Cukier to substancja powszechnie spotykana w kuchni, wykorzystywana do słodzenia napojów i potraw. Czy słowo cukier, używane w życiu codziennym, oznacza to samo w języku chemicznym? Czy cukier jest zawsze słodki?

Ze względu na budowę, cukry możemy w uproszczeniu podzielić na proste i złożone. Cukry złożone pokrótce definiujemy jako związki chemiczne, które można (w wyniku odpowiednich reakcji chemicznych) rozłożyć na cukry proste.

RYhgyJug2a3yH1
Uproszczony podział cukrów. Indeks n, zaznaczony we wzorze ogólnym cukrów złożonych oznacza, że w skład cząsteczek skrobi, celulozy i glikogenu wchodzi od kilku do kilkuset tysięcy połączonych ze sobą reszt cząsteczek glukozy (w zależności od rodzaju cukru).
Źródło: GroMar Sp. z o.o., licencja: CC BY-SA 3.0.

Cukry proste z kolei nie ulegają rozkładowi na cukry prostsze. Ponadto z cukrów prostych, na skutek odpowiednich przemian chemicznych, mogą powstawać cukry złożone.

R1b9gQGaDD3VR
Wymyśl pytanie na kartkówkę związane z tematem materiału.
Przykłady monosacharydów
Źródło: GroMar Sp. z o.o., licencja: CC BY-SA 3.0.

Gdzie możemy znaleźć monosacharydy?

R1EPcR8u6uGS6
Wybierz jedno nowe słowo poznane podczas dzisiejszej lekcji i ułóż z nim zdanie.
Przykłady disacharydów
Źródło: GroMar Sp. z o.o., licencja: CC BY-SA 3.0.

Gdzie możemy znaleźć disacharydy?

R1E3RS1c2iy831
Mapa myśli. Lista elementów:
  • Nazwa kategorii: pochodzenie[br]disacharydów
    • Elementy należące do kategorii pochodzenie[br]disacharydów
    • Nazwa kategorii: sacharoza
      • Elementy należące do kategorii sacharoza
      • Nazwa kategorii: trzcina[br]cukrowa
      • Nazwa kategorii: owoce
        • Elementy należące do kategorii owoce
        • Nazwa kategorii: suszone[br]owoce
        • Nazwa kategorii: mango
        • Nazwa kategorii: morele
        • Nazwa kategorii: ananas
        • Nazwa kategorii: mandarynki
        • Koniec elementów należących do kategorii owoce
      • Nazwa kategorii: warzywa
        • Elementy należące do kategorii warzywa
        • Nazwa kategorii: groszek[br]zielony
        • Nazwa kategorii: fasole
        • Nazwa kategorii: kukurydza
        • Nazwa kategorii: burak[br]cukrowy
        • Koniec elementów należących do kategorii warzywa
        Koniec elementów należących do kategorii sacharoza
    • Nazwa kategorii: laktoza
      • Elementy należące do kategorii laktoza
      • Nazwa kategorii: produkty[br]mleczne
        • Elementy należące do kategorii produkty[br]mleczne
        • Nazwa kategorii: śmietanka
        • Nazwa kategorii: jogurt
        • Nazwa kategorii: kefir
        • Nazwa kategorii: maślanka
        • Nazwa kategorii: sery
        • Koniec elementów należących do kategorii produkty[br]mleczne
      • Nazwa kategorii: przekąski
      • Koniec elementów należących do kategorii laktoza
    • Nazwa kategorii: maltoza
      • Elementy należące do kategorii maltoza
      • Nazwa kategorii: ziarna[br]zbóż np.[br]jęczmienia
      • Koniec elementów należących do kategorii maltoza
      Koniec elementów należących do kategorii pochodzenie[br]disacharydów
Mapa myśli pt. „Gdzie możemy znaleźć disacharydy?”
Źródło: GroMar Sp. z o.o., licencja: CC BY-SA 3.0.

Skrobia

Jest polisacharydem, w którym liczba cząsteczek glukozy mieści się w przedziale od kilkuset do kilku tysięcy i zależy od pochodzenia. Występuje głównie w ziemniakach (1619% zawartości), ziarnach zbóż, ryżu i kukurydzy (nawet 80% zawartości). To bardzo ważny składnik naszego pożywienia. Posiada budowę ziarnistą, a kształt ziaren jest uzależniony od ich pochodzenia, co przedstawia poniższa grafika interaktywna.

