Sprawdź się
Wykres do ćwiczeń
Udział poszczególnych sektorów gospodarki oraz gospodarstw domowych w łącznym wytwarzaniu odpadów w 2016 r. w Unii Europejskiej
-
Label : Budownictwo
Value : 36,4%
-
Label : Górnictwo i przemysł wydobywczy
Value : 25,3%
-
Label : Przemysł wytwórczy
Value : 10,3%
-
Label : Usługi wodne i związane z odpadami
Value : 10%
-
Label : Gospodarstwa domowe
Value : 8,5%
-
Label : Usługi
Value : 4,6%
-
Label : Sektor energii
Value : 3,1%
-
Label : Inne
Value : 1,8%
Analiza wykresu
• dodatek substancji zawierających grupy karbonylowe. Substancje te pod wpływem tlenu tworzą nadtlenki. Rozpadają się one na wolne rodniki i reagują z matrycą polimerową.
• dodatek katalizatorów. Mogą być nimi sole nienasyconych kwasów tłuszczowych, w których skład wchodzą metale: 1. Co (kobalt), Fe (żelazo), Mg (magnez), Zn (cynk), Ce (cer), 2. FeO (tlenek żelaza(II)), Fe2O3 (tlenek żelaza(III), ZnO (tlenek cynku), TiO2 (tlenek tytanu(IV), 3. FeCl3 (chlorek żelaza(III)) CuCl2 (chlorek miedzi(II)) CoCl2(chlorek kobaltu(II).
• dodatek tlenków metali 1. Co (kobalt), Fe (żelazo), Mg (magnez), Zn (cynk), Ce (cer), 2. FeO (tlenek żelaza(II)), Fe2O3 (tlenek żelaza(III), ZnO (tlenek cynku), TiO2 (tlenek tytanu(IV), 3. FeCl3 (chlorek żelaza(III)) CuCl2 (chlorek miedzi(II)) CoCl2(chlorek kobaltu(II).
• dodatek nieorganicznych soli metali 1. Co (kobalt), Fe (żelazo), Mg (magnez), Zn (cynk), Ce (cer), 2. FeO (tlenek żelaza(II)), Fe2O3 (tlenek żelaza(III), ZnO (tlenek cynku), TiO2 (tlenek tytanu(IV), 3. FeCl3 (chlorek żelaza(III)) CuCl2 (chlorek miedzi(II)) CoCl2(chlorek kobaltu(II).
Uzupełnij poniższy tekst, wstawiając w odpowiednie miejsca brakujące symbole i wzory związków chemicznych.
Co (kobalt), Fe (żelazo), Mg (magnez), Zn (cynk), Ce (cer), FeO (tlenek żelaza(II)), Fe2O3 (tlenek żelaza(III)), ZnO (tlenek cynku), TiO2 (tlenek tytanu(IV)), FeCl3 (chlorek żelaza(III)) CuCl2 (chlorek miedzi(II)) CoCl2 (chlorek kobaltu(II))
Polimery mogą być wrażliwe na fotodegradację. Jest to fotoutlenianie pod wpływem UV światła słonecznego w obecności tlenu. Efekt ten można uzyskać np. przez:
• dodatek substancji zawierających grupy karbonylowe. Substancje te pod wpływem tlenu tworzą nadtlenki, które rozpadają się na wolne rodniki i reagują z matrycą polimerową.
• dodatek katalizatorów. Mogą być nimi sole nienasyconych kwasów tłuszczowych, w skład których wchodzą metale: .......................................................................................................................................................................................................
• dodatek tlenków metali .......................................................................................................................................................................................................
• dodatek nieorganicznych soli metali .......................................................................................................................................................................................................
Biodegradacja jest procesem zachodzącym pod wpływem różnych czynników. Zaklasyfikuj podane czynniki do odpowiedniej grupy.
ciepło, woda, grzyby, glony, promieniowanie UV, bakterie
| abiotycznych (nieożywionych): | |
|---|---|
| biotycznych (ożywionych): |
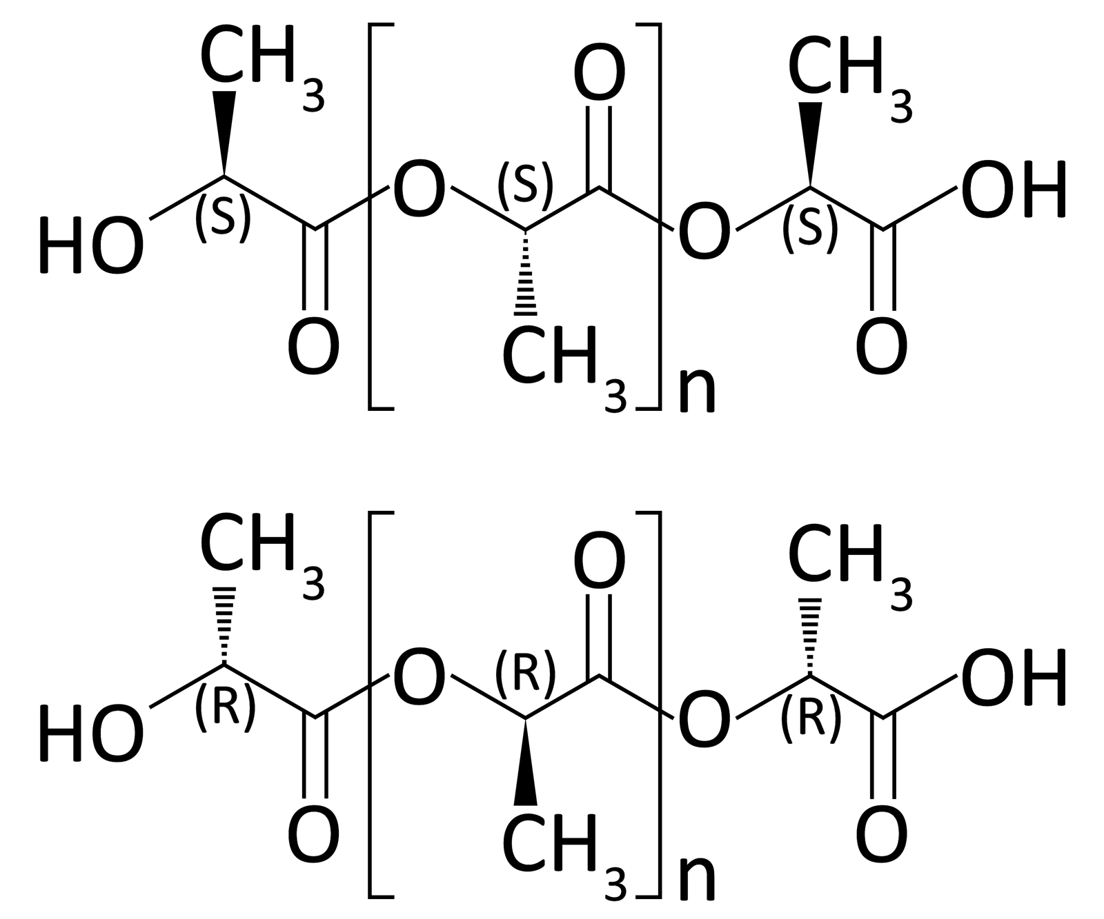
Izomery jakiego związku zostały przedstawione na rysunku? Podaj, jaka ich cecha powoduje, że wytworzone z nich opakowania są całkowicie przyjazne środowisku.
Izomery jakiego związku zostały opisane zgodnie z rysunkiem? Podaj, jaka ich cecha powoduje, że wytworzone z nich opakowania są całkowicie przyjazne środowisku.

