Gra edukacyjna
Nomenklatura alkenów
Jak sprawnie potrafisz nazywać alkeny oraz rysować ich wzory na podstawie nazwy? Sprawdź się, grając w quiz. Gra składa się z trzech poziomów trudności, aby przejść do kolejnego, musisz najpierw zaliczyć poprzedni. Powodzenia!
Nomenklatura alkenów
Jaki przyrostek może wskazywać nam, że mamy do czynienia z alkenami?
- an
- en
- yn
- in
Alkeny należą do węglowodorów:
- nienasyconych
- nasyconych
- aromatycznych
Lokant, o jakim numerze będzie miał wiązanie podwójne we wzorze przedstawionym poniżej?
- 3
- 5
- 4
- 6
Jaki lokant będzie miało wiązanie podwójne w następującym wzorze: wiązanie, grupa wiązanie, grupa wiązanie podwójne, grupa wiązanie, grupa wiązanie, grupa połączona z dwiema grupami ?
- 3
- 4
- 5
- 6
Wybierz nazwę alkenu, którego wzór podano poniżej.
- okt-3-en
- okt-5-en
- hept-3-en
- hept-5-en
Wybierz nazwę alkenu o następującej strukturze: wiązanie grupa wiązanie grupa wiązanie podwójne grupa wiązanie grupa wiązanie grupa wiązanie grupa wiązanie grupa .
- okt-3-en
- pent-3-en
- pent-2-en
- okt-4-en
Ile podstawników występuje w cząsteczce alkenu, którego wzór przedstawiono poniżej?
- 3
- 5
- 4
- 2
Ile podstawników występuje w cząsteczce 5-chloro-7-jodo-3-metylokt-3-enu?
- 3
- 5
- 4
- 2
Ile atomów węgla posiada alken o nazwie dodec-1-en?
- 12
- 11
- 14
- 15
Trzy wiązania podwójne, występujące pomiędzy atomami węgla w węglowodorze, mogą generować użycie w nazwie przyrostka:
- trien
- dien
- en
Przyrostek grupy alkilowej CH3CH2CH2CH2CH2- to:
- pentyl
- butyl
- heksyl
- propyl
Wybierz poprawną nomenklaturę dla przedstawionego wzorem podstawnika:
- tert-butyl
- izopropyl
- sec-butyl
- izobutyl
Wybierz poprawną nomenklaturę dla podstawnika zbudowanego z atomu węgla połączonego z trzema grupami metylowymi.
- tert-butyl
- izopropyl
- sec-butyl
- izobutyl
Który fragment nazwy przedstawia poprawne dopasowanie lokantu do podstawnika w postaci atomu jodu?
- 2-jodo
- 7-jodo
- 3-metylo
- 6-metylo
Wybierz poprawną nazwę alkenu.
- 2-jodo-6-metylookt-3-en
- 2-jodo-6-metylookt-7-en
- 2-jodo-6-metylookt-6-en
- 2-jodo-6-metylookt-5-en
Wskaż poprawną nazwę alkenu o wzorze:
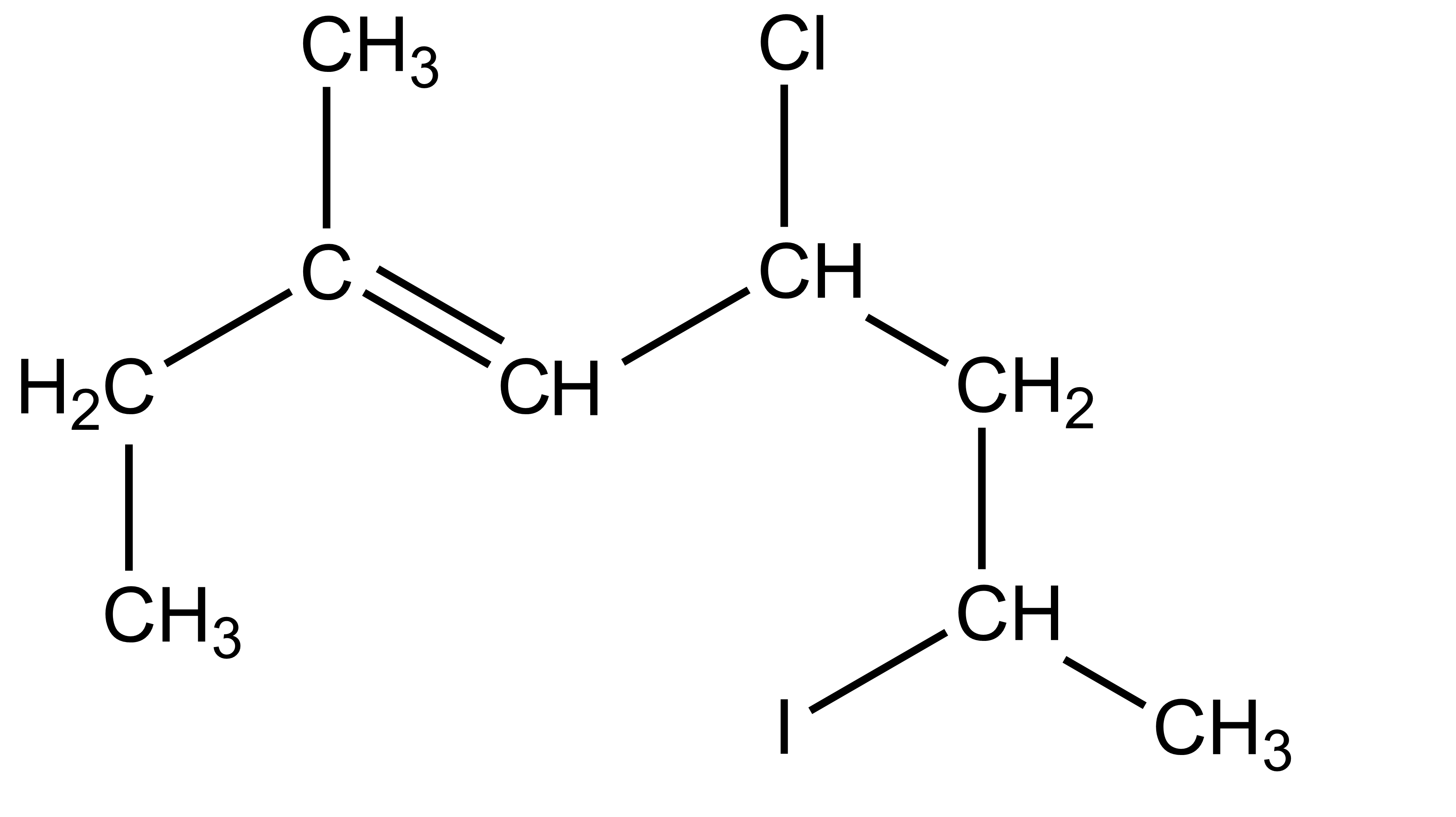
- 2,4,6-trichloro-3,5,7-trifluorookt-3-en
- 2,4,6-trifluoro-3,5,7-trichlorookt-3-en
- 2,4,6-trichloro-3,5,7-trifluorookt-5-en
- 2,4,6-trifluoro-3,5,7-trichlorookt-5-en
Ile atomów węgla posiada alken, w którym występują: jedno wiązanie podwójne, 2 atomy chloru, 3 fluoru oraz 23 wodoru?