RScNMyR1AbTVF
Ilustracja interaktywna Ilustracja przedstawiająca schematycznie kształty i rozmiary ziaren skrobi. W przypadku skrobi ziemniaczanej są one największe i mają owalne, miejscami nieregularne kształty. Ziarna skrobi pszennej są nieco mniejsze i również przeważają kształty owalne. Najmniejsze spośród zaprezentowanych ziarna skrobi ryżowej tworzą wyraźne skupiska o nieregularnych, zaokrąglonych kształtach. Ziarna skrobi kukurydzianej są nieco większe niż skrobi ryżowej i mają zaokrąglone kształty. Również mają tendencję do tworzenia skupisk. 1. Zdjęcie mikroskopowe ziarenek skrobi ziemniaczanej. Zdjęcie mikroskopowe ziarenek skrobi ziemniaczanej, które mają owalny kształt. Indeks dolny Źródło: commons.wikimedia.org, licencja: CC BY‑SA 4.0, 2. Zdjęcie mikroskopowe ziarenek skrobi pszennej. Zdjęcie mikroskopowe ziarenek skrobi pszennej. Mają owalne lub okrągłe kształty o różnym stopniu uziarnienia. Częściowo wybarwione są na fioletowo. Indeks dolny Źródło: domena publiczna , 3. Zdjęcie mikroskopowe ziarenek skrobi ryżowej. Zdjęcie mikroskopowe ziarenek skrobi ryżowej, które tworzą większe struktury, skupiając się w większe jednostki. Są różnokształtne z przewagą zaokrąglonych ziarenek, które są dużo mniejsze nić w poprzednich dwóch przypadkach, to znaczy skrobi ziemniaczanej oraz pszennej. Indeks dolny Źródło: commons.wikimedia.org, licencja: CC BY‑SA 3.0 , 4. Zdjęcie mikroskopowe ziarenek skrobi kukurydzianej w świetle spolaryzowanym. Zdjęcie mikroskopowe ziarenek skrobi kukurydzianej w świetle spolaryzowanym. Ziarenka są większe niż w przypadku skrobi ryżowej, jednak mniejsze niż w przypadku skrobi ziemniaczanej, czy też pszennej. Również tworzą skupiska, z których powstają większe struktury o zaokrąglonych, owalnych lub typowo okrągłych kształtach. Światło spolaryzowane odbija się od poszczególnych ziaren, tworząc charakterystyczny kształt, który przypomina trójkątne listki czterolistnej koniczyny, co można przyrównać również do kształtu przypominającego podzielone na ćwiartki niesymetryczne koło. Indeks dolny Źródło: domena publiczna
Kształt ziaren skrobi jest uzależniony od ich pochodzenia.
Źródło: GroMar Sp. z o.o., licencja: CC BY-SA 3.0.

Gdzie możemy znaleźć polisacharydy?

RhGGVxfjwB1cM1
Mapa myśli. Lista elementów:
  • Nazwa kategorii: pochodzenie[br]polisacharydów
    • Elementy należące do kategorii pochodzenie[br]polisacharydów
    • Nazwa kategorii: skrobia
      • Elementy należące do kategorii skrobia
      • Nazwa kategorii: ziemniaki
      • Nazwa kategorii: ziarna zbóż
      • Nazwa kategorii: ryż
      • Nazwa kategorii: kukurydza
      • Koniec elementów należących do kategorii skrobia
    • Nazwa kategorii: celuloza
      • Elementy należące do kategorii celuloza
      • Nazwa kategorii: bawełna
      • Nazwa kategorii: len
      • Nazwa kategorii: drewno
      • Nazwa kategorii: juta
      • Koniec elementów należących do kategorii celuloza
      Koniec elementów należących do kategorii pochodzenie[br]polisacharydów
Mapa myśli pt. „Pochodzenie polisacharydów - skrobia i celuloza”
Źródło: GroMar Sp. z o.o., licencja: CC BY-SA 3.0.

Budowa cząsteczki glukozy

Cząsteczka glukozy zbudowana jest z sześciu atomów węgla, dwunastu atomów wodoru oraz sześciu atomów tlenu. W stałym stanie skupienia cząsteczki glukozy tworzą pierścienie (mają budowę cykliczną).

Na poniższej grafice znajdują się wzory, za pomocą których możemy opisać budowę cząsteczki glukozy oraz model tej cząsteczki.

