Sprawdź się
Wyróżnia się trzy rodzaje ligandów:
- ligand jednomiejscowy - ligand dostarczający 1. jeden, 2. z tym samym, 3. parę elektronową, 4. z innym, 5. więcej niż jeden, 6. koordynacyjnego, 7. więcej niż jeden, 8. wodorowego, 9. atomem donorowym, 10. atomem akceptorowym, 11. koordynacyjnych atom donorowy do tworzenia wiązania
- ligand wielomiejscowy - ligand dostarczający 1. jeden, 2. z tym samym, 3. parę elektronową, 4. z innym, 5. więcej niż jeden, 6. koordynacyjnego, 7. więcej niż jeden, 8. wodorowego, 9. atomem donorowym, 10. atomem akceptorowym, 11. koordynacyjnych atom donorowy do tworzenia wiązań 1. jeden, 2. z tym samym, 3. parę elektronową, 4. z innym, 5. więcej niż jeden, 6. koordynacyjnego, 7. więcej niż jeden, 8. wodorowego, 9. atomem donorowym, 10. atomem akceptorowym, 11. koordynacyjnych
- ligand chelatowy - ligand dostarczający 1. jeden, 2. z tym samym, 3. parę elektronową, 4. z innym, 5. więcej niż jeden, 6. koordynacyjnego, 7. więcej niż jeden, 8. wodorowego, 9. atomem donorowym, 10. atomem akceptorowym, 11. koordynacyjnych atom donorowy do tworzenia wiązań koordynacyjnych 1. jeden, 2. z tym samym, 3. parę elektronową, 4. z innym, 5. więcej niż jeden, 6. koordynacyjnego, 7. więcej niż jeden, 8. wodorowego, 9. atomem donorowym, 10. atomem akceptorowym, 11. koordynacyjnych jonem centralnym
Kompleksy żelaza z cyjankiem są bardzo trwałe i znajdują wiele zastosowań praktycznych. W tych kompleksach żelazo może przyjmować lub stopień utlenienia i liczbę koordynacyjną . Jeden z nich znalazł zastosowanie jako substancja przeciwzbrylająca, wykorzystywana m.in. w spożywczej soli kuchennej jako dodatek E‑536. Ustal wzór sumaryczny E‑536, wiedząc, że w jej skład wchodzi anion kompleksowy, którego ładunek jest kompensowany przez trzy jony potasu.
Podaj wzór sumaryczny i nazwę systematyczną (według tzw. systemu Stocka) obojętnego kompleksu kobaltu(), który zawiera ligandy chlorkowe i skoordynowane cząsteczki wody, wiedząc, że liczba koordynacyjna wynosi .
Podaj wzór sumaryczny anionu tetrachlorochromianowego().
Heksacyjanożelaziany potasu, w których żelazo przyjmuje stopnie utlenienia lub , posiadają powszechnie używane nazwy zwyczajowe: „żelazocyjanek potasu” i „żelazicyjanek potasu”. Zapisz nazwy systematyczne tych związków, wiedząc, że w „żelazocyjanku” stosunek molowy atomów potasu do atomów węgla wynosi , zaś w „żelazicyjanku” .