- 14
- 13
- 15
Związek przedstawiony poniższym wzorem to:
- penta-1,4-dien
- penten
- buta-1,3-dien
- buten
Wybierz nazwę dienu składającego się z pięciu atomów węgla, w którym wiązania podwójne występują przy skrajnych atomach węgla.
- penta-1,4-dien
- penten
- buta-1,3-dien
- buten
Poniżej przedstawiono wzór związku o nazwie:
- 2,3,4-trimetylopent-2-en
- 2,3,4-trimetylopent-3-en
- 2,3,4-trietylopent-2-en
- 2,3,4-trietylopent-3-en
Ile atomów węgla znajduje się w cząsteczce 2,3,4-trimetylopent-2-enu?
- 8
- 7
- 9
Który wzór przedstawia alken o nazwie trans-heks-3-en?
- 2
- 1
- 3
- 4
Wypierz poprawną nazwę dla heks-3-enu, w którym grupy etylowe znajdują się po przeciwnych stronach płaszczyzny wiązania podwójnego.
- trans-heks-3-en
- cis-heks-3-en
- (Z)-heks-3-en
Wzór dienu o nazwie (2E,4E)-3-metyloheksa-2,4-dien to:
- 1
- 2
Ile atomów węgla występuje w (2E,4E)-3-metyloheksa-2,4-dienie?
- 7
- 6
- 8
- 5
Wybierz poprawną nazwę dla poniższego alkenu.
- 4-bromo-3-chloro-3-metylobut-1-en
- 3-chloro-4-bromo-3-metylobut-1-en
- 1-bromo-2-chloro-2-metylobut-3-en
- 2-chloro-1-bromo-2-metylobut-3-en
Wybierz poprawną nazwę alkenu.
- 4-bromo-3-chloro-3-metylobut-1-en
- 3-chloro-4-bromo-3-metylobut-1-en
- 1-bromo-2-chloro-2-metylobut-3-en
- 2-chloro-1-bromo-2-metylobut-3-en
Jaka jest nazwa związku o wzorze przedstawionym poniżej?
- (3Z)-3,4-dichloroheksa-1,3,5-trien
- (3E)-3,4-dichloroheksa-1,3,5-trien
- (3Z,5E)-3,4-dichlorohepta-1,3,5-trien
- (3E,5Z)-3,4-dichlorohepta-1,3,5-trien
Grupa tert-butylowa składa się z:
- czterech atomów węgla i dziewięciu atomów wodoru
- trzech atomów węgla i siedmiu atomów wodoru
- trzech atomów węgla i dziewięciu atomów wodoru
- czterech atomów węgla i dziesięciu atomów wodoru
Zaznacz właściwą nazwę węglowodoru, którego wzór podano poniżej:
- 2,2-dichloro-3-etylo-6-fluoro-5,6-dimetylookt-3-enu
- 7,7-dichloro-6-etylo-3-fluoro-3,4-dimetylookt-5-en
- 3,4-dimetylo-7,7-dichloro-6-etylo-3-fluoro-okt-5-en
- 2,2-dichloro-3-metylo-6-fluoro-5,6-dietylookt-3-enu
Wybierz wzór sumaryczny 2,2-dichloro-3-etylo-6-fluoro-5,6-dimetylookt-3-enu.
4‑jodo‑4-metylocyklopent-1-en znajduje się na rysunku numer:
- 1
- 2
- 3
Ile atomów wodoru jest w cząsteczce 4‑jodo‑4-metylocyklopent‑1-enu?
- 9
- 8
- 10
Nazwa systematyczna rozgałęzionego alkenu, którego wzór przedstawiono poniżej, to:
- 5-propylodec-2-en
- 5-pentylookt-2-en
- 4-pentylookt-6-en
- 4-propylodec-6-en
Wzór sumaryczny 5‑propylodec‑2-enu to: