkanów, zawierających kolejno jeden, dwa, trzy oraz cztery atomy węgla w cząsteczce, to: metan, etan, propan i butan. Począwszy od alkanu zawierającego pięć atomów węgla w cząsteczce (połączonych w prosty (nierozgałęziony) łańcuch), nazwy alkanów tworzymy, rozpoczynając od greckich liczebników – kolejno: penta–, heksa–, hepta–, okta–, nona–, deka–.

W poniższej tabeli zamieszczono wzory sumaryczne wybranych alkanów o prostych (nierozgałęzionych) łańcuchach węglowych oraz ich nazwy.

Wzory sumaryczne i nazwy wybranych alkanów o prostych (nierozgałęzionych) łańcuchach węglowych.
Wzór sumaryczny alkanu (o prostym (nierozgałęzionym) łańcuchu węglowym) Nazwa
C indeks dolny, cztery, koniec indeksu dolnego, H indeks dolny, dziesięć, koniec indeksu dolnego butan
C indeks dolny, sześć, koniec indeksu dolnego, H indeks dolny, czternaście, koniec indeksu dolnego heksan
C indeks dolny, osiem, koniec indeksu dolnego, H indeks dolny, osiemnaście, koniec indeksu dolnego oktan
C indeks dolny, dziesięć, koniec indeksu dolnego, H indeks dolny, dwadzieścia dwa, koniec indeksu dolnego dekan
Źródło: GroMar Sp. z o.o., licencja: CC BY-SA 3.0.
RuggY6qZGHsHC
Źródło: GroMar Sp. z o.o., licencja: CC BY-SA 3.0.

W jaki sposób należy rysować wzory strukturalne i półstrukturalne cząsteczek alkanów?

Poniżej zapisano dwa przykłady, w których krok po kroku rozpisano kolejne etapy rysowania wzorów strukturalnych i półstrukturalnych określonych alkanów. Zapoznaj się z nimi.

Przykład 1

Narysuj wzór strukturalny oraz półstrukturalny cząsteczki alkanu o wzorze sumarycznym C6H14. Załóż, że w analizowanej cząsteczce atomy węgla połączone są w prosty (nierozgałęziony) łańcuch.

Rg71GRsH9gbXc
Zastanów się, w jaki sposób atomy węgla mogą łączyć się ze sobą, oraz narysuj łańcuch (szkielet) węglowy.

punkt pierwszy Zwróć uwagę, że w poleceniu zawarto wskazówkę dotyczącą połączenia atomów węgla w analizowanej cząsteczce: mają być one połączone w prosty (nierozgałęziony) łańcuch.

punkt drugi Wzór sumaryczny analizowanego alkanu ma postać C indeks dolny, sześć, koniec indeksu dolnego, H indeks dolny, czternaście, koniec indeksu dolnego. Łańcuch węglowy powinien być zatem utworzony z sześciu atomów węgla.

punkt trzeci Alkany to węglowodory nasycone. Wynika z tego, że wszystkie wiązania pomiędzy atomami węgla powinny być pojedyncze.

Łańcuch (szkielet) węglowy analizowanego alkanu ma zatem postać: opis WCAG, Do łańcucha węglowego dorysuj atomy wodoru. Pamiętaj, że atomy węgla w cząsteczkach związków organicznych są zawsze czterowartościowe, a atomy wodoru jednowartościowe.

Dorysuj wiązania do atomów węgla w taki sposób, żeby przy każdym z nich znajdowały się cztery wiązania pojedyncze: opis WCAG

Do powstałego szkieletu dopisz symbole atomów wodoru: opis WCAG

Narysowany powyżej wzór to wzór strukturalny alkanu o wzorze sumarycznym C indeks dolny, sześć, koniec indeksu dolnego, H indeks dolny, czternaście, koniec indeksu dolnego, Na podstawie wzoru strukturalnego narysuj wzór półstrukturalny. Pamiętaj, że rysując wzór półstrukturalny alkanu, uwzględniamy w nim wyłącznie wiązania pomiędzy atomami węgla. Wiązania pomiędzy atomami węgla i wodoru pomijamy, zapisując fragmenty, w których one występują, w formie sumarycznej.

