Przeczytaj
Reakcja addycji
AlkinyAlkiny reagują z wodą w wyniku reakcji addycji (przyłączania), która nosi nazwę hydratacjihydratacji. Reakcja addycji wody do alkinów przebiega w dwóch etapach i katalizowana jest jonami w środowisku kwasowym.
W pierwszym etapie następuje addycja wody zgodnie z regułą Markownikowa regułą Markownikowa. Grupa przyłącza się do bardziej podstawionego atomu węgla (związanego z mniejszą liczbą atomów wodoru), natomiast atom wodoru – do mniej podstawionego atomu węgla (związanego z większą ilością atomów wodoru). Powstaje wówczas nienasycony związek z grupy enolienoli.

Enole należą do związków bardzo nietrwałych, dlatego w drugim etapie dochodzi do spontanicznego przegrupowania wiązań, czyli tautomeryzacjitautomeryzacji (2). Wiązanie podwójne pęka i jednocześnie następuje tworzenie wiązania podwójnego pomiędzy atomem węgla a atomem tlenu. W tym czasie atom wodoru grupy hydroksylowej wędruje do sąsiedniego atomu węgla, tworząc wiązanie pojedyncze. W wyniku takiego przegrupowania powstaje ketonketon, lub aldehydaldehyd w przypadku addycji wody do acetylenu. Dlatego ten rodzaj tautomeryzacji nazywa się tautomerią keto‑enolową.

Formy enolowe i ketonowe nazywamy tautomerami. Są to izomery, które szybko przechodzą w siebie nawzajem.

Przykłady addycji wody do alkinów
Spójrz zatem na przykłady:
w przypadku addycji wody do alkinów terminalnychalkinów terminalnych, czyli takich, w których cząsteczkach wiązanie potrójne znajduje się przy pierwszym atomie węgla, powstają ketony metylowe.
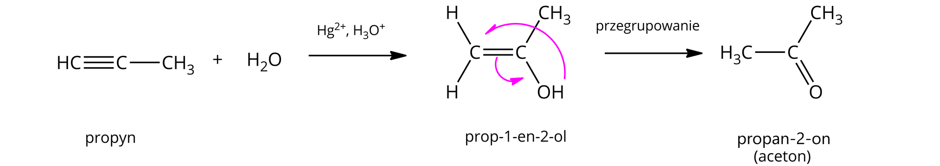
W wyniku addycji wody do propynu, po przegrupowaniu, powstaje aceton.

Addycja wody do acetylenu to reakcja KuczerowaKuczerowa, prowadząca do aldehydu octowego. Została nazwana na cześć jej odkrywcy, rosyjskiego chemika Michaiła Kuczerowa w 1881 roku.

W wyniku addycji wody do but‑1-ynu, po przegrupowaniu, powstaje butan‑2-on.

W wyniku addycji wody do but‑2-ynu, po przegrupowaniu, powstaje butan‑2-on.

Addycja wody do niesymetrycznych wewnętrznych alkinów
W przypadku addycji wody do niesymetrycznych wewnętrznych (nieterminalnychnieterminalnych) alkinów, powstaje mieszanina dwóch ketonów. Natomiast w przypadku symetrycznych wewnętrznych alkinów – tworzy się jeden produkt.
W wyniku addycji wody do pent‑2-ynu powstaje mieszanina pentan‑2-onu i pentan‑3-onu.

W wyniku addycji wody do heks‑2-ynu powstaje mieszanina heksan‑2-onu i heksan‑3-onu.

W wyniku addycji wody do heks‑3-ynu powstaje heksan‑3-on.

Addycja wody do alkinu jest przykładem addycji elektrofilowej, w której to nie kation wodoru jest elektrofilem, lecz kation rtęci(II). Powstaje wówczas kation winylowy, który reaguje z wodą i traci jon wodorowy, dając, jako produkt pośredni, związek rtęcioorganiczny. Kwasowe środowisko powoduje, że atom rtęci zostaje zastąpiony atomem wodoru. Wówczas katalizator zostaje odtworzony.

Słownik
alifatyczne węglowodory nienasycone o wzorze ogólnym , których cząsteczki zawierają jedno wiązanie potrójne między atomami węgla
reakcja przyłączania wody do różnych związków chemicznych
reakcja chemiczna odkryta w 1881 roku przez rosyjskiego chemika Michaiła Kuczerowa; polega na addycji wody do acetylenu, prowadzącej do aldehydu octowego; zachodzi przy obecności katalizatora (soli rtęci(II) w środowisku kwasowym); w pierwszym etapie powstaje enol, który ulega szybkiej tautomeryzacji ketonowo‑enolowej do formy aldehydowej
związki organiczne, w których grupa hydroksylowa () występuje przy atomie węgla połączonym wiązaniem podwójnym z sąsiednim atomem węgla
zasada określająca kierunek reakcji addycji do podwójnego wiązania węgiel−węgiel (); nazwa tej reguły pochodzi od jej twórcy, rosyjskiego chemika Władimira Markownikowa, który sformułował ją w roku 1869; zasada ta głosi, że atomy lub grupy o mniejszej elektroujemności (np. atom wodoru) przyłączają się do tego z dwóch atomów węgla, który złączony jest z większą ilością atomów wodoru (jest niżej rzędowy)
rodzaj przemiany izomerycznej, w której dany związek chemiczny występuje w dwóch formach (zwanych tautomerami) zawierających tę samą liczbę tych samych atomów w cząsteczce, ale inaczej ze sobą połączonych
związki organiczne o cząsteczkach zawierających grupę aldehydową, o wzorze ogólnym ( — grupa węglowodorowa alifatyczna lub aromatyczna, lub atom wodoru);
związki organiczne o cząsteczkach, w których grupa karbonylowa jest połączona z 2 atomami węgla, tzn. z jednakowymi lub różnymi grupami organicznymi (alifatycznymi lub aromatycznymi)
alkiny o wzorze ogólnym ()
alkiny o wzorze ogólnym ()
Bibliografia
Encyklopedia PWN
McMurry J., Chemia organiczna, Warszawa 2000.
McMurry J., Chemia organiczna, Warszawa 2016.