Sprawdź się
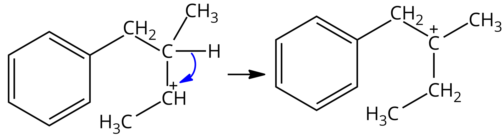
Zaznacz strzałką kierunek przegrupowania karbokationu.
Na podstawie opisów dwóch karbokationów określ, który z nich jest substratem, a który produktem przegrupowania. Określ ich trwałość.
Karbokation 1‑fenylo‑2-propylowy ma następującą strukturę: grupa CH jest obdarzona cząstkowym ładunkiem dodatnim, łączy się z grupą CHIndeks dolny 33 oraz grupą CHIndeks dolny 22, która to z kolei łączy się z pierścieniem fenylowym.
Karbokation 3‑fenylo‑1-propylowy ma następującą strukturę: grupa CHIndeks dolny 22 obdarzona jest cząstkowym ładunkiem dodatnim, łączy się z grupą CHIndeks dolny 22, która to związana jest z kolejną grupą CHIndeks dolny 22 połączoną z pierścieniem fenylowym.
Poniżej przedstawiono dwa karbokationy wraz z ich nazwami:
Przedstawiono opis dwóch karbokationów wraz z ich nazwami.

Określ rzędowość karbokationów. Wiedząc, że karbokationy ulegają przekształceniom, w wyniku których zmienia się ich rzędowość, ustal, który z podanych karbokationów występuje przed, a który po przekształceniu. Wstaw w puste miejsca ich nazwy.
2°, 1°, izopropylowy, 3°, n-propylowy
Rzędowość karbokationu:
Karbokation ........................ przekształca się w karbokation .........................
Zaznacz wzór karbokationu, którego przegrupowanie pozwoli uzyskać karbokation o poniższym wzorze:

Wybierz i zaznacz wzór karbokationu spełniającego warunki zadania:
Jest to karbokation najtrwalszy ze wszystkich przedstawionych struktur, o wzorze .
Połącz wzór karbokationu przed przegrupowaniem i po przegrupowaniu, a następnie określ rodzaj przegrupowania, wybierając z podanych.

2), 1), 3)
| a) | |
| b) | |
| c) |
Zapoznaj się z opisami przegrupowań, a następnie określ rodzaj przegrupowania, wybierając z podanych odpowiedzi.
a) Przegrupowanie karbokationu n-butylowego, 1‑butylowego do karbokationu sec-butylowego, 2‑butylowego.
b) Przegrupowanie karbokationu 2‑metylo‑1-butylowego do karbokationu 2‑metylo‑2-butylowego.
c) Przegrupowanie karbokationu 3,3‑dimetylo‑2-butylowego do karbokationu 2,3‑dimetylo‑2-butylowego.
Rodzaj przegrupowania a):
- przeniesienie jonu wodorkowego
- przeniesienie grupy alkilowej
Rodzaj przegrupowania b):
- przeniesienie jonu wodorkowego
- przeniesienie grupy alkilowej
Rodzaj przegrupowania c):
- przeniesienie jonu wodorkowego
- przeniesienie grupy alkilowej
W laboratorium udało się wykonać analizę elementarną badanego karbokationu, posiadającego płaszczyznę symetrii. Wyniki przedstawiono poniżej:
C 84,71%;
H 15,29%.
Ustal jego wzór strukturalny.
Narysuj wzór karbokationu uzyskanego po przegrupowaniu karbokationu o wzorze:

Narysuj wzór karbokationu uzyskanego po przegrupowaniu karbokationu o wzorze:









