Przeczytaj
Cykloalkany są przedstawicielami związków organicznych – węglowodorów. Zbudowane są wyłącznie z atomów węgla (połączonych w pierścień) oraz atomów wodoru. Wzór ogólny cykloalkanów to . Mogą również zawierać łańcuchy boczne. Z uwagi na to, że są to węglowodory nasycone, w strukturze pierścienia posiadają wiązania pojedyncze, czyli są nasyconymi węglowodorami monocyklicznymi. Pamiętaj, że wiązanie pojedyncze jest wiązaniem typu sigma ().
Jak tworzy się nazwy cykloalkanów?
Aby właściwie zrozumieć temat nazewnictwa węglowodorów cyklicznychcyklicznych, przypomnij sobie ogólne zasady nazewnictwa związków organicznych. Zwróć szczególną uwagę na zasady nomenklatury alkanów. Jeżeli uważasz, że to zagadnienie jest Ci znane, pomiń tę sekcję.
Ogólne zasady nazewnictwa związków organicznych
Nazwa każdego alkanu zawiera końcówkę „-an”.
Szereg homologiczny alkanów to kolejno występujące alkany, posiadające podobną budowę oraz właściwości, a każdy kolejny alkan w tym szeregu ma o jeden atom węgla więcej w cząsteczce (różni się od poprzedniego o grupę ).
Aby móc właściwie nazywać związki chemiczne, należy poznać zbiór zasad niezbędnych do prawidłowego ich nazewnictwa. W chemii organicznej jest to bardzo ważne, ponieważ każdy fragment nazwy związku dostarcza szereg ważnych informacji na temat budowy danego związku.
Poniżej przedstawione zostały zasady nazewnictwa węglowodorów. Zapoznaj się z nimi, aby móc poprawnie nazywać cykloalkanycykloalkany.
Poniżej przedstawiono nazwy pierwszych alkanów (-alkanów o łańcuchach nierozgałęzionych) i liczbę atomów węgla, jakie posiadają. Ułóż z nich szereg, składający się z liczby atomów węgla i nazwy.
Podpowiedź: Pamiętaj, że pierwszych czterech przedstawicieli posiada nazwy zwyczajowe, a pozostałe nazwy systematyczne pochodzą od greckich lub łacińskich liczebników.
Przeciągnij brakujące nazwy alkanów w odpowiednie miejsce w tabeli.
, , , , , , , butan, heptan, , , , , , , , oktan, undekan, ikozan
| Wzór sumaryczny | Nazwa nierozgałęzionego alkanu | Wzór sumaryczny | Nazwa nierozgałęzionego alkanu |
|---|---|---|---|
| oktan | |||
| butan | undekan | ||
| heptan | ikozan |
-metylo;
-etylo;
-propylo;
-butylo. , 5. W przypadku wystąpienia więcej niż jednego takiego samego podstawnika, stosujemy przedrostek, oznaczający wielokrotność atomów węgla (mnożnik).
bromo-,
chloro-,
fluoro-,
jodo-.
Aby nazwać węglowodory łańcuchowe (w tym rozgałęzione), należy wykonać następujące operacje:
Przedrostek informuje o rodzaju, położeniu i ilości podstawników, nazwa podstawowa – o liczbie atomów węgla, a przyrostek jest końcówką oznaczającą grupę związków chemicznych.
Nomenklatura podstawników rozgałęzionych warunkuje różną kolejność alfabetyczną.
Grupa propan--ylowa
Ilustracja przedstawiająca dwa wzory półstrukturalny i kreskowy podstawnika propan--ylowego o strukturze grupa związana z dwiema grupami metylowymi , od wspomnianej grupy odchodzi wolne wiązanie, które przecina pod kątem prostym krótka falista linia stanowiąca o tym, że znajduje się tam jakiś fragment związku.
Grupa -metylopropylowa
Ilustracja przedstawiająca dwa wzory półstrukturalny i kreskowy grupy (-metylo)propylowej o strukturze grupa , od której odchodzi wiązanie przecinane pod kątem prostym przez falistą linię oraz która związana jest z grupą , która to łączy się z dwiema grupami metylowymi .
Grupa butan--ylowa
Ilustracja przedstawiająca dwa wzory półstrukturalny i kreskowy grupy butan--ylowej o strukturze grupa , od której odchodzi wiązanie przecięte pod kątem prostym falistą linią i która łączy się z grupą metylową oraz grupą etylową .
Grupa tert-butylowa
Ilustracja przedstawiająca dwa wzory półstrukturalny i kreskowy podstawnika tert-butylowego strukturze atom węgla, od którego odchodzi wiązanie przecinane pod kątem prostym przez falistą linię oraz który związany jest z trzema grupami metylowymi .
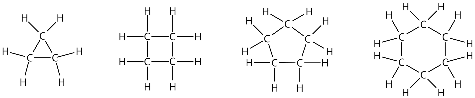
Poniżej przedstawiono wzory strukturalne najprostszych cykloalkanów. Jakie fragmenty słów mogą zawierać w nazwie podane cykloalkany?