Podaj nazwę polimeru przedstawionego w postaci wzoru:
Zapoznaj się z opisem wzoru. Podaj nazwę polimeru.

Czy związek przedstawiony wzorem:

może być wykorzystywany jako tworzywo biodegradowalne? Jeśli tak, to jakie warunki muszą zostać spełnione?
Do danego pojęcia przyporządkuj odpowiednią definicję.
efekt degradacji na skutek czynników abiotycznych, które powodują jedynie fragmentację i/lub niewielki spadek masy cząsteczkowej. Rozdrobniony materiał może zanieczyszczać środowisko przez długi czas., proces przyspieszonej biodegradacji w kontrolowanych warunkach. Charakteryzuje się wymuszonym napowietrzaniem i naturalnym wytwarzaniem ciepła dzięki aktywności biologicznej wewnątrz materiału. Powstały produkt – kompost – zawiera cenne składniki odżywcze. Może być stosowany jako polepszacz gleby., proces rozpadu materiału, prowadzony przez mikroorganizmy. Dzięki temu powstają substancje występujące w przyrodzie, jak np. CO<sub>2</sub>, woda i biomasa. Proces ten może występować w środowisku bogatym w tlen (biodegradacja tlenowa) lub w środowisku ubogim w tlen (biodegradacja beztlenowa).
| Biodegradacja | |
| Dezintegracja | |
| Kompostowanie |
Czy uczeń może wyrzucić reklamówkę oznaczoną znakiem biodegradowalności lub kompostowalności do pojemnika na śmieci przeznaczonego na plastik? Odpowiedź uzasadnij jednym argumentem.