Przeczytaj
Laktony
LaktonyLaktony to cykliczne (pierścieniowe) estry hydroksykwasów, które stanowią klasę związków organicznych, występujących zarówno w naturze, jak i w formie syntetycznej. Naturalne wytwarzają je rośliny, chroniąc się przed szkodnikami lub też je wabiąc. Szereg ciekawych właściwości tej klasy związków wpływa na ich zastosowanie w różnych gałęziach przemysłu. Do tych najbardziej cenionych należy aktywność cytotoksyczna, dzięki której wykazują działanie przeciwnowotworowe, przeciwwirusowe, przeciwzapalne, przeciwbakteryjne, przeciwpasożytnicze, a nawet przeciwmalaryczne. Specyfika zapachów i smaków wpływa z kolei na wykorzystanie ich w przemyśle spożywczym, kosmetycznym oraz farmaceutycznym. Powszechnie stosuje się je do produkcji perfum, kosmetyków czy produktów spożywczych.
Otrzymywanie laktonów
Laktony można pozyskiwać ze źródeł, w których występują one naturalnie – m.in. poprzez wyizolowanie z warzyw, owoców czy też produktów pochodzenia odzwierzęcego. W biotechnologii do syntezy bądź modyfikacji laktonów wykorzystuje się bakterie i grzyby.
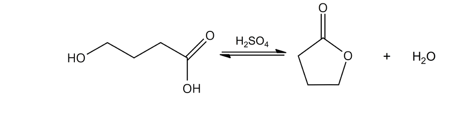
Innym sposobem, bardziej ekonomicznym, jest ich synteza chemiczna.
Laktony powstają na skutek wewnątrzcząsteczkowej estryfikacji hydroksykwasów. W cząsteczce laktonu grupa estrowa (w tym przypadku nazywana laktonową) zlokalizowana jest w ugrupowaniu cyklicznym.

Rodzaj laktonu jest uzależniony od wzajemnego położenia grupy hydroksylowej i karboksylowej w hydroksykwasie. Wyróżnia się cztery rodzaje laktonów: , , , , które różnią się wielkością pierścienia cyklicznego.

Nie wszystkie laktony są trwałe. Do takich należą na pewno - i -laktony. Wszystkie pozostałe, które posiadają mniej niż pięć i więcej niż sześć atomów w pierścieniu cyklicznym, są nietrwałe. W przypadku laktonów alfa i beta, wynika to z silnych naprężeń wiązań, tworzonych przez atomy pierścienia cyklicznego. Najmniej trwałymi laktonami są -laktony. Mniejsze naprężenia wiązań obserwowane są w przypadku
-laktonów. Jednak niektóre z nich występują naturalnie w przyrodzie i znane są ich sposoby izolowania i syntezy laboratoryjnej. Jeśli chodzi o laktony zawierające więcej niż sześć atomów w cyklicznym pierścieniu, są one nietrwałe, co ma związek z niekorzystnymi oddziaływaniami tak dużych układów cyklicznych. Pomimo tego i takie związki są znane i znajdują zastosowania w różnych dziedzinach. Przykładem jest -pentadekalakton stosowany w przemyśle kosmetycznym.

Właściwości i zastosowanie laktonów
Specyficzna budowa poszczególnych laktonów, którą definiują: liczba atomów w pierścieniu cyklicznym, rodzaje podstawników, typy wiązań oraz konfiguracje centrów stereogenicznych, sprawia, że każdy z nich charakteryzuje się innymi właściwościami. Związki te mogą odpowiadać za zapach i smak warzyw, owoców, grzybów, mięs, a nawet kawy. Przykładowo, na zapach produktów mlecznych mają wpływ -laktony, natomiast za smak i zapach owoców odpowiadają -laktony.
Laktony w wyniku polimeryzacjipolimeryzacji tworzą poliestry o ciekawych właściwościach i zróżnicowanych zastosowaniach.


Kumaryna to przykład laktonu, który jest aktywny biologicznie. Jego najważniejszymi cechami są właściwości antyalergiczne, przeciwnowotworowe, przeciwzapalne, przeciwwirusowe oraz przeciwzakrzepowe. Wykorzystuje się je w leczeniu chorób wrzodowych i choroby Alzheimera.
Słownik
związek organiczny, cykliczny ester hydroksykwasu, powstały w wyniku połączenia grupy hydroksylowej i grupy karboksylowej w cząsteczce
reakcja chemiczna, na drodze której powstają estry; estry tworzone są z kwasów karboksylowych i alkoholi lub z bezwodników bądź chlorków kwasowych, czy – jak w przypadku cyklicznych estrów – z hydroksykwasów
reakcja łączenia się małych cząsteczek zawierających wiązania podwójne‑monomerów w duże związki‑polimery (łańcuchowe lub sieciowe), które posiadają wielokrotnie większe masy cząsteczkowe; do jej przeprowadzenia stosuje się katalizatory i czasem także wysokie ciśnienie
cecha substancji chemicznych, która powoduje uwrażliwienie komórek na promieniowanie świetlne
najmniejszy powtarzający się w polimerze fragment łańcucha
związek wielkocząsteczkowy, w postaci łańcucha lub sieci powtarzających się merów, w liczbie od do i więcej
Bibliografia
Dudek‑Różycki K., Płotek M., Wichur T., Związki organiczne zawierające azot oraz wielofunkcyjne pochodne węglowodorów. Repetytorium i zadania, Kraków 2021.
Dudek‑Różycki K., Płotek M., Wichur T., Węglowodory. Repetytorium i zadania, Kraków 2020.
Dudek‑Różycki K., Płotek M., Wichur T., Kompendium terminologii oraz nazewnictwa związków organicznych. Poradnik dla nauczycieli i uczniów, Kraków 2020.
Encyklopedia PWN
Farah A., de Paulis T., Trugo L. C., Martin P. R., Effect of Roasting on the Formation of Chlorogenic Acid Lactones in Coffee, „J. Agric. Food Chem.” 2005, t. 53, nr 5, s. 1505‑1513, online: https://pubs.acs.org/doi/pdf/10.1021/jf048701t, dostęp: 21.04.2021.
Gawdzik B., Kamizela A., Szyszkowska A., Laktony o właściwościach sensorycznych, „Chemik” 2015, t. 69, nr 6, s.342–349.
Libiszewska K., Laktony jako związki biologicznie czynne, „Biotechnol Food Sci” 2011, t. 75, nr 2, s. 45‑53, online: http://repozytorium.p.lodz.pl/bitstream/handle/11652/267/Laktony_jako_zwiazki_Libiszewska_2011.pdf?sequence=1&isAllowed=y, dostęp: 21.04.2021).
Tisserand R., Young R., Essential Oil Safety, Second Edition, Londyn 2014, online: https://www.sciencedirect.com/science/article/pii/B9780443062414000023, dostęp: 21.04.2021.