Jeśli wzór strukturalny analizowanego węglowodoru ma postać: opis WCAG

To wzór półstrukturalny będzie miał postać: opis WCAG

Źródło: GroMar Sp. z o.o., licencja: CC BY-SA 3.0.
Przykład 2

Narysuj wzory strukturalne oraz półstrukturalne możliwych cząsteczek alkanu o wzorze sumarycznym C5H12.

R14cTqE7O7Ftp
Zastanów się, w jaki sposób atomy węgla mogą łączyć się ze sobą, oraz narysuj łańcuch (szkielet) węglowy.

punkt pierwszy Zwróć uwagę, że tym razem w treści polecenia nie ma żadnej podpowiedzi, co do sposobu połączenia atomów węgla – łańcuch ten może być zatem zarówno prosty (nierozgałęziony), jak i rozgałęziony.

punkt drugi Wzór sumaryczny analizowanego alkanu ma postać C indeks dolny, pięć, koniec indeksu dolnego, H indeks dolny, dwanaście, koniec indeksu dolnego. Łańcuch węglowy powinien być zatem utworzony z pięciu atomów węgla.

punkt trzeci Alkany to węglowodory nasycone. Wynika z tego, że wszystkie wiązania pomiędzy atomami węgla powinny być pojedyncze.

Istnieją trzy sposoby połączenia pięciu atomów węgla w analizowanej cząsteczce:

  • łańcuch prosty (nierozgałęziony) (jedna możliwość możliwość) opis WCAG
  • łańcuch rozgałęziony (dwie możliwości możliwości)opis WCAG lub opis WCAG

    (Zwróć uwagę, że powyższy zapis jest jednoznaczny z zapisem: opis WCAG

    Są to dokładnie takie same fragmenty, ale jeden obrócony jest względem drugiego o sto osiemdziesiąt stopni. Nie ma zatem znaczenia, którą formę wybierzesz.)

    Z powyższego wynika, że istnieją trzy różne alkany o wzorze sumarycznym C indeks dolny, pięć, koniec indeksu dolnego, H indeks dolny, dwanaście, koniec indeksu dolnego., Do łańcucha węglowego dorysuj atomy wodoru. Pamiętaj, że atomy węgla w cząsteczkach związków organicznych są zawsze czterowartościowe, a atomy wodoru jednowartościowe.

    Przy każdym z zaproponowanych uprzednio szkieletów dorysuj wiązania do atomów węgla w taki sposób, żeby przy każdym z nich znajdowały się cztery wiązania pojedyncze: opis WCAG opis WCAG opis WCAG

    Aby uzyskać wzory strukturalne możliwych cząsteczce alkanu o wzorze sumarycznym C indeks dolny, pięć, koniec indeksu dolnego, H indeks dolny, dwanaście, koniec indeksu dolnego, do utworzonych szkieletów dopisz symbole atomów wodoru:

    Alkan pierwszy opis WCAG

    Alkan drugi opis WCAG

    Alkan trzeci opis WCAG, Na podstawie wzoru strukturalnego narysuj wzór półstrukturalny. Pamiętaj, że rysując wzór półstrukturalny alkanu, uwzględniamy w nim wyłącznie wiązania pomiędzy atomami węgla. Wiązania pomiędzy atomami węgla i wodoru pomijamy, zapisując fragmenty, w których one występują, w formie sumarycznej.

    Narysuj wzory półstrukturalne alkanów pierwszego, drugiego i trzeciego, korzystając z ich wzorów strukturalnych:

    Alkan pierwszy opis WCAG

    Alkan drugi opis WCAG

    Alkan trzeci opis WCAG

  • Źródło: GroMar Sp. z o.o., licencja: CC BY-SA 3.0.

    Zauważ, że w przykładzie drugim narysowaliśmy wzory strukturalne i półstrukturalne trzech różnych związków chemicznych o takim samym wzorze sumarycznym.

    R1B8aljkvDioj
    Wzory półstrukturalne trzech różnych alkanów o wzorze sumarycznym C5H12
    Źródło: GroMar Sp. z o.o., licencja: CC BY-SA 3.0.

    Związki chemiczne o takim samym wzorze sumarycznym, różniące się strukturą (np. sposobem lub kolejnością powiązania atomów w cząsteczkach), noszą nazwę izomerówizomeryizomerów.

    Dla zainteresowanych

    Jeśli chcesz podać nazwy alkanów o rozgałęzionych łańcuchach węglowych, których wzory rozpatrywaliśmy w przykładzie nr 2, rozwiń poniższy kafelek.

    R3NUIMJHoJyTA
    Nazewnictwo alkanów o rozgałęzionych łańcuchach węglowych Aby nazwać alkany o rozgałęzionych łańcuchach węglowych, musimy wybrać w analizowanej cząsteczce najdłuższy łańcuch węglowy (tak zwany łańcuch główny). Dla rozpatrywanych w przykładzie drugim węglowodorów będą to łańcuchy podświetlone poniżej na żółto. opis WCAG

    Wszystkie atomy bądź grupy atomów, „odstające” od łańcucha głównego, to tak zwane podstawniki. Grupa wiązanie pojedyncze C H indeks dolny trzy koniec indeksu, zawarta w analizowanych wzorach, to grupa metylowa.

    Po wskazaniu najdłuższego łańcucha, należy ponumerować atomy węgla w taki sposób, aby podstawniki miały jak najniższe lokanty (położenia). W pierwszym z analizowanych przykładów nie ma znaczenia, czy ponumerujemy łańcuch od lewej, czy od prawej strony – za każdym razem grupy metylowe będą dołączone do drugiego z kolei atomu węgla: opis WCAG

    W drugim z przykładów wybieramy numerację od lewej do prawej strony łańcucha: opis WCAG ponieważ przy takiej numeracji grupa metylowa położona jest przy atomie węgla o niższym lokancie.

    Zapisując nazwę alkanu o budowie rozgałęzionej, należy wymienić położenia (lokanty), liczbę oraz nazwę podstawnika, a także nazwę alkanu, zawierającego taką samą liczbę atomów węgla, jaka znajduje się w łańcuchu głównym.

    Poniżej zapisano nazwy analizowanych alkanów: opis WCAG opis WCAG

    W przypadku kiedy do łańcucha głównego dołączone są różne podstawniki, należy wymienić je w nazwie w kolejności alfabetycznej.

    W poniższej tabeli zamieszczono wzory półstrukturalne możliwych podstawników:

    Wzór półstrukturalny podstawnika Nazwa podstawnika
    C H indeks dolny trzy koniec indeksu wiązanie pojedyncze metylo-
    C H indeks dolny trzy koniec indeksu wiązanie pojedyncze C H indeks dolny dwa koniec indeksu wiązanie pojedyncze etylo-
    C H indeks dolny trzy koniec indeksu wiązanie pojedyncze C H indeks dolny dwa koniec indeksu wiązanie pojedyncze C H indeks dolny dwa koniec indeksu wiązanie pojedyncze propylo-
    C H indeks dolny trzy koniec indeksu wiązanie pojedyncze w prawo C H wiązanie pojedyncze w dół oraz wiązanie pojedyncze w prawo, do wiązania w prawo dołączona jest grupa C H indeks dolny dwa koniec indeksu wiązanie pojedyncze propan‑2-ylo
    Źródło: GroMar Sp. z o.o., licencja: CC BY-SA 3.0.

    Analizując narysowane powyżej wzory strukturalne cząsteczek alkanów, można by stwierdzić, że są to cząsteczki płaskie, w których poszczególne wiązania pomiędzy atomami „układają się” liniowo. Nie jest to jednak prawda. Wzory strukturalne nie oddają w pełni geometrii cząsteczki.

    Cząsteczki alkanów mają budowę przestrzenną. Wszystkie kąty pomiędzy wiązaniami w tych cząsteczkach równe są około 109,5°. Budowę przestrzenną oraz proporcje w rozmiarach atomów i długościach wiązań można ukazać, konstruując odpowiednie modele cząsteczek.

