Sprawdź się
W oparciu o zamieszczone wartości stałych dysocjacji oceń prawdziwość zdań dotyczących zasadowości amin według teorii Brønsteda, zaznaczając „Prawda”, jeśli zdanie jest prawdziwe lub „Fałsz”, jeśli jest fałszywe.
Wzór kwasu/zasady | Stała dysocjacji |
| Zdanie | Prawda | Fałsz |
| Słabszą zasadą od wody jest amoniak, a silniejszą zasadą od metyloaminy jest anilina. | □ | □ |
| Aminy są silniejszymi zasadami od wody. | □ | □ |
| Alkiloaminy są silniejszymi zasadami niż amoniak. | □ | □ |
| Aminy aromatyczne są słabszymi zasadami niż aminy alifatyczne lub amoniak. | □ | □ |
Pirydyna należy do związków heterocyklicznych. Znając jej sumaryczny wzór , zaproponuj wzór strukturalny, a następnie odpowiedz na pytanie, czy pirydyna należy do związków aromatycznych? Odpowiedź uzasadnij.
W trzech probówkach znajdują się roztwory wodne następujących substancji: metanoaminy, etanolu i fenolu. Czy za pomocą uniwersalnego papierka wskaźnikowego można zidentyfikować te substancje? Odpowiedź uzasadnij, pisząc odpowiednie równania reakcji.
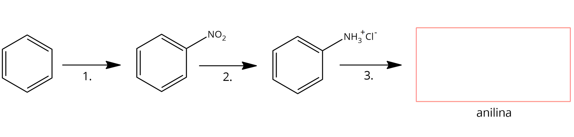
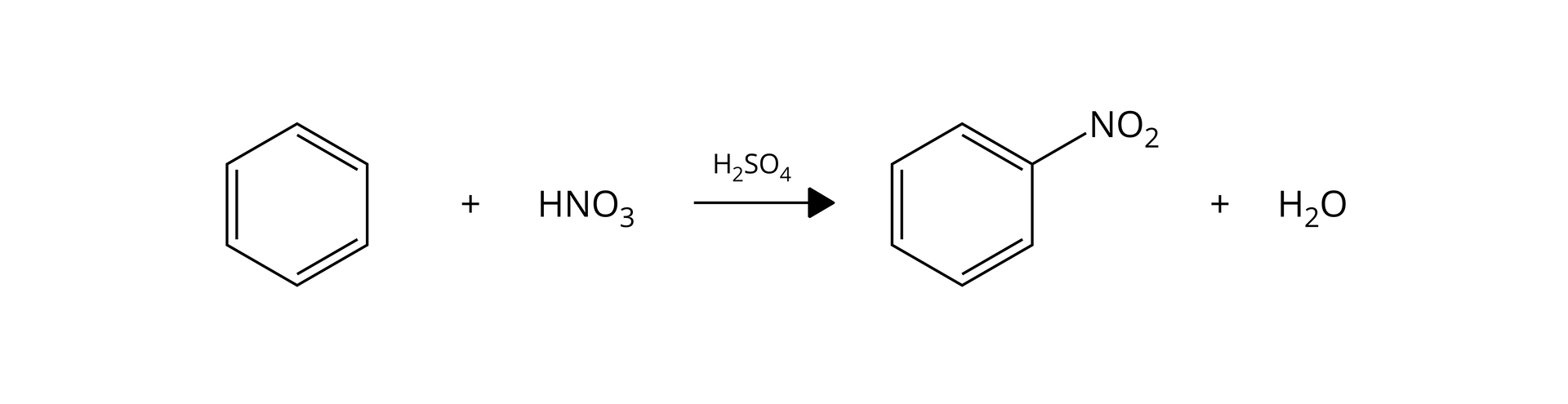
Najprostszą aminą aromatyczną jest anilina, czyli aminobenzen. Zapisz wzór półstukturalny tego związku, a następnie równania reakcji jej otrzymywania z benzenu, które przedstawiono na poniższym schemacie.

Najprostszą aminą aromatyczną jest anilina, czyli aminobenzen. Opisz krótko wzór półstukturalny tego związku, a następnie zaznacz, jakich reagentów użyjesz do przeprowadzenia reakcji przedstawionych na poniższym schemacie.
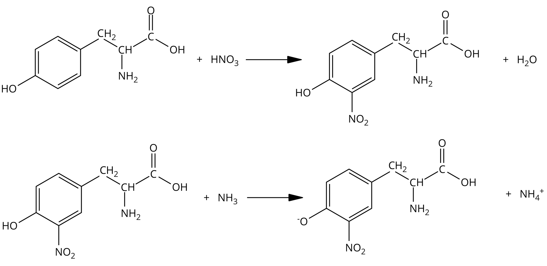
Tyrozyna to aminokwas, który w swojej budowie zawiera pierścień aromatyczny. Ulega więc reakcji nitrowania, która jest charakterystyczna dla związków aromatycznych.
Na podstawie schematu doświadczenia oraz tego, że:
A. grupa
B. jonizacja dotyczy jedynie grupy hydroksylowej dołączonej bezpośrednio do pierścienia aromatycznego.
Zapisz wnioski i równania reakcji zachodzących w obu probówkach. Eksperyment został przeprowadzony z udziałem tyrozyny, której wzór półstrukturalny również przedstawiono poniżej.

Celem zbadania właściwości fenyloaminy (aniliny) przeprowadzono następujące reakcje chemiczne:
A. Do probówki z fenyloaminą wprowadzono kwas solny.
B. Do uzyskanego roztworu w doświadczeniu A dodano roztwór wodny wodorotlenku sodu.
C. Do probówki z fenyloaminą dodano kilka kropli wody bromowej.
Opisz obserwacje do powyższych reakcji chemicznych. Napisz równania reakcji, jakie zaszły w probówkach i nazwij utworzone związki organiczne. Podaj wniosek dotyczący właściwości fenyloaminy.
Anilina powstaje w wyniku redukcji nitrobenzenu, którą prowadzi się wodorem atomowym. Atomowy wodór otrzymuje się w reakcji cynku lub żelaza z kwasem solnym. Zaproponuj pełny zapis reakcji redukcji nitrobenzenu, przeprowadzanej za pomocą cynku i kwasu solnego, prowadzący do otrzymania aniliny.
Jednym ze sposobów otrzymywania aniliny jest reakcja benzamidu z wodą bromową w obecności wodorotlenku potasu. Napisz równanie reakcji otrzymywania aniliny tym sposobem.