Rsbdn4Wq1lZnu
Budowa cząsteczki glukozy. Zwróć uwagę, że cząsteczka glukozy nie jest płaska — ma budowę przestrzenną. Wzór taflowy nazywany jest wzorem Hawortha.
Źródło: GroMar Sp. z o.o., licencja: CC BY-SA 3.0.
1
Polecenie 1

Oblicz masowy skład procentowy glukozy. Wyniki podaj z dokładnością do pierwszego miejsca po przecinku.

RQfKOJp1OCEbC
Odpowiedź zapisz w zeszycie do lekcji chemii, zrób zdjęcie, a następnie umieść je w wyznaczonym polu.
Źródło: Gromar Sp. z o.o., licencja: CC BY-SA 3.0.
R6hyigoi3KADe
Odpowiedź: (Uzupełnij).
Źródło: Gromar Sp. z o.o., licencja: CC BY-SA 3.0.

Glukoza jest jednym z najbardziej rozpowszechnionych w przyrodzie cukrów prostych. Głównym źródłem glukozy jest prowadzony (głównie przez rośliny) proces fotosyntezy.

W poniższej animacji zilustrowano schemat procesu fotosyntezy. Zapoznaj się z informacjami zawartymi w animacji, a następnie wykonaj polecenia nr 23.

RdgbKiaMRFe9Q
Animacja przedstawiono wszystkie czynniki konieczne do zajścia procesu fotosyntezy u roślin.
Polecenie 2
R5cxuvCYCCykP
Łączenie par. Oceń prawdziwość poniższych zdań. Zaznacz ,,Prawda'', jeśli zdanie jest prawdziwe, lub ,,Fałsz'', jeśli jest fałszywe.. Proces fotosyntezy odbywa się w komórkach roślinnych zawierających barwnik o nazwie chlorofil.. Możliwe odpowiedzi: Prawda, Fałsz. Fotosynteza to przemiana chemiczna, której substratami są tlenek węgla(dwa) i woda.. Możliwe odpowiedzi: Prawda, Fałsz. Fotosynteza to przemiana chemiczna, której produktami są tlen i glukoza.. Możliwe odpowiedzi: Prawda, Fałsz. Do przebiegu procesu fotosyntezy niezbędna jest energia słoneczna.. Możliwe odpowiedzi: Prawda, Fałsz
Źródło: Gromar Sp. z o.o., licencja: CC BY-SA 3.0.
Polecenie 3
R14CpMioHj6ku
Wskaż równanie reakcji, które poprawnie obrazuje przebieg procesu fotosyntezy. Możliwe odpowiedzi: 1. C O indeks dolny, dwa, koniec indeksu dolnego, plus, H indeks dolny, dwa, koniec indeksu dolnego, O macierz, element, jeden jeden, energia słoneczna, element, jeden dwa, chlorofil powyżej, strzałka w prawo, C indeks dolny, sześć, koniec indeksu dolnego, H indeks dolny, dwanaście, koniec indeksu dolnego, O indeks dolny, sześć, koniec indeksu dolnego, plus, O indeks dolny, dwa, koniec indeksu dolnego, 2. C indeks dolny, sześć, koniec indeksu dolnego, H indeks dolny, dwanaście, koniec indeksu dolnego, O indeks dolny, sześć, koniec indeksu dolnego, plus, O indeks dolny, dwa, koniec indeksu dolnego, macierz, element, jeden jeden, energia słoneczna, element, jeden dwa, chlorofil powyżej, strzałka w prawo, C O indeks dolny, dwa, koniec indeksu dolnego, plus, H indeks dolny, dwa, koniec indeksu dolnego, O, 3. sześć C O indeks dolny, dwa, koniec indeksu dolnego, plus, sześć H indeks dolny, dwa, koniec indeksu dolnego, O macierz, element, jeden jeden, energia słoneczna, element, jeden dwa, chlorofil powyżej, strzałka w prawo, C indeks dolny, sześć, koniec indeksu dolnego, H indeks dolny, dwanaście, koniec indeksu dolnego, O indeks dolny, sześć, koniec indeksu dolnego, plus, sześć O indeks dolny, dwa, koniec indeksu dolnego, 4. C indeks dolny, sześć, koniec indeksu dolnego, H indeks dolny, dwanaście, koniec indeksu dolnego, O indeks dolny, sześć, koniec indeksu dolnego, plus, sześć O indeks dolny, dwa, koniec indeksu dolnego, macierz, element, jeden jeden, energia słoneczna, element, jeden dwa, chlorofil powyżej, strzałka w prawo, sześć C O indeks dolny, dwa, koniec indeksu dolnego, plus, sześć H indeks dolny, dwa, koniec indeksu dolnego, O
Źródło: Gromar Sp. z o.o., licencja: CC BY-SA 3.0.