    R8O2UkXLvcL6T
    Ilustracja interaktywna przedstawia trzy modele cząsteczki metanu. Pierwszy od lewej, model pręcikowo–kulkowy składa się z szarego atomu węgla, od którego odchodzą cztery wiązania pojedyncze do mniejszych, białych atomów wodoru. Po naciśnięciu na przycisk z numerem jeden, pojawia się opis: Model pręcikowo–kulkowy. Drugi model, prętowy, składa się z czterech, spotykających się w jednym punkcie biało–szarych prętów. Białe części znajdują się na zewnątrz, a szare łączą się w jednym miejscu. Po naciśnięciu na przycisk z numerem dwa, pojawia się opis: Model prętowy. Trzeci model, czaszowy składa się z szarego atomu węgla, do którego przymocowane są mniejsze, białe atomy wodoru, w postaci półkul. Po naciśnięciu na przycisk z numerem trzy, pojawia się opis: Model czaszowy.
    Wybrane modele cząsteczki metanu
    Źródło: GroMar Sp. z o.o., licencja: CC BY-SA 3.0.

    Jednym z najczęściej używanych modeli jest model pręcikowo–kulkowy, w którym atomy pierwiastków reprezentowane są przez kulki w różnych kolorach (jeden kolor kulki odpowiada atomom jednego pierwiastka chemicznego). Wiązania chemiczne są z kolei reprezentowane przez pałeczki (pręty, łączniki). Jeżeli średnice kulek będą proporcjonalne do promieni atomów poszczególnych pierwiastków chemicznych, a długości prętów do odpowiadających im wiązań, oraz jeśli uwzględnimy odpowiednie kąty pomiędzy wiązaniami, to uzyskany model powinien w dużym stopniu odzwierciedlać rzeczywistą budowę cząsteczki.

    1
    Polecenie 3

    Wykorzystując zestaw modeli atomów lub kolorową plastelinę i wykałaczki (lub zapałki), zaproponuj i skonstruuj model pręcikowo–kulkowy cząsteczki propanu. W swoim modelu uwzględnij następujące informacje:

    • wszystkie kąty pomiędzy wiązaniami w cząsteczce propanu powinny być równe około 109,5°;

    • promień atomu wodoru równy jest około 30 pm (pikometrów), a promień atomu węgla – około 77 pm;

    • długość wiązania węgiel–węgiel to około 154 pm, a długość wiązania węgiel–wodór to około 109 pm.

    R1ERYa0T0EfqK
    Odpowiedź zapisz w zeszycie do lekcji chemii, zrób zdjęcie, a następnie umieść je w wyznaczonym polu.
    Źródło: GroMar Sp. z o.o., licencja: CC BY-SA 3.0.

    Wykorzystując zestaw modeli atomów lub kolorową plastelinę i wykałaczki (lub zapałki), zaproponuj i skonstruuj model pręcikowo–kulkowy cząsteczki propanu.

    • wiązania od atomów węgla powinny rozchodzić się w naroża  czworośianu foremnego, a atomy węgla mieć około dwa razy większy promień, niż atomy wodoru

    Skonstruowanie dokładnego modelu cząsteczki propanu, z uwzględnieniem wymienionych wytycznych, zapewne przysporzyło Ci trochę trudności. Zwłaszcza jeśli nie posiadasz zestawu z modelami atomów.

    Dużo prostszą metodą konstruowania modeli cząsteczek związków chemicznych (w tym również alkanów) jest wykorzystanie do tego celu odpowiedniego programu komputerowego, z wbudowanymi informacjami o długościach poszczególnych wiązań chemicznych oraz rozmiarach atomów.

    1
    Polecenie 4

    Przykładowy program do tworzenia modeli cząsteczek alkanów znajduje się poniżej. Zapoznaj się z zasadą działania tego programu, a następnie wykonaj polecenia od 4 do 6.

    R1HNQ0P65y8Ty1
    Źródło: GroMar Sp. z o.o., licencja: CC BY-SA 3.0.

    Sprawdź, ile różnych modeli cząsteczek węglowodorów zbudowanych z 8 atomów węgla oraz 18 atomów wodoru można skonstruować? Zbuduj te modele korzystając z plasteliny, kasztanów i wykałaczek lub gotowych zestawów do modelowania. Pamiętaj, że każdy atom węgla musi być połączony z czterema innymi atomami (węgla lub wodoru), a każdy atom wodoru może łączyć się tylko z jednym atomem węgla.

