Przeczytaj
Estry pochodzące od kwasów organicznychEstry pochodzące od kwasów organicznych to związki chemiczne, których cząsteczki zbudowane są z połączonych ze sobą atomów węgla, wodoru i tlenu. Powstają w wyniku kondensacji kwasów (organicznych lub nieorganicznychnieorganicznych) i alkoholialkoholi lub fenolifenoli.
Estry pochodzące od kwasów organicznych posiadają następujący wzór ogólny:
W zależności od budowy alkoholu, estry mogą mieć jedną lub więcej grup estrowych. Jest to ściśle związane z ilością grup hydroksylowych obecnych w alkoholu, z którego pochodzi dany ester. Alkohole monohydroksylowe posiadają jedną grupę , natomiast alkohole polihydroksylowe mają ich więcej niż jedną (etano‑1,2‑diol - dwie, propano‑1,2,3‑triol – trzy). W związku z tym estry, które pochodzą od alkoholi polihydroksylowych posiadają więcej grup estrowych niż jedna.
Cechą charakterystyczną tych związków jest ich zapach, najczęściej owocowy lub kwiatowy.
Wiązanie estroweWiązanie estrowe powstaje między wodorem grupy hydroksylowej alkoholu () a grupą Indeks górny -- pochodzącą od kwasu.
Estry powstają w reakcji kwasów karboksylowych z alkoholami:

lub reakcji kwasów nieorganicznych z alkoholami:

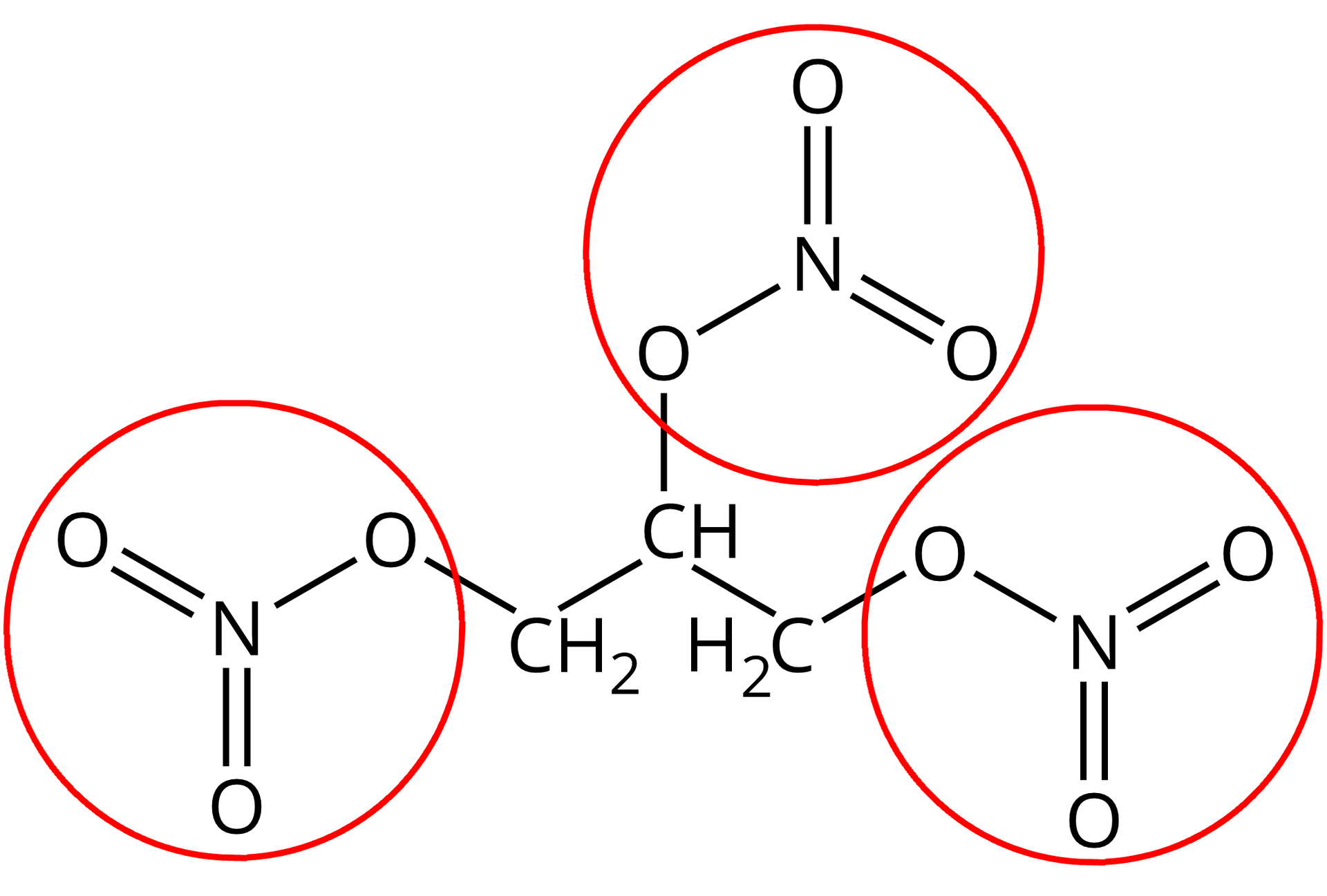
Estry, które pochodzą od kwasów nieorganicznych, występują w organizmach żywych. Są to estry kwasu fosforowego(V) w nukleotydach, kwasach nukleinowych DNA i RNA.

Innym estrem pochodzącym od kwasu nieorganicznego – azotowego(V) – jest nitrogliceryna.

Słownik
związek organiczny powstający w wyniku działania kwasów na alkohole lub fenole
atom lub grupa atomów, która powoduje pojawienie się charakterystycznych cech w danym związku chemicznym
grupa funkcyjna występująca w estrach
wiązanie powstałe między grupą pochodzącą od alkoholu a grupą pochodzącą od kwasu karboksylowego
(arab. al‑kuhl „delikatny proszek”) związki organiczne, pochodne węglowodorów, których cząsteczki zawierają grupę hydroksylową (wodorotlenową) zamiast atomu wodoru związanego w związku macierzystym z atomem węgla grupy alkilowej lub cykloalkilowej
związki organiczne, mono-, di- i polihydroksylowe; pochodne benzenu oraz alkilobenzenów, których cząsteczki zawierają grupy hydroksylowe () związane z atomem węgla pierścienia benzenowego
, związek organiczny, podstawowy węglowodór aromatyczny
związki chemiczne odznaczające się charakterystycznymi właściwościami, m.in. kwaśnym smakiem, zdolnością wywoływania reakcji barwnych ze wskaźnikami (np. barwią lakmus na czerwono), roztwarzaniem wielu substancji, jak np. kwas fosforowy(V)
związki organiczne, których cząsteczki zawierają grupę karboksylową ()
polega na substytucji grupy pochodzącej z kwasu karboksylowego, grupą pochodzącą np. z alkoholu
Bibliografia
Mastalerz P., Podręcznik chemii organicznej, Warszawa 1998.
McMurry J., Chemia organiczna, t. 1‑2, Warszawa 2000.
Morrison R. T., Boyd R. N., Chemia organiczna, t. 1‑2, Warszawa 1997.