Budowa cząsteczki fruktozy

Cząsteczka fruktozy zbudowana jest z sześciu atomów węgla, dwunastu atomów wodoru oraz sześciu atomów tlenu. Czy taki skład coś Ci przypomina? Jeśli zapiszemy wzór sumaryczny cząsteczki fruktozy:

C6H12O6

to okaże się, że jest on identyczny jak wzór sumaryczny cząsteczki glukozy. Czy są to zatem takie same związki chemiczne? W odpowiedzi na to pytanie pomoże Ci poniższa grafika, na której przedstawiono wzory chemiczne, opisujące budowę cząsteczki fruktozy oraz model tej cząsteczki.

Rc74mB1IvouBT
Budowa cząsteczki fruktozy. Fruktoza, podobnie jak glukoza, w stałym stanie skupienia występuje w postaci cyklicznych cząsteczek.
Źródło: GroMar Sp. z o.o., licencja: CC BY-SA 3.0.

Budowa sacharozy

Cukier, którego używamy każdego dnia, m.in. do słodzenia herbaty, był znany już w starożytności. Na skalę przemysłową otrzymywano go z trzciny cukrowej na Bliskim Wschodzie. Do Europy sprowadzili go Grecy w IV w. p.n.e. – wówczas wykorzystywano go w celach leczniczych. Dostawy do Europy znacznie się zwiększyły, gdy odkryto Amerykę, ponieważ założono tam plantacje trzciny cukrowej. Połowa XVIII w. to okres, kiedy rozpoczęto otrzymywanie cukru z buraków cukrowych. W Polsce pierwszą cukrownię wybudowano na Dolnym Śląsku w 1802 r.

Cukrem, o którym będzie dzisiaj mowa, jest sacharoza. Należy ona do dwucukrów o wzorze C12H22O11. Cząsteczka sacharozy jest zbudowana z fragmentów dwóch cukrów prostych: glukozy i fruktozy.

R10aSxeYDbxyI
Cząsteczka sacharozy składa się z cząsteczek dwóch cukrów prostych: glukozy i fruktozy.
Źródło: GroMar Sp. z o.o., licencja: CC BY-SA 3.0.

Czy wiesz, że każdy może zrobić cukierki zwane karmelkami? Wystarczy do rondelka wsypać kilka łyżek cukru i ogrzewać na wolnym ogniu. W wyniku ogrzewania powstaje karmel, który następnie należy przelać do foremki na kostki lodu i poczekać, aż ostygnie.

1
Polecenie 4

Wyniki doświadczenia zapisz w tabeli.

R1MD5RU6NIych
Tabela zawierająca informacje dotyczące sacharozy, takie jak stan skupienia, barwa, zapach, rozpuszczalność w wodzie oraz efekt ogrzewania.
Źródło: Gromar Sp. z o.o., licencja: CC BY-SA 3.0.
1
Polecenie 5

Zweryfikuj hipotezę i zapisz wnioski.

R1Kb0rec8jHDm
Weryfikacja hipotezy: Hipoteza 1: Postawiona hipoteza okazała się prawdziwa. Sacharoza jest białą substancją stałą, która dobrze rozpuszcza się w wodzie. Pod wpływem temperatury ulega stopieniu. Hipoteza 2: Postawiona hipoteza okazała się fałszywa. Sacharoza jest białą substancją stałą, która dobrze rozpuszcza się w wodzie. Pod wpływem temperatury ulega stopieniu. (Wybierz: Hipoteza 1, Hipoteza 2).
Źródło: Gromar Sp. z o.o., licencja: CC BY-SA 3.0.
Polecenie 4
R18msPnSF98iq
Zaznacz wszystkie właściwości sacharozy, które potwierdzone zostały w doświadczeniu. Możliwe odpowiedzi: 1. stały stan skupienia, 2. posiada białą barwę, 3. bezwonny, 4. dobrze rozpuszcza się w wodzie, 5. w wyniku ogrzewania topi się, zmieniając barwę na brunatną, 6. ciekły stan skupienia, 7. posiada brunatną barwę, 8. posiada charakterystyczny zapach, 9. słabo rozpuszcza się w wodzie, 10. nie topi się w wyniku ogrzewania
Źródło: Gromar Sp. z o.o., licencja: CC BY-SA 3.0.

