Sprawdź się
Czynnik pokazujący wpływ odpadów na efektywność procesu opisuje się literą . Czynnik ten to inaczej: Możliwe odpowiedzi: 1. czynnik środowiskowy., 2. ekonomia atomu., 3. wydajność reakcji., 4. stosunek produktów do substratów.
Wybierz, która z poniższych reakcji jest reakcją zgodną z zasadami zielonej chemii. Odpowiedź uzasadnij.
Wybierz, która z opisanych reakcji jest reakcją zgodną z zasadami zielonej chemii. Odpowiedź uzasadnij.

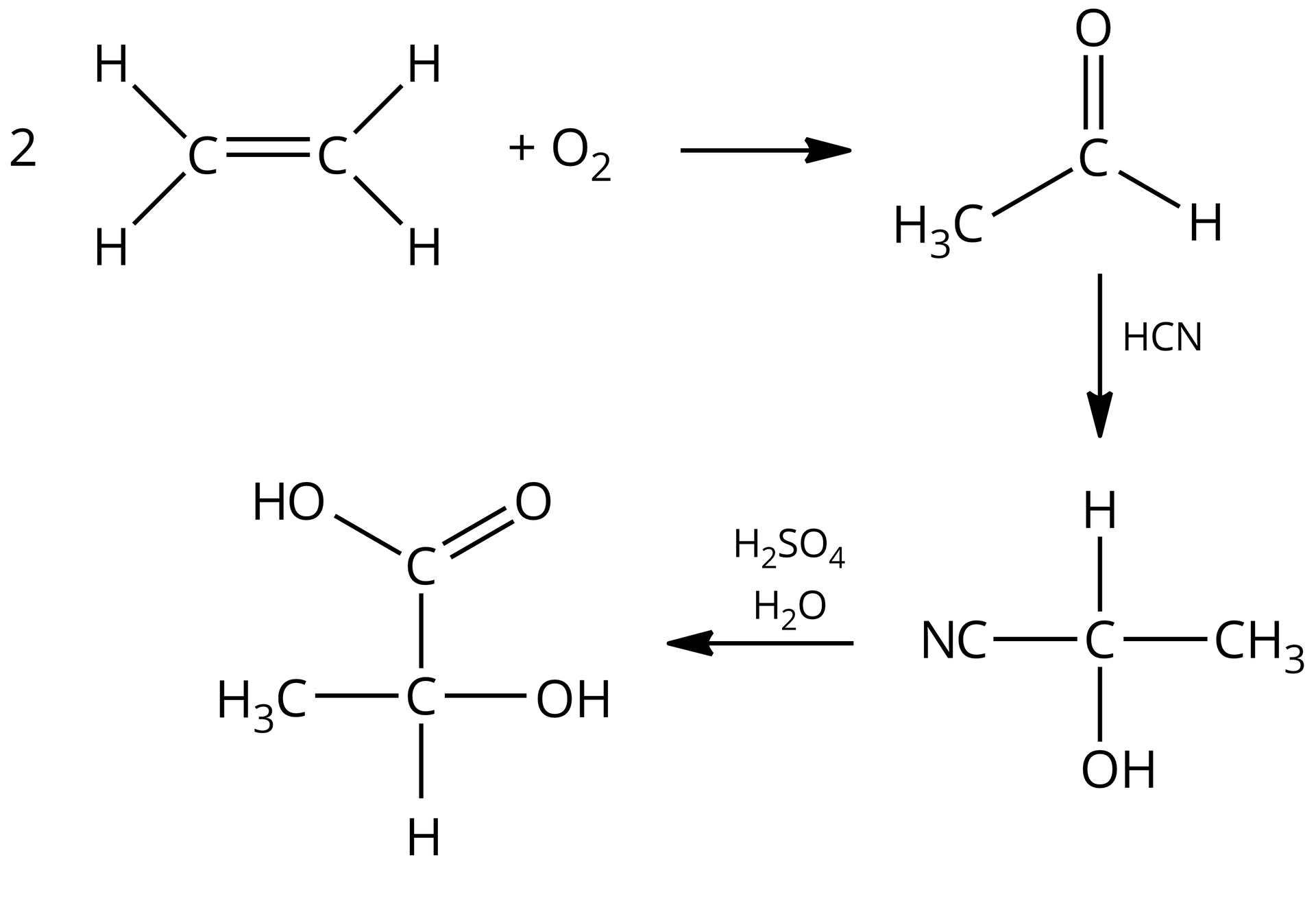
Wybierz, która z metod syntezy kwasu mlekowego (kwas -hydroksypropanowy) jest zgodna z zasadami zielonej chemii. Odpowiedź uzasadnij.
Metoda :

Metoda :

Czynnik środowiskowy () określa wpływ odpadów powstających w czasie reakcji na efektywność procesu tworzenia pożądanego produktu. Oblicz, ile wynosi ten czynnik dla poniższej reakcji:
wiedząc, że produkt jest produktem ubocznym tej reakcji. W reakcji użyto mol związku .
Ekonomia atomu () mówi o tym, jak duża część atomów tworząca substraty weszła w skład powstałych produktów docelowych. Wiedząc, że w poniższej reakcji produkt jest produktem ubocznym, wyznacz tej reakcji:
Produkt można otrzymać w dwóch różnych reakcjach chