Sprawdź się
Rzędowość amin określa liczba grup alkilowych lub arylowych łączących się bezpośrednio z atomem azotu i zastępujących atomy wodoru w cząsteczce amoniaku. Zaznacz prawidłowe definicje rzędowości poniższych amin.
- Aminy pierwszorzędowe powstają poprzez zastąpienie grupą węglowodorową jednego atomu wodoru. Grupą funkcyjną jest grupa aminowa.
- Aminy drugorzędowe powstają poprzez zastąpienie dwóch atomów wodoru grupami węglowodorowymi w cząsteczce amoniaku. Grupą funkcyjną jest grupa iminowa
- Aminy trzeciorzędowe powstają w wyniku zastąpienia czterech atomów wodoru w cząsteczce amoniaku grupami węglowodorowymi.
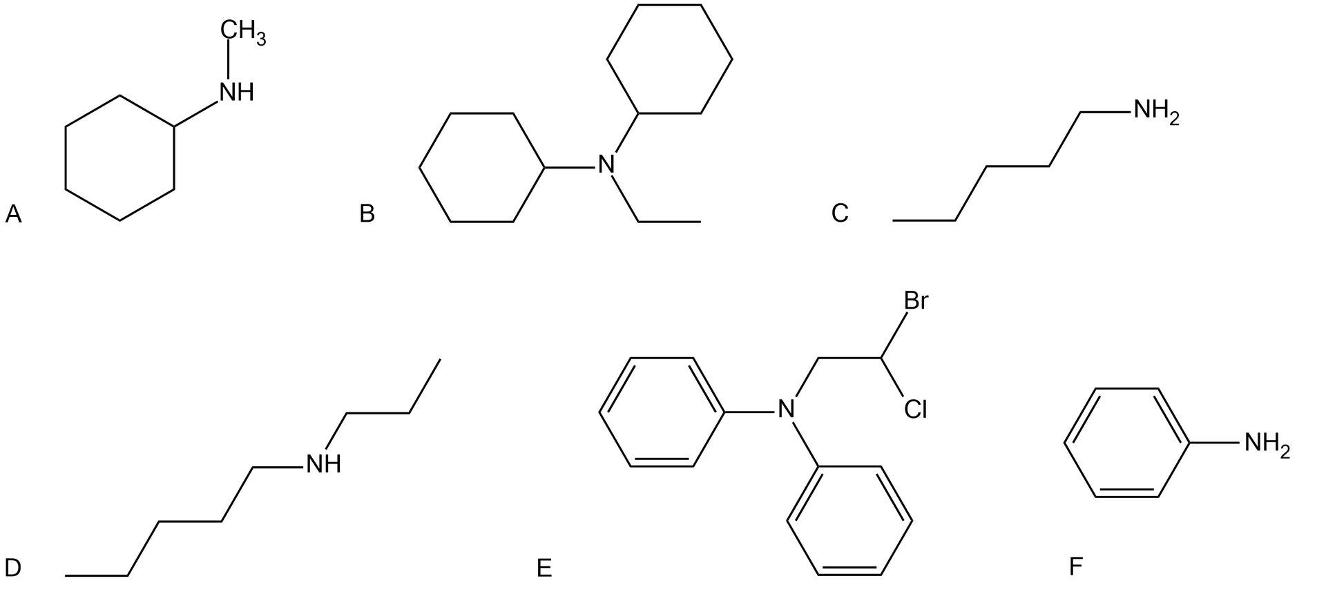
Poniżej podano wzory wybranych amin.

Przyporządkuj powyższe wzory do właściwej grupy amin pierwszo-, drugo- oraz trzeciorzędowych.
D, B, E, C, A, F
| Aminy I-rzędowe | |
|---|---|
| Aminy II-rzędowe | |
| Aminy III-rzędowe |
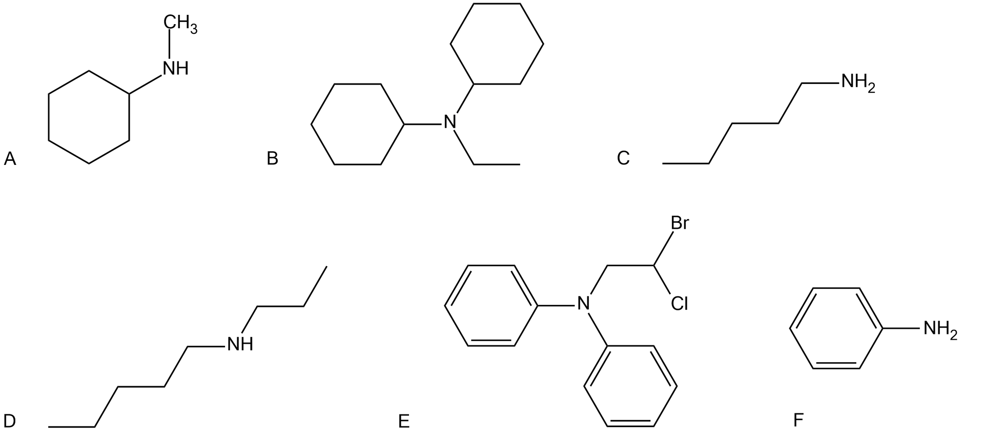
Poniżej podano wzory wybranych amin.

Przyporządkuj wzory amin z informacji wstępnej do odpowiedniej grupy amin alifatycznych lub aromatycznych.
F, B, C, D, E, A
| Aminy alifatyczne | |
|---|---|
| Aminy aromatyczne |
Poniżej podano wzory wybranych amin.

Podano nazwy amin: N-metylocykloheksanoamina, N-cykloheksylo-N-metylocykloheksanoamina, petanoamina, N-propylopentanoamina, N-(-bromo--chloroetylo)-N-fenyloanilina, cyklopenta-,-dienamina.
Czy wśród związków, których wzory zostały podane w informacji wstępnej, występuje cząsteczka, której amina ma w całości budowę płaską? Odpowiedz i uzasadnij.
Poniżej podano wzory wybranych amin.

Przyporządkuj dany wzór aminy do jej nazwy.
cyklopenta-1,3-dienoamina, N-(2-bromo-2-chloroetylo)-N-fenyloanilina, N-propylopentano-1-amina, pentano-1-amina, N-etylo-N-cykloheksylocykloheksanoamina, N-metylocykloheksanoamina
| Amina | Nazwa aminy |
|---|---|
| cyklopenta-1,3-dienoamina | |
| N-(2-bromo-2-chloroetylo)-N-fenyloanilina | |
| N-propylopentano-1-amina | |
| pentano-1-amina | |
| N-etylo-N-cykloheksylocykloheksanoamina | |
| N-metylocykloheksanoamina |
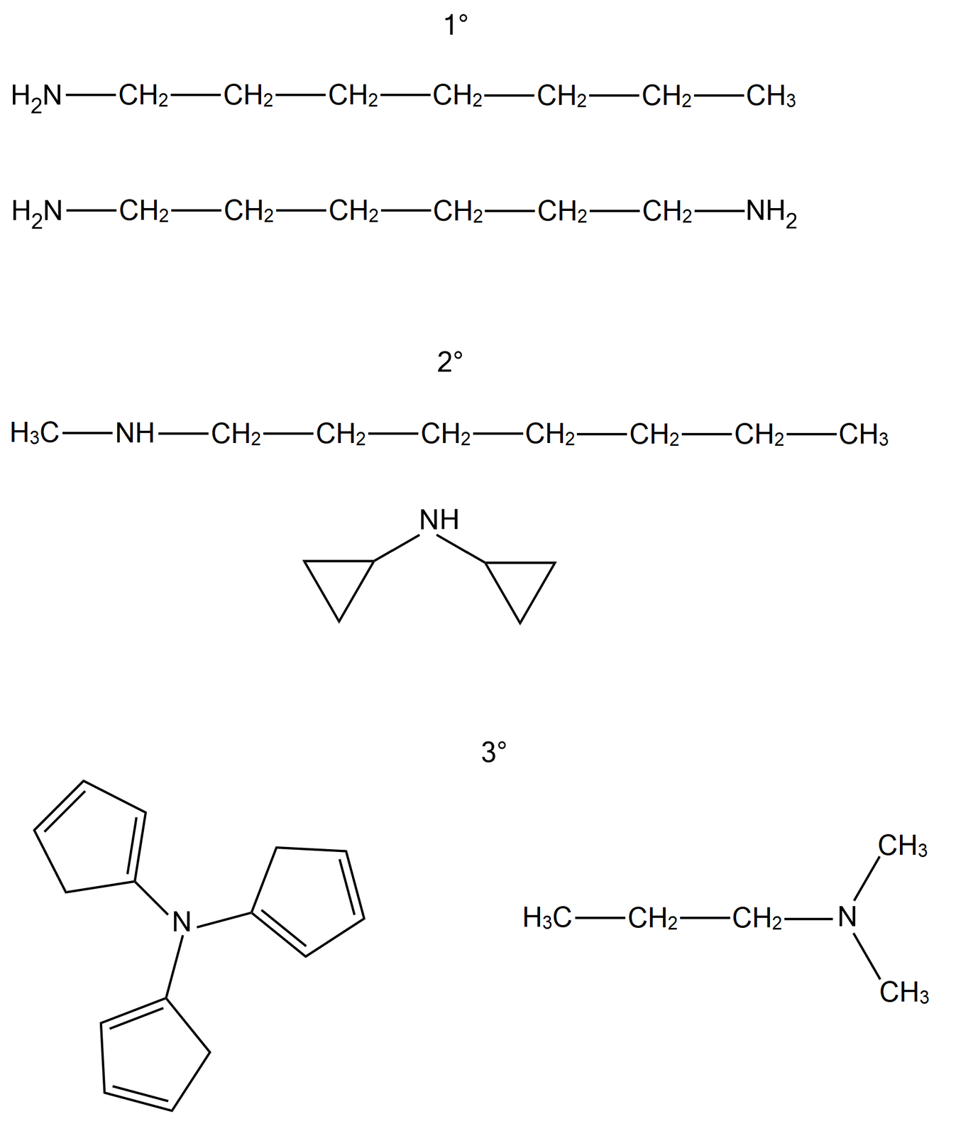
Podaj po dwa wzory półstrukturalne dowolnych amin -, - oraz -rzędowych, które nie pojawiły się w e‑materiale.
Podaj po dwie nazwy dowolnych amin -, - oraz -rzędowych, które nie pojawiły się w e‑materiale.
Cykliczne aminy pierwszorzędowe tworzone są przez oderwanie jednego atomu wodoru od cyklicznego węglowodoru alifatycznego i zastąpienie go grupą aminową .
Narysuj trzy cykliczne aminy pierwszorzędowe należące do szeregu homologicznego cykloalkenów.
Cykliczne aminy pierwszorzędowe tworzone są przez oderwanie jednego atomu wodoru od cyklicznego węglowodoru alifatycznego i zastąpienie go grupą aminową .
Podaj nazwy trzech dowolnych cyklicznych amin pierwszorzędowych należących do szeregu homologicznego cykloalkenów.
Narysuj jedną, dowolną cząsteczkę związku, który będzie zawierał grupy aminowe o różnej rzędowości.
Wiązanie wodorowe to rodzaj oddziaływania, które tworzy się pomiędzy wolną parą elektronową silnie elektroujemnego pierwiastka jednej cząsteczki oraz atomem wodoru związanym z atomem silnie elektroujemnego pierwiastka drugiej cząsteczki. Silnie elektroujemnymi pierwiastkami są np. , oraz . Przykładowo, dla cząsteczek amoniaku schemat tworzenia wiązania wodorowego wygląda następująco:

Na podstawie powyższych informacji narysuj schemat tworzenia wiązania wodorowego pomiędzy dwiema cząsteczkami metyloaminy oraz pomiędzy dwiema cząsteczkami dimetyloaminy. Następnie odpowiedz na pytanie: czy trimetyloamina jest zdolna do tworzenia wiązań wodorowych? Jeśli tak, to narysuj schemat tworzenia wiązania wodorowego, a jeżeli nie – wyjaśnij dlaczego.
Wiązanie wodorowe to rodzaj oddziaływania, które tworzy się pomiędzy wolną parą elektronową silnie elektroujemnego pierwiastka jednej cząsteczki oraz atomem wodoru związanym z atomem silnie elektroujemnego pierwiastka drugiej cząsteczki. Silnie elektroujemnymi pierwiastkami są np. , oraz .
Odpowiedz na pytanie: czy trimetyloamina jest zdolna do tworzenia wiązań wodorowych? Jeśli tak, to narysuj schemat tworzenia wiązania wodorowego, a jeżeli nie – wyjaśnij dlaczego.