Co się dzieje podczas trawienia sacharozy w organizmie człowieka?

W organizmie człowieka podczas trawienia sacharoza rozkłada się na cukry proste. Niezbędne do tej reakcji są: enzymy, woda i kwas chlorowodorowy (solny), znajdujące się w przewodzie pokarmowym. Proces ten nazywamy hydrolizą.

C12H22O11 + H2Oenzymy, HClC6H12O6 + C6H12O6

sacharoza + woda  enzymy, HCl  glukoza + fruktoza

Wstępne trawienie sacharozy może rozpocząć się już w jamie ustnej pod wpływem obecnego w ślinie enzymu – amylazy ślinowej. Dlatego cukru nie trzeba nawet połykać. Wystarczy jego niewielką ilość włożyć do ust i poczekać, aż ślina rozłoży go na cukry proste. Zostaną one wchłonięte przez nabłonek błony śluzowej jamy ustnej.

Ciekawostka

Do disacharydów zaliczamy również laktozę i maltozę.

Laktoza to bezbarwna substancją stała, mniej słodka od sacharozy. Występuje m.in. w mleku krowim, dlatego jest nazywana cukrem mlekowym. Niektórzy ludzie, zwłaszcza osoby dorosłe, nie tolerują laktozy. Nietolerancja ta objawia się m.in.: bólami brzucha, kolką, wzdęciami, nudnościami i wymiotami.

RZne9LdMnrdaf
Produkty pozbawione laktozy oznaczane są często jako lactose free.
Źródło: DesignlandPfalz, dostępny w internecie: www.pixabay.com, licencja: CC BY-SA 3.0.

Maltoza, zwana cukrem słodowym, występuje w ziarnach zbóż, szczególnie jęczmienia. Maltoza ze słodu jęczmiennego wykorzystuje się w przemyśle piwowarskim, gorzelniczym i piekarsko–ciastkarskim.

Występowanie i zastosowanie sacharozy

Korzenie buraków cukrowych i łodygi trzciny cukrowej to główne źródła sacharozy. W niewielkich ilościach może ona występować także w niektórych owocach i warzywach.

R16GHguhLtzth1
Występowanie sacharozy
Źródło: Dariusz Adryan, dostępny w internecie: www.pixabay.com, WikimediaImages, domena publiczna, www.pixabay.com, sarangib, domena publiczna, www.pixabay.com, jackmac34, domena publiczna, www.pixabay.com, skeeze, domena publiczna, licencja: CC BY-SA 3.0.

Dzięki swoim właściwościom sacharoza znalazła zastosowanie w wielu dziedzinach przemysłu.

R12gTEO0nPDhg
Zastosowanie sacharozy
Źródło: Dariusz Adryan, dostępny w internecie: www.pixabay.com, roxymjones, domena publiczna, www.pixabay.com, michalkrk, domena publiczna, www.pixabay.com, tsuru0164, domena publiczna, www.pixabay.com, frolicsomepl, domena publiczna, licencja: CC BY-SA 3.0.
Ciekawostka

Sacharoza może być wykorzystywana jako źródło energii w biodegradowalnych bateriach do zasilania m.in. telefonów komórkowych i odtwarzaczy mp3. W baterii zachodzą procesy chemiczne, dzięki którym wytwarza się energia. Obecnie trwają prace nad udoskonaleniem tego rodzaju baterii. W przyszłości takie rozwiązanie może być wykorzystywane na dużą skalę, gdyż jest ekologiczne i bezpieczne dla środowiska.

Cukier – słodka trucizna

Już dzieciom zwraca się uwagę, by nie jadły za dużo słodyczy. Wielokrotnie słyszymy, że napoje typu cola są niezdrowe. Dlaczego? Słodycze zawierają ogromne ilości cukrów i są pozbawione innych składników odżywczych i witamin. Czy wiesz, że puszka napoju typu cola zawiera przeciętnie dwanaście łyżeczek cukru?

