Sprawdź się
Jak nazywa się reakcja, w której powstają estry? Zaznacz poprawną odpowiedź.
- estryfikacja
- kataliza
- hydroliza
- ekstrakcja
Z podanych nazw rodzin związków chemicznych wybierz tę/te, z której/z których powstają estry.
- bezwodnik kwasowy
- fenole
- alkohole
- wodorotlenki
Podaj nazwy substratów potrzebnych do otrzymania następujących estrów:
octan propylu;
propanian etylu.
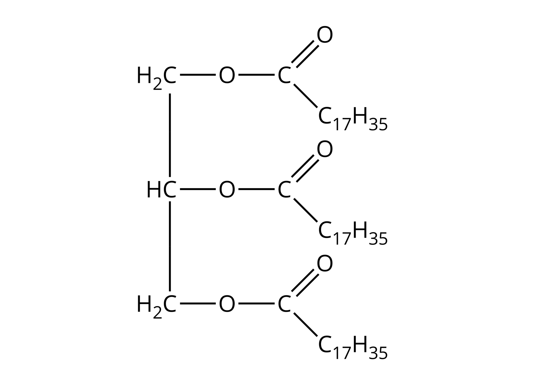
Ile grup hydroksylowych posiada alkohol, z którego otrzymano poniższy ester?

- trzy
- dwie
- jedną
- więcej niż trzy
Jakich substraty potrzebujemy, aby otrzymać ester o poniższym wzorze?

Podaj ich nazwy zalecane.
Zapisz równanie reakcji kwasu fosforowego() z etanolem wiedząc, że reakcja zachodzi w stosunku molowym . Ile moli cząsteczek wody powstanie wyniku zachodzącej reakcji?
Jak nazywa się ester otrzymany w wyniku tej reakcji? Dokończ zapis tego równania reakcji estryfikacji.

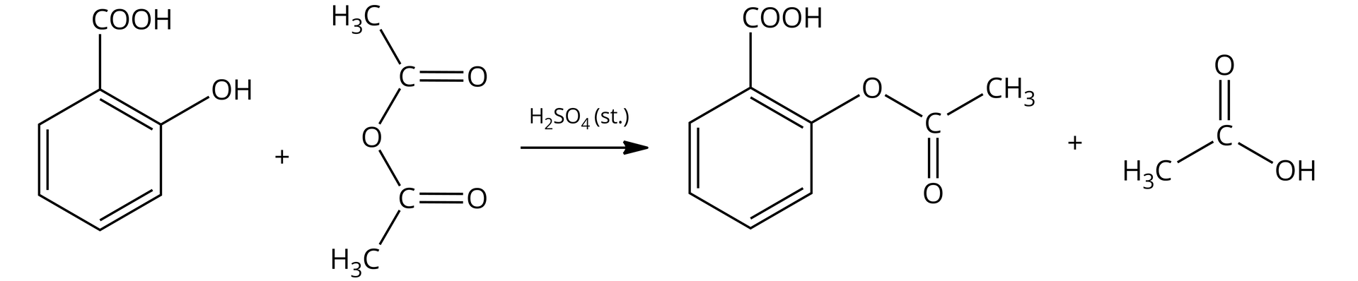
Aspiryna to popularny lek, stosowany w leczeniu bólu. Działa przeciwzapalnie oraz powoduje rozrzedzenie krwi. Stosowany jest do leczenia łagodnego i umiarkowanego bólu, migreny i gorączki. Powstaje w reakcji acylowania, w obecności kwasu siarkowego() jako katalizatora. Zaprojektuj równanie reakcji chemicznej otrzymywania aspiryny (kwas -acetoksybenzoesowy).


