Sprawdź się
Zaznacz, które związki zalicza się do węglowodorów.
- Związki, które zawierają wyłącznie wiązania pojedyncze.
- Związki, które są gazami.
- Związki zbudowane z atomów węgla i wodoru.
- Związki cykliczne, które zawierają heteroatomy, jak azot czy siarka.
Zaznacz ilustracje, na których przedstawiono węglowodory.
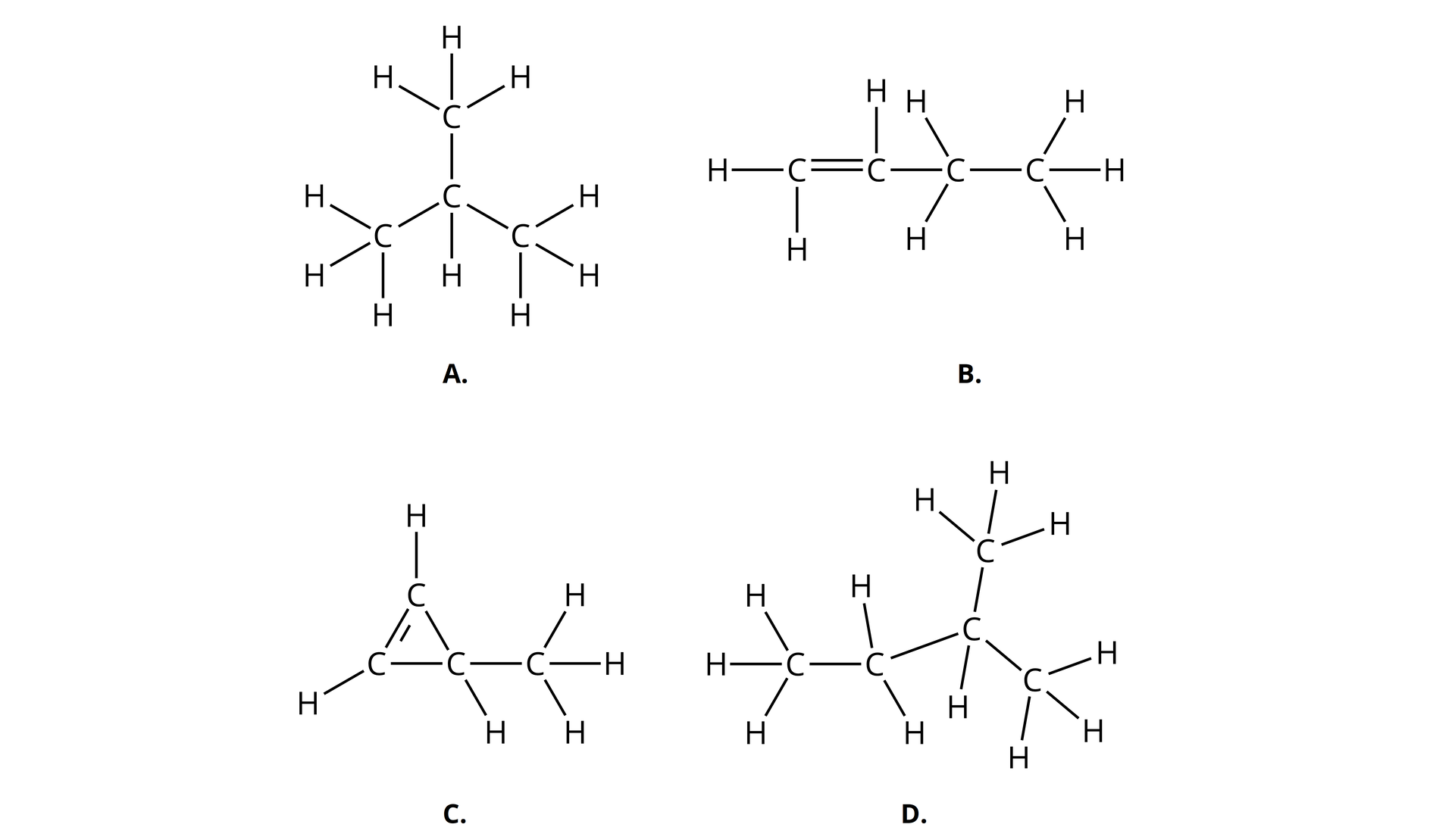
Poniżej przedstawiono wzory węglowodorów A‑D.
Zapoznaj się z opisami wzorów węglowodorów A‑D.

