Przeczytaj
Nomenklatura alkenów
Poniżej przedstawiono zestaw reguł (opracowany na podstawie zaleceń IUPAC), jakimi należy się kierować podczas konstruowania nazw alkenówalkenów.
1. Nazwy alkenów zależą od liczby atomów węgla w cząsteczce alkenu
W przypadku alkenów można mówić o wielu szeregach homologicznych. W tabeli zebrano wzory półstrukturalne, wzory sumaryczne oraz nazwy alkenów o nierozgałęzionych łańcuchach, w których wiązanie podwójne znajduje się pomiędzy atomami węgla i .
Wzór półstrukturalny (grupowy) | Nazwa systematyczna | Wzór sumaryczny |
|---|---|---|
eten | ||
propen | ||
but‑1‑en | ||
pent‑1‑en | ||
heks‑1‑en | ||
hept‑1‑en | ||
okt‑1‑en | ||
non‑1‑en | ||
dec‑1‑en |
Indeks dolny Tabela 1. Nazwy systematyczne przykładowych alkenów. Indeks dolny koniecTabela 1. Nazwy systematyczne przykładowych alkenów.
Aby poprawnie sformułować nazwę alkenu, należy:
Przedrostek informuje o położeniu podstawnikówpodstawników, nazwa podstawowa o liczbie atomów węgla, a przyrostek jest końcówką oznaczającą grupę związków chemicznych.
Przykłady bardziej złożonych podstawników wraz z ich nazwami, zalecanymi przez IUPAC, podano poniżej. Prześledź je dokładnie i w razie potrzeby powróć do reguł nazywania podstawników, o których wspomniano wyżej.

Ćwiczenia
Narysuj wzory strukturalne alkenów, których nazwy podano poniżej.
a) heks‑2-en
b) okt‑3-en
c) dec‑2-en
Podaj wzory grupowe alkenów, których nazwy podano poniżej.
a) heks‑2-en
b) okt‑3-en
c) dec‑2-en
Podaj nazwy alkenów, których wzory półstrukturalne podano poniżej.

Podaj wzory sumaryczne podstawników:
a) (2‑metylo)propyl-
b) tert‑butyl-
c) propan‑2-yl-
Narysuj wzory półstrukturalne alkenów, których nazwy podano poniżej.
a) 4‑etylo‑6-metylookt‑2-en
b) 4,4‑dimetyloheks‑2-en
c) 5‑bromo‑4-chloro‑3-etylo‑6-metylohept‑1-en
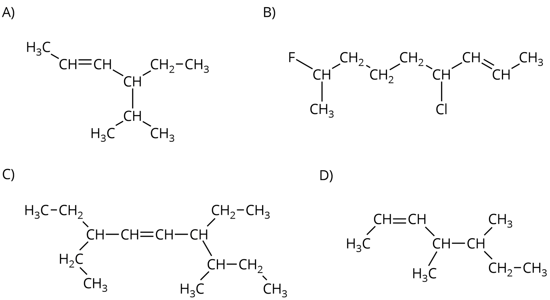
Dopasuj opisy wzorów poszczególnych alkenów do nazw.
Związek o strukturze zbudowanej z grupy <span aria-label="C H indeks dolny, trzy, koniec indeksu dolnego" role="math"><math><msub><mtext>CH</mtext><mn>3</mn></msub></math></span> związanej z grupą <span aria-label="C H" role="math"><math><mtext>CH</mtext></math></span>, która to łączy się za pomocą wiązania podwójnego z atomem węgla podstawionym grupą <span aria-label="C H indeks dolny, trzy, koniec indeksu dolnego" role="math"><math><msub><mtext>CH</mtext><mn>3</mn></msub></math></span> i związanym z grupą <span aria-label="C H" role="math"><math><mtext>CH</mtext></math></span>, która to łączy się z grupą <span aria-label="C H indeks dolny, trzy, koniec indeksu dolnego" role="math"><math><msub><mtext>CH</mtext><mn>3</mn></msub></math></span> oraz grupą <span aria-label="C H indeks dolny, dwa, koniec indeksu dolnego" role="math"><math><msub><mtext>CH</mtext><mn>2</mn></msub></math></span> <span aria-label="C H indeks dolny, trzy, koniec indeksu dolnego" role="math"><math><msub><mtext>CH</mtext><mn>3</mn></msub></math></span>., Związek o strukturze zbudowanej z grupy <span aria-label="C H indeks dolny, trzy, koniec indeksu dolnego" role="math"><math><msub><mtext>CH</mtext><mn>3</mn></msub></math></span> związanej z grupą <span aria-label="C H indeks dolny, dwa, koniec indeksu dolnego" role="math"><math><msub><mtext>CH</mtext><mn>2</mn></msub></math></span> połączoną z atomem węgla podstawionym grupą <span aria-label="C H indeks dolny, trzy, koniec indeksu dolnego" role="math"><math><msub><mtext>CH</mtext><mn>3</mn></msub></math></span> i związanym za pomocą wiązania podwójnego z kolejnym atomem węgla podstawionym grupą <span aria-label="C H indeks dolny, trzy, koniec indeksu dolnego" role="math"><math><msub><mtext>CH</mtext><mn>3</mn></msub></math></span> i związanym z grupą <span aria-label="C H indeks dolny, dwa, koniec indeksu dolnego" role="math"><math><msub><mtext>CH</mtext><mn>2</mn></msub></math></span> połączoną z grupą <span aria-label="C H indeks dolny, trzy, koniec indeksu dolnego" role="math"><math><msub><mtext>CH</mtext><mn>3</mn></msub></math></span>., Związek o strukturze zbudowanej z grupy <span aria-label="C H indeks dolny, dwa, koniec indeksu dolnego" role="math"><math><msub><mtext>CH</mtext><mn>2</mn></msub></math></span> połączonej za pomocą wiązania podwójnego z grupą <span aria-label="C H" role="math"><math><mtext>CH</mtext></math></span>, która to łączy się z grupą <span aria-label="C H indeks dolny, dwa, koniec indeksu dolnego" role="math"><math><msub><mtext>CH</mtext><mn>2</mn></msub></math></span> połączoną z atomem węgla podstawionym dwiema grupami <span aria-label="C H indeks dolny, trzy, koniec indeksu dolnego" role="math"><math><msub><mtext>CH</mtext><mn>3</mn></msub></math></span> i związanym z grupą <span aria-label="C H indeks dolny, dwa, koniec indeksu dolnego" role="math"><math><msub><mtext>CH</mtext><mn>2</mn></msub></math></span> <span aria-label="C H indeks dolny, trzy, koniec indeksu dolnego" role="math"><math><msub><mtext>CH</mtext><mn>3</mn></msub></math></span>., Związek o strukturze zbudowanej z grupy <span aria-label="C H indeks dolny, trzy, koniec indeksu dolnego" role="math"><math><msub><mtext>CH</mtext><mn>3</mn></msub></math></span> związanej z grupą <span aria-label="C H" role="math"><math><mtext>CH</mtext></math></span> połączoną za pomocą wiązania podwójnego z grupą <span aria-label="C H" role="math"><math><mtext>CH</mtext></math></span>, która to łączy się z atomem węgla C podstawionym dwiema grupami <span aria-label="C H indeks dolny, trzy, koniec indeksu dolnego" role="math"><math><msub><mtext>CH</mtext><mn>3</mn></msub></math></span> i związanym z grupą <span aria-label="C H indeks dolny, dwa, koniec indeksu dolnego" role="math"><math><msub><mtext>CH</mtext><mn>2</mn></msub></math></span> <span aria-label="C H indeks dolny, trzy, koniec indeksu dolnego" role="math"><math><msub><mtext>CH</mtext><mn>3</mn></msub></math></span>.
| 4,4-dimetyloheks-2-en | |
| 4,4-dimetyloheks-1-en | |
| 3,4-dimetyloheks-3-en | |
| 3,4-dimetyloheks-2-en |
Słownik
nienasycone związki organiczne zbudowane z atomów węgla i atomów wodoru o wzorze ogólnym ; posiadają w swojej strukturze jedno wiązanie podwójne
nazwa związku chemicznego, która jest złożona całkowicie ze specjalnie stworzonych sylab, liczbowych przedrostków i innych znaków, która jest zgodna z regułami systematycznej nomenklatury zalecanej przez IUPAC, np. 6‑etylo‑4,7‑dimetylonon‑2-yn
nazwa związku chemicznego, często używana w chemicznym żargonie lub praktyce laboratoryjnej
cyfra w nazwie systematycznej związku org., wskazująca atom węgla w cząsteczce tego związku (w łańcuchu bądź pierścieniu), z którym jest związany podstawnik lub atom węgla połączony z innym atomem węgla wiązaniem nienasyconym
np. 2‑chlorobuta‑1,3‑dien
atom lub ich grupa w miejscu atomu wodoru przy atomie węgla w związkach organicznych
Bibliografia
Dudek‑Różycki K., Płotek M., Wichur T., Węglowodory. Repetytorium i zadania, Kraków 2020.
Dudek‑Różycki K., Płotek M., Wichur T., Kompendium terminologii oraz nazewnictwa związków organicznych. Poradnik dla nauczycieli i uczniów, Kraków 2020.
Mastalerz P., Podręcznik chemii organicznej, Warszawa 1998.
McMurry J., Chemia organiczna, tom 1‑2, Warszawa 2000.
Morrison R. T., Boyd R. N., Chemia organiczna, tom 1‑2, Warszawa 1997.



