Przeczytaj
Jak powstaje biuret?
W wyniku ogrzewania mocznika do temperatury – powstaje związek określany biuretembiuretem. Jest to dimocznik, o nazwie systematycznej karbamoilomocznik. Występuje w postaci długich, bezbarwnych igieł. Związek ten tworzy sie w wyniku kondensacjikondensacji dwóch cząsteczek mocznikamocznika.

Reakcję tę można zapisać w następujący sposób:

Reakcja kondensacji
Kondensacja to typ reakcji chemicznej, w wyniku której substraty łączą się, tworząc większą cząsteczkę produktu głównego oraz mniejszą cząsteczkę produktu ubocznego.

Produkt główny, czyli biuret, charakteryzuje się występowaniem wiązania amidowego, które można zaznaczyć w następujący sposób:

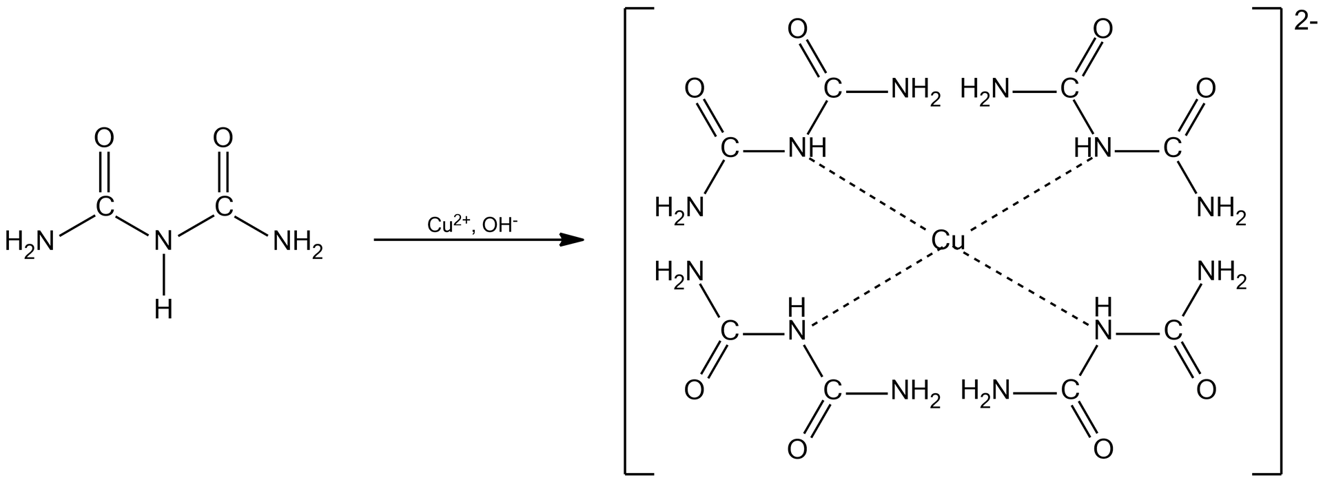
Czym jest reakcja biuretowa?

Związki, które zawierają wiązanie amidowe (), ulegają reakcji biuretowejreakcji biuretowej. Reakcja ta polega na dodaniu do tych związków jonów w środowisku zasadowym. Tworzy się wówczas roztwór o charakterystycznej, intensywnej, różowofioletowej barwie. Jest to spowodowane powstawaniem anionowych związków kompleksowych, które zawierają co najmniej dwa wiązania amidowe obok siebie (lub oddzielone jednym atomem węgla), a jon jest kompleksowanykompleksowany przez cztery atomy azotu grup peptydowych. Często mówi się również o fiołkowym zabarwieniu powstającego związku kompleksowego.

Przykładową reakcją wykrywania wiązań amidowych (peptydowych) jest reakcja biuretu z jonami , którą można zapisać schematycznie w następujący sposób:

Powstający jon jest dwuujemny, ponieważ w trakcie kompleksowania doszło do deprotonacji (usunięcia jonów ) atomów azotu grup amidowych, które uzyskały ładunek ujemny, co w sumie dało ładunek . Następnie tworzy się wiązanie koordynacyjne między atomami azotu a jonem . Wobec tego cały jon uzyskał ładunek .
Reakcja biuretowa (test biuretowy) została opisana po raz pierwszy w roku przez Ferdinanda Rosego. W roku opisał ją niezależnie polski fizjolog Gustaw Piotrowski i od jego nazwiska pochodzi alternatywna nazwa testu – reakcja Piotrowskiego.
Słownik
pochodne kwasów organicznych, w których cząsteczkach grupa hydroksylowa została zastąpiona (podstawiona) grupą aminową
związek organiczny o wzorze ; diamid kwasu węglowego
dimocznik, karbamoilomocznik; produkt ogrzewania mocznika ulegającego reakcji kondensacji; posiada wiązanie amidowe
nieorganiczny związek chemiczny azotu i wodoru; jest bezbarwnym gazem o ostrym zapachu; rozpuszczony w wodzie tworzy zasadę amonową i wykazuje odczyn zasadowy
jest to reakcja dwóch cząsteczek, w wyniku której powstaje główny produkt oraz odszczepiony zostaje produkt uboczny
charakterystyczna reakcja chemiczna pozwalająca na wykrywanie co najmniej dwóch wiązań amidowych znajdujących się obok siebie (albo oddzielonych jednym atomem węgla) w rozmaitych związkach organicznych, głównie w białkach i peptydach; polega na dodaniu jonów w środowisku zasadowym do badanego roztworu
reakcja tworzenia związków kompleksowych (koordynacyjnych)
Bibliografia
Danikiewicz W., Część III. Chemia organiczna, Warszawa 2009.
Kaznowski K., Chemia.Vademecum maturalne, Warszawa 2016.
McMurry J., Chemia organiczna, Warszawa 2000.
McMurry J., Chemia organiczna, Warszawa 2016.
Morrison R. T., Boyd R. N., Chemia organiczna, Warszawa 1985.