Dokończ zdanie, wstawiając w puste pole odpowiednią literę (A, B, C, D).
A, B, D, C
Związek nasycony, zawierający 4 atomy węgla oraz 10 atomów wodoru w cząsteczce, został przedstawiony na rysunku .............
Połącz w pary wzór sumaryczny związku z wzorem strukturalnym cząsteczki.
Uzupełnij zdania na temat związku przedstawionego na ilustracji poniżej, wstawiając odpowiednie wyrażenie w puste pola.
Uzupełnij zdania na temat związku opisanego na ilustracji, wstawiając odpowiednie wyrażenie w puste pola.

nasyconych, cyklicznych, rozgałęzionym, potrójnego, 10, 5, podwójnego, węgla, 8, węgla, nienasyconych, alifatycznych, 4, wodoru, wodoru
W cząsteczce liczba atomów węgla wynosi .............................., a atomów wodoru ............................... Atomy .............................. połączone są ze sobą za pomocą wiązań pojedynczych, a także za pomocą wiązania .............................., które znajduje się przy atomie .............................. numer 1. Z tego względu związek zalicza się do węglowodorów ............................... Cząsteczka jest związkiem łańcuchowym, .............................., a jedynym podstawnikiem jest grupa metylowa.
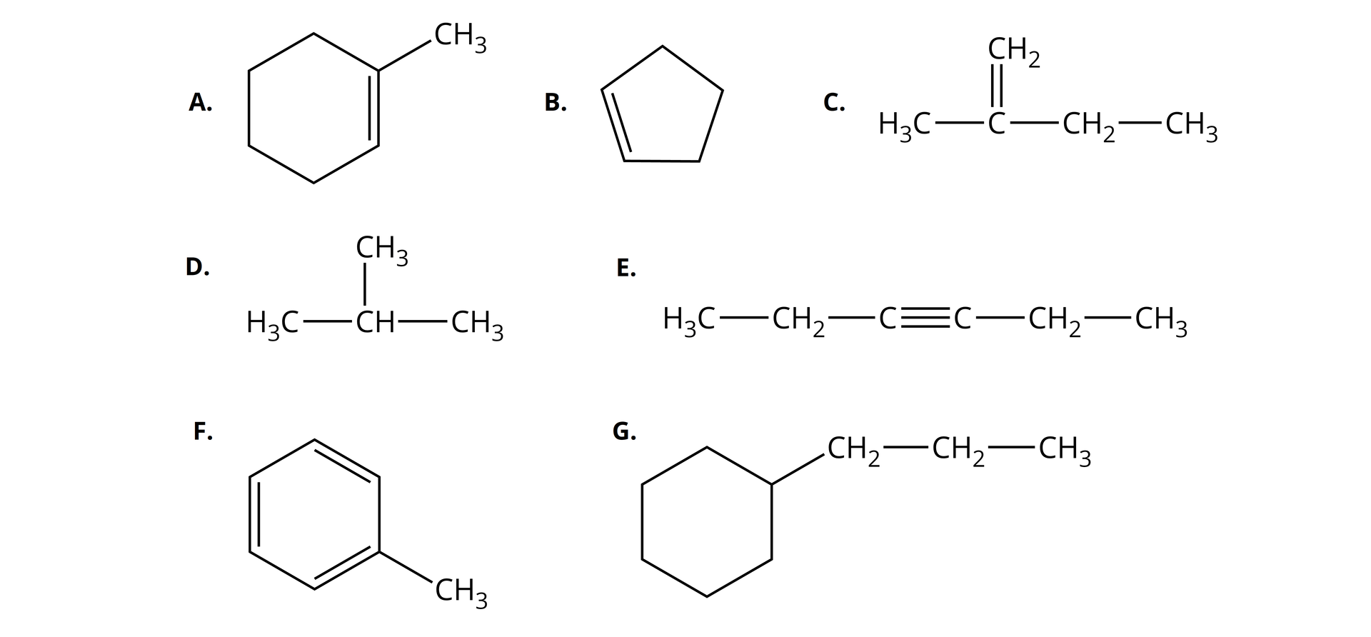
Zaklasyfikuj podane poniżej cząsteczki do odpowiednich grup. Dana cząsteczka może występować w kilku grupach jednocześnie.
Zaklasyfikuj opisane cząsteczki do odpowiednich grup. Dana cząsteczka może występować w kilku grupach jednocześnie.

B, G, B, E, C, E, D, A, C, A, F, F, G, D
| cząsteczki nasycone | |
|---|---|
| cząsteczki nienasycone łańcuchowe | |
| cząsteczki nienasycone cykliczne | |
| cząsteczki łańcuchowe | |
| cząsteczki aromatyczne | |
| cząsteczki cykliczne |

Oceń prawdziwość zdań na temat związków, pokazanych na powyższej ilustracji.
| Zdanie | Prawda | Fałsz |
| Związek A to aromatyczny nienasycony węglowodór. | □ | □ |
| Związek B to nienasycony cykliczny węglowodór. | □ | □ |
| Związek B i C posiadają taką samą liczbę atomów węgla. | □ | □ |
| Związek C jest bardziej stabilny niż związek A. | □ | □ |
Narysuj wszystkie możliwe węglowodory nasycone o wzorze sumarycznym .