Rf0aFOpjAyn3h
1) Zjadając duże ilości słodyczy, ograniczamy spożycie owoców, warzyw oraz innych cennych produktów. Pozbawiamy w ten sposób organizm witamin i składników mineralnych; 2) Puszka napoju typu cola zawiera ok. 12 łyżeczek cukru. Innym składnikiem jest kwas fosforowy(V), który przyczynia się m.in. do psucia zębów
Źródło: Krzysztof Jaworski, dostępny w internecie: www.commons.wikimedia.org, gnokii, domena publiczna, www.pixabay.com, OpenClipartVectors, domena publiczna, licencja: CC BY-SA 3.0.

Powszechnie wiadomo, że nadmierna ilość słodyczy może prowadzić do otyłości. Ale czy tylko to jest jej efektem? Nadmierna ilość cukrów w naszym organizmie nie jest wskazana, gdyż może być przyczyną wielu schorzeń, takich jak:

  • uszkodzenie układu odpornościowego;

  • zaburzenie równowagi minerałów w organizmie;

  • zwiększenie poziomu glukozy i insuliny;

  • osłabienie wzroku;

  • psucie zębów;

  • choroby serca;

  • podwyższony cholesterol;

  • cukrzyca i wiele innych.

Skutkiem spożywania nadmiernej ilości cukru jest jego negatywny wpływ na tkankę mózgową. Dzieci i nastolatki spożywające duże ilości cukru nie kontrolują swoich emocji, są znerwicowane i agresywne. Cukier może również spowodować depresję, irytację i uczucie zmęczenia. Co ważne, od cukru można się uzależnić, podobnie jak od nikotyny i alkoholu.

Występowanie i budowa polisacharydów

Wielocukry to złożone związki chemiczne zbudowane z wielu reszt cukrów prostych. Do najbardziej znanych policukrów należą skrobia i celuloza.

Wzór ogólny wielocukrów to C6H10O5n, gdzie n to liczba naturalna, zależna od rodzaju wielocukru i jego pochodzenia. Cukry złożone, takie jak skrobia i celuloza, powstają głównie w roślinach, w wyniku łączenia się cząsteczek glukozy. Nazywamy je naturalnymi polimerami.

R1MO7A2eJwF9a
Cząsteczka glukozy jest głównym budulcem cząsteczek skrobi i celulozy
Źródło: GroMar Sp. z o.o., licencja: CC BY-SA 3.0.

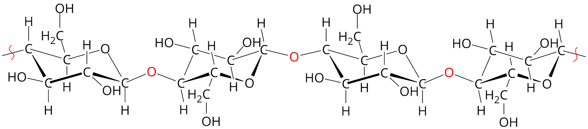
Skrobia jest związkiem wielkocząsteczkowym. Liczba cząsteczek glukozy, z których powstaje, waha się od kilkuset do kilku tysięcy i zależy od pochodzenia. Skrobia składa się z dwóch rodzajów struktur – amylozy i amylopektyny. Amylozę tworzy struktura nierozgałęziona, która stanowi około 20% masy skrobi. Amyloza składa się z cząsteczek glukozy połączonych ze sobą.

R1J294ndBCVyp
Amyloza to połączenie cząsteczek glukozy w sposób nierozgałęziony. Jest nierozpuszczalna w zimnej wodzie.
Źródło: GroMar Sp. z o.o., licencja: CC BY-SA 3.0.

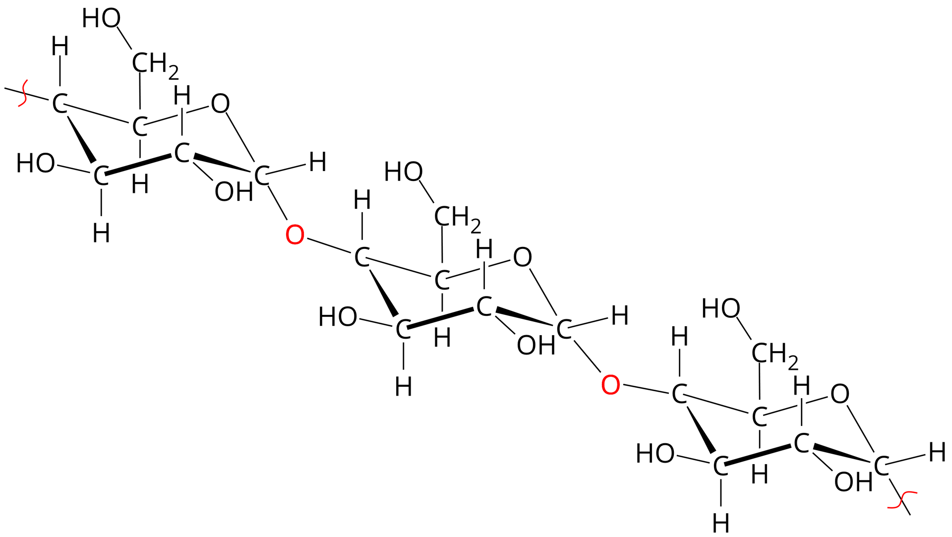
Drugi rodzaj struktury budującej skrobię to amylopektyna. Stanowi ona pozostałe 80% masy skrobi i ma dużo bardziej złożoną strukturę niż amyloza. Podobnie jak amyloza, amylopektyna również zbudowana jest z cząsteczek glukozy. Cząsteczki te tworzą jednak rozgałęziony łańcuch.