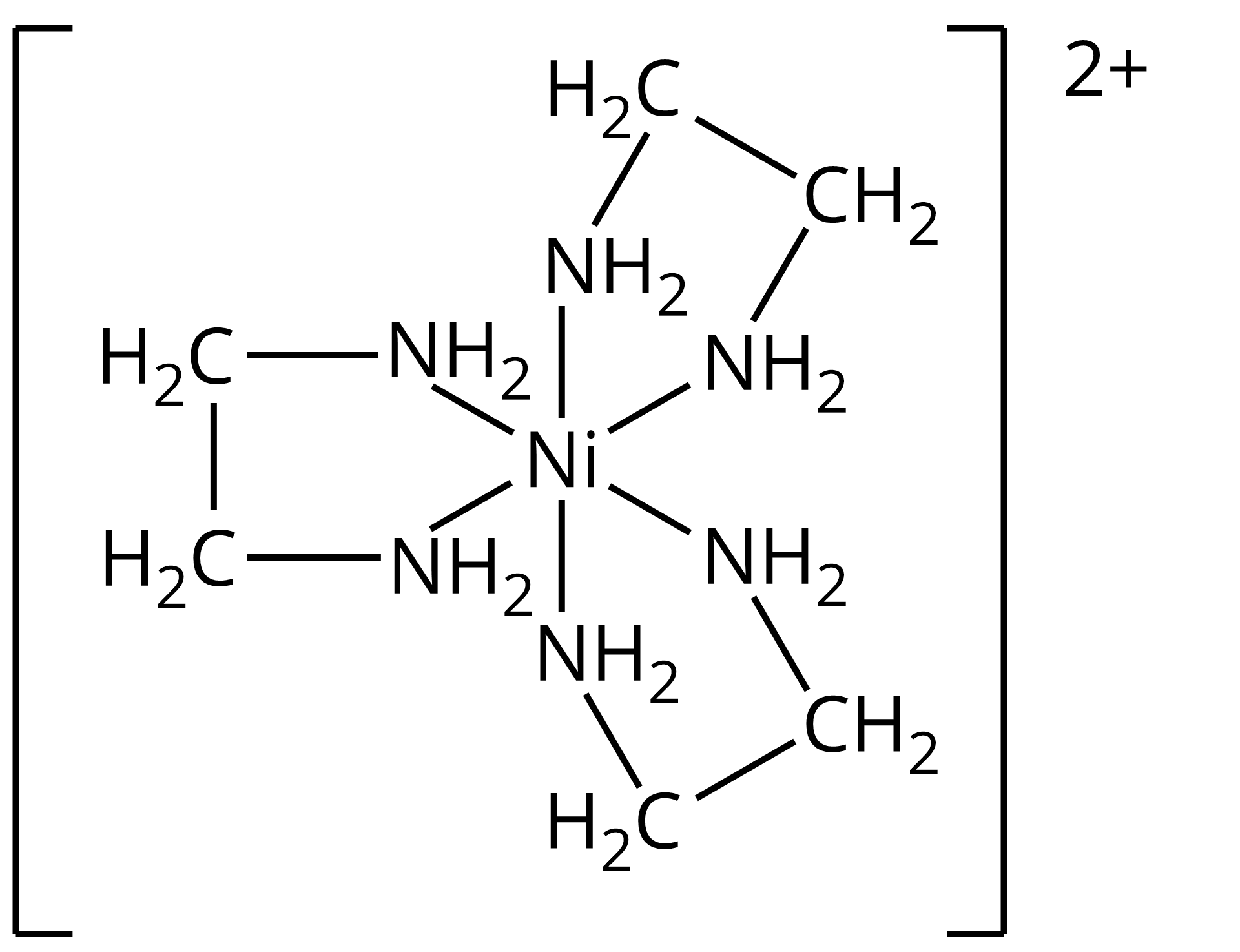
Ligandy, które dostarczają więcej niż jeden atom donorowy, noszą nazwę chelatowych lub wielomiejscowych. Przykładem ligandu chelatowego jest etylenodiamina (w skrócie: en):
.
Ustal wzór sumaryczny i nazwę systematyczną (według tzw. systemu Stocka) kompleksu etylenodiaminy z niklem(), wiedząc, że liczba koordynacyjna jonu centralnego w tym kompleksie wynosi , a en jest ligandem dwumiejscowym.
Jon żelaza() w roztworze wodnym występuje w postaci heksaakwakompleksu. Dodatek anionów tiocyjanianowych () powoduje stopniową wymianę (substytucję) ligandów akwa () na tiocyjanianowe (), co skutkuje pojawieniem się intensywnego, krwistoczerwonego zabarwienia.
Ustal wzór sumaryczny oraz nazwę systematyczną (według tzw. systemu Stocka) kompleksu, w którym trzy spośród sześciu ligandów akwa zostały podstawione jonami tiocyjanianowymi.