    1
    Polecenie 5
    R1HLX7fDbcS0l
    Źródło: GroMar Sp. z o.o., licencja: CC BY-SA 3.0.
    R1FF2F4U5RKD9
    Polecenie 6
    RAZNgmdG6bqzW
    Poniżej zamieszczono sześć modeli cząsteczek. Wskaż te z modeli, które odpowiadają strukturze alkanu o wzorze sumarycznym C indeks dolny, osiem, koniec indeksu dolnego, H indeks dolny, osiemnaście, koniec indeksu dolnego.
    Źródło: GroMar Sp. z o.o., licencja: CC BY-SA 3.0.
    R1OM327R1P467
    1
    Polecenie 7

    Korzystając z zamieszczonego powyżej programu komputerowego, skonstruuj modele wszystkich możliwych alkanów zawierających po sześć atomów węgla w cząsteczkach.

    R1af9rSEMdQVU
    Zdjęcia wykonanych modeli umieść w wyznaczonym polu.
    Źródło: GroMar Sp. z o.o., licencja: CC BY-SA 3.0.
    Polecenie 7

    Korzystając z plasteliny, kasztanów i wykałaczek lub zestawów do modelowania, skonstruuj modele wszystkich możliwych alkanów zawierających po sześć atomów węgla w cząsteczkach.

    Słownik

    alkany
    alkany

    węglowodory nasycone, związki organiczne zbudowane z atomów węgla i wodoru, zawierające między atomami węgla wyłącznie wiązania pojedyncze

    węglowodory nasycone
    węglowodory nasycone

    związki chemiczne węgla i wodoru, w których cząsteczkach między atomami występują wyłącznie wiązania pojedyncze (węgiel–węgiel oraz węgiel–wodór)

    szereg homologiczny
    szereg homologiczny

    szereg związków organicznych uporządkowanych według wzrastającej liczby atomów węgla, np. alkanów, w którym dwa kolejne związki różnią się od siebie o grupę atomów -CH2-; związki należące do tego samego szeregu homologicznego nazywane są homologami; homologi różnią się właściwościami fizycznymi, ale posiadają podobne właściwości chemiczne

    izomery
    izomery

    związki chemiczne o takim samym wzorze sumarycznym, różniące się strukturą (np. sposobem lub kolejnością powiązania atomów w cząsteczkach)

    Ćwiczenia

    Pokaż ćwiczenia:
    ROsujEpJhjPFy1
    Ćwiczenie 1
    Poniżej zamieszczono modele cząsteczek różnych alkanów. Zaznacz modele alkanów o prostych (nierozgałęzionych) łańcuchach węglowych.
    Źródło: GroMar Sp. z o.o., licencja: CC BY-SA 3.0.
    RAOG62AHSH8R9
    Ćwiczenie 1
    RtDI7gABRQAeE1
    Ćwiczenie 2
    Spośród zamieszczonych poniżej wzorów półstrukturalnych wybierz i zaznacz wzory przedstawiające izomery dekanu.
    Źródło: GroMar Sp. z o.o., licencja: CC BY-SA 3.0.
    R1AD3HD3TU2JR
    Ćwiczenie 2
    1
    Ćwiczenie 3
    R172ULuuXsfIW
    Poniżej zamieszczono modele cząsteczek czterech różnych alkanów. Do każdego modelu dopasuj odpowiadający mu wzór sumaryczny.
    Źródło: GroMar Sp. z o.o., licencja: CC BY-SA 3.0.
    R72Q5VBEJ7T96
    R1ZWf2jMc1fj72
    Ćwiczenie 4
    Łączenie par. Oceń poprawność poniższych stwierdzeń:. Wiązanie węgiel‑węgiel w cząsteczce alkanu jest dłuższe niż wiązanie węgiel‑wodór.. Możliwe odpowiedzi: Prawda, Fałsz. W cząsteczkach alkanów atomy wodoru mogą łączyć się bezpośrednio zarówno z innymi atomami wodoru, jak i z atomami węgla.. Możliwe odpowiedzi: Prawda, Fałsz. Kąty pomiędzy poszczególnymi wiązaniami w cząsteczkach alkanów są kątami rozwartymi.. Możliwe odpowiedzi: Prawda, Fałsz. Cząsteczki alkanów mają budowę przestrzenną (nie są płaskie).. Możliwe odpowiedzi: Prawda, Fałsz
    Źródło: GroMar Sp. z o.o., licencja: CC BY-SA 3.0.
    2
    Ćwiczenie 5