R1cuzOj9Vb72r
Amylopektyna to połączenie cząsteczek glukozy w sposób rozgałęziony. Amylopektyna jest dobrze rozpuszczalna w zimnej wodzie.
Źródło: GroMar Sp. z o.o., licencja: CC BY-SA 3.0.

Zapoznaj się z poniższą galerią zdjęć. Do kolejnego zdjęcia możesz przejść za pomocą strzałek umieszczonych po bokach obrazu.

W zależności od występowania, ziarna skrobi mogą przyjmować różny kształt.

R1MbzHtwlGswP
Ilustracja przedstawiająca schematycznie kształty i rozmiary ziaren skrobi. W przypadku skrobi ziemniaczanej są one największe i mają owalne, miejscami nieregularne kształty. Ziarna skrobi pszennej są nieco mniejsze i również przeważają kształty owalne. Najmniejsze spośród zaprezentowanych ziarna skrobi ryżowej tworzą wyraźne skupiska o nieregularnych, zaokrąglonych kształtach. Ziarna skrobi kukurydzianej są nieco większe niż skrobi ryżowej i mają zaokrąglone kształty. Również mają tendencję do tworzenia skupisk. Kształt ziaren skrobi jest uzależniony od ich pochodzenia.
Kształty ziaren skrobi w zależności od jej pochodzenia.
Źródło: GroMar Sp. z o.o., licencja: CC BY-SA 3.0.

Celuloza, podobnie jak skrobia, jest związkiem zbudowanym z wielu reszt glukozy (od 2500 do 10000). Jest głównym składnikiem roślin, którym zapewnia trwałość, elastyczność oraz chroni przed utratą wody. Występuje w dużych ilościach w bawełnie i drewnie. Ma budowę włóknistą.

R1ENOdr0NT37a
Celuloza to połączenie cząsteczek glukozy w sposób nierozgałęziony. Taka struktura nadaje wytrzymałość i sztywność roślinom, dzięki czemu stanowi doskonały materiał budulcowy.
Źródło: GroMar Sp. z o.o., licencja: CC BY-SA 3.0.

Zapoznaj się z poniższą galerią zdjęć. Do kolejnego zdjęcia możesz przejść za pomocą strzałek umieszczonych po bokach obrazu.

Celuloza jest również nazywana błonnikiem. Człowiek nie trawi tego cukru, ale spełnia on ważną rolę w prawidłowym funkcjonowaniu układu pokarmowego.

Ciekawostka

Do wielocukrów należy także glikogen. Pod względem budowy przypomina skrobię. Jego cząsteczki mają jednak bardziej rozgałęzioną strukturę. Stanowi materiał zapasowy w organizmach ludzi i zwierząt. Gromadzi się głównie w mięśniach oraz w wątrobie. Produktem rozkładu glikogenu jest glukoza, która spala się, dostarczając organizmowi energii.

C6H10O5n +n H2Oenzymyn C6H12O6

Zastosowanie wielocukrów (skrobi i celulozy)

Skrobia i celuloza, ze względu na swoje właściwości, znalazły zastosowanie w życiu codziennym. Skrobię wykorzystuje się przede wszystkim w przemyśle spożywczym. Ze względu na konsystencję mieszaniny skrobi i wody, służy między innymi do produkcji kisieli i budyniów. Stosuje się ją również do produkcji klejów, leków i kosmetyków.

Zapoznaj się z poniższą galerią zdjęć. Do kolejnego zdjęcia możesz przejść za pomocą strzałek umieszczonych po bokach obrazu.

Celuloza również ma szerokie spektrum zastosowań, głównie w przemyśle papierniczym. Używa się jej także do produkcji lakierów, klejów, materiałów wybuchowych i jedwabiu sztucznego.