Porównaj je z następującymi alkanami:

Jaki przedrostek dodasz, aby zaznaczyć budowę pierścieniową cykloalkanów?
Nazwy cykloalkanów tworzy się, dodając do nazwy alkanu, o tej samej liczbie atomów węgla, przedrostek „cyklo-”.
Cykloalkany z łańcuchami bocznymi
Nazwy tych cykloalkanów tworzymy w oparciu o reguły nazewnictwa dla alkanów o łańcuchach rozgałęzionych. Głównym łańcuchem, w tym przypadku, będzie zawsze „łańcuch z pierścieniem”.
Numerację atomów węgla pierścienia rozpoczyna się od atomu związanego z jednym z podstawników i kontynuuje w takim kierunku, aby lokantylokanty pozostałych podstawników były jak najmniejsze.

Podstawniki cykliczne
Nazwy tych podstawnikówpodstawników tworzymy podobnie jak w przypadku podstawników węglowodorów acyklicznychacyklicznych, zamieniając w tym przypadku przyrostek „an” na „yl” („il”).
Kolejność poszczególnych członów w nazwie podstawnika cyklicznego jest zgodna z ogólnymi zasadami nazywania, przypomnianymi powyżej.

W przypadku nazw systematycznych węglowodorów cyklicznych, należy pamiętać, że pierścień, niezależenie od swojej długości, ma zawsze pierwszeństwo przed łańcuchem niecyklicznym, np.:

Ćwiczenia
Napisz nazwy systematyczne cykloalkanów, których wzory szkieletowe podano poniżej.

- Zwróć uwagę na kolejność 1. mnożników, 2. alfabetyczną, 3. różnica lokantów, 4. suma lokantów, 5. najniższą, 6. numerację, 7. najwyższą podstawników oraz 1. mnożników, 2. alfabetyczną, 3. różnica lokantów, 4. suma lokantów, 5. najniższą, 6. numerację, 7. najwyższą z najniższymi lokantami.
- Zwróć uwagę na kolejność alfabetyczną podstawników, a nie ich 1. mnożników, 2. alfabetyczną, 3. różnica lokantów, 4. suma lokantów, 5. najniższą, 6. numerację, 7. najwyższą, a także na to, aby pierwszy podstawnik miał jak 1. mnożników, 2. alfabetyczną, 3. różnica lokantów, 4. suma lokantów, 5. najniższą, 6. numerację, 7. najwyższą wartość.
- Zwróć uwagę na kolejność alfabetyczną podstawników, a nie ich mnożników, oraz na to, aby 1. mnożników, 2. alfabetyczną, 3. różnica lokantów, 4. suma lokantów, 5. najniższą, 6. numerację, 7. najwyższą miała jak najniższą wartość.
Dorysuj brakujące podstawniki tak, aby otrzymać wzór chemiczny:
a) -etylo--jodo--metylocykloheksanu;
b) -bromo--chloro-,-difluoro--metylocykloheksanu;
c) -bromo--chloro-,-difluoro--metylocykloheksanu.
Słownik
związki, w których występują atomy związane ze sobą tak, że tworzą jeden lub więcej zamkniętych pierścieni
węglowodory cykliczne (pierścieniowe) mające między atomami węgla wszystkie wiązania pojedyncze (węglowodory nasycone)
nazwa związku chemicznego, która jest złożona całkowicie ze specjalnie stworzonych sylab, liczbowych przedrostków i innych znaków, która jest zgodna z regułami systematycznej nomenklatury zalecanej przez IUPAC, np. -etylo-,-dimetylononan
nazwa związku chemicznego, często używana w chemicznym żargonie lub praktyce laboratoryjnej
cyfra w nazwie systematycznej związku org., wskazująca atom węgla w cząsteczce tego związku (w łańcuchu bądź pierścieniu), z którym jest związany podstawnik lub atom węgla, połączony z innym atomem węgla wiązaniem nienasyconym
np. -chlorobuta-,-dien ()
(węglowodory łańcuchowe, węglowodory alifatyczne) węglowodory o cząsteczkach, w których atomy węgla tworzą otwarte łańcuchy (proste lub rozgałęzione)
atom lub ich grupa w miejscu atomu wodoru przy atomie węgla w związkach organicznych
Bibliografia
Atkins P., Jones L. Chemia ogólna. Cząsteczki, materia, reakcje, Warszawa 2004, s. 524‑525.
Dudek‑Różycki K., Płotek M., Wichur T., Węglowodory. Repetytorium i zadania, Kraków 2020.
Dudek‑Różycki K., Płotek M., Wichur T., Kompendium terminologii oraz nazewnictwa związków organicznych. Poradnik dla nauczycieli i uczniów, Kraków 2020.
Mastalerz P., Podręcznik chemii organicznej, Warszawa 1998.
McMurry J., Chemia organiczna, t. 1‑2, Warszawa 2000.
Morrison R. T., Boyd R. N., Chemia organiczna, t. 1‑2, Warszawa 1997.