    O cząsteczce pewnego alkanu wiadomo, że:

    • główny łańcuch węglowy tej cząsteczki posiada trzykrotnie więcej atomów węgla, niż znajduje się ich w cząsteczce etanu;

    • do atomów węgla w łańcuchu głównym dołączone są cztery identyczne podstawniki, z których każdy zawiera jeden atom węgla.

    R42xWUmEQb9WD
    Wybierz i zaznacz model opisanej powyżej cząsteczki:
    Źródło: GroMar Sp. z o.o., licencja: CC BY-SA 3.0.

    O cząsteczce pewnego alkanu wiadomo, że:

    • główny łańcuch węglowy tej cząsteczki posiada trzykrotnie więcej atomów węgla, niż znajduje się ich w cząsteczce etanu;

    • do atomów węgla w łańcuchu głównym dołączone są cztery identyczne podstawniki, z których każdy zawiera jeden atom węgla.

    R1B8R9PKO5XHS
    21
    Ćwiczenie 6

    Narysuj wzory półstrukturalne wszystkich izomerycznych alkanów o wzorze sumarycznym C4H10. Następnie, korzystając z zamieszczonego w powyższym materiale programu komputerowego, skonstruuj modele cząsteczek tych alkanów.

    R18fFVJ0unPrJ
    Odpowiedź zapisz w zeszycie do lekcji chemii, zrób zdjęcie, a następnie umieść je w wyznaczonym polu.
    Źródło: GroMar Sp. z o.o., licencja: CC BY-SA 3.0.
    Ćwiczenie 6

    Ustal wszystkie struktury alkanu o wzorze sumarycznym C4H10. Następnie, skonstruuj modele cząsteczek tych alkanów.

    Podpowiedź
    31
    Ćwiczenie 7

    Korzystając z zamieszczonego w powyższym materiale programu komputerowego, skonstruuj modele przynajmniej pięciu możliwych alkanów zawierających po szesnaście atomów wodoru w cząsteczkach.

    RcxNmqNVMRiYn
    Zdjęcia wykonanych modeli umieść w wyznaczonym polu.
    Źródło: GroMar Sp. z o.o., licencja: CC BY-SA 3.0.
    Ćwiczenie 7

    Zidentyfikuj i przedstaw za pomocą prostych modeli co najmniej pięciu różnych struktur alkanów, które posiadają 16 atomów wodoru.

    Podpowiedź
    3
    Ćwiczenie 8

    The structure of the octane molecule is shown below using different formulas. Match each chemical formula with a name that corresponds to it. Use the information:

    The empirical formula of a chemical compound is the simplest whole number ratio of atoms present in a compound. The molecular formula of a chemical compound gives the actual numbers of all the atoms in the molecule.

    R1Z3CiiY1lm2s
    Źródło: GroMar Sp. z o.o., licencja: CC BY-SA 3.0.
    Glossary

    Bibliografia

    Danikiewicz W., Chemia. Związki organiczne, Podręcznik do liceów i techników. Zakres rozszerzony, Warszawa 2013.

    Dudek–Różycki K., Płotek M., Wichur T., Kompendium terminologii oraz nazewnictwa związków organicznych. Poradnik dla nauczycieli i uczniów, Kraków 2020.

    Encyklopedia PWN

    Krzeczkowska M., Loch J., Mizera A., Chemia. Repetytorium. Liceum – poziom podstawowy i rozszerzony, Warszawa – Bielsko–Biała 2010.

    bg‑gray3

    Notatnik

    RZmXjQ15WZWZy
    Miejsce na Twoje notatki: (Uzupełnij).
    Źródło: GroMar Sp. z o.o., licencja: CC BY-SA 3.0.