Zapoznaj się z poniższą galerią zdjęć. Do kolejnego zdjęcia możesz przejść za pomocą strzałek umieszczonych po bokach obrazu.

Zapoznaj się z poniższą galerią zdjęć. Do kolejnego zdjęcia możesz przejść za pomocą strzałek umieszczonych po bokach obrazu.

Podsumowanie

  • Cukry to związki chemiczne zbudowane z atomów węgla, wodoru i tlenu.

  • Cukry dzielimy na proste i złożone.

  • Do cukrów prostych zaliczamy między innymi glukozę i fruktozę. Związki te są izomerami - mają identyczny wzór sumaryczny – (C6H12O6), ale różnią się strukturą.

  • Glukoza i fruktoza są produktami procesu fotosyntezy.

  • Sacharoza to dwucukier o wzorze C12H22O11. Jest substancją białą, krystaliczną, o słodkim smaku. Dobrze rozpuszcza się w wodzie.

  • W organizmie człowieka sacharoza pod wpływem enzymów i kwasu solnego ulega hydrolizie – rozkłada się na glukozę i fruktozę.

  • Sacharoza występuje w burakach cukrowych i trzcinie cukrowej. W mniejszych ilościach może występować również w owocach i warzywach.

  • Do innych dwucukrów zaliczyć możemy maltozę oraz laktozę.

  • Najbardziej rozpowszechnionymi wielocukrami są skrobia i celuloza, o wzorze sumarycznym C6H10O5n.

  • Skrobia ma budowę ziarnistą i występuje głównie w ziemniakach, ziarnach zbóż, ryżu i kukurydzy.

  • Celuloza jest podstawowym materiałem budulcowym roślin. Ma budowę włóknistą; występuje między innymi w drewnie i bawełnie.

  • Najbardziej rozpowszechnionymi wielocukrami są skrobia i celuloza, o wzorze sumarycznym C6H10O5n.

  • Skrobia ma budowę ziarnistą i występuje głównie w ziemniakach, ziarnach zbóż, ryżu i kukurydzy.

  • Celuloza jest podstawowym materiałem budulcowym roślin. Ma budowę włóknistą; występuje między innymi w drewnie i bawełnie.

Słownik

cukry
cukry

nazywane czasem węglowodanami; grupa związków chemicznych zbudowanych z atomów węgla, wodoru i tlenu; ze względu na złożoność budowy, cukry dzielimy na proste i złożone

cukry proste
cukry proste

cukry, których nie można rozłożyć na cukry prostsze;
z cukrów prostych, w wyniku odpowiednich reakcji chemicznych, mogą powstawać cukry złożone; np. glukoza, fruktoza

cukry złożone
cukry złożone

związki chemiczne składające się z co najmniej dwóch reszt cząsteczek cukrów prostych, połączonych ze sobą; cukry złożone można rozłożyć na cukry prostsze w wyniku odpowiednich przemian chemicznych; np. sacharoza, maltoza, skrobia, celuloza

glukoza
glukoza

cukier prosty o wzorze sumarycznym C6H12O6; główny produkt fotosyntezy; jest białą, krystaliczną substancją stałą o słodkim smaku; dobrze rozpuszcza się w wodzie, a słabo w rozpuszczalnikach organicznych

fruktoza
fruktoza

cukier prosty o wzorze sumarycznym C6H12O6; ma podobne właściwości do glukozy, ale jest od niej słodsza

celuloza
celuloza

wielocukier o wzorze sumarycznym C6H10O5n od 2500 do 10000); ma budowę włóknistą; jest białą, łatwopalną substancją stałą; nie rozpuszcza się w wodzie; występuje w bawełnie i drewnie

skrobia
skrobia

wielocukier o wzorze C6H10O5n, gdzie n to wartość od kilkuset do kilku tysięcy i zależy od pochodzenia; ma budowę ziarnistą; jest białą substancją stałą; słabo rozpuszcza się w zimnej wodzie; występuje głównie w ziemniakach i ziarnach zbóż

sacharoza
sacharoza

cukier złożony, należący do grupy dwucukrów o wzorze C12H22O11; biała substancja krystaliczna o słodkim smaku; dobrze rozpuszcza się w wodzie

bg‑gold

Notatnik

R17TY7A3VUjRk
(Uzupełnij).
Źródło: Gromar Sp. z o.o., licencja: CC BY-SA 3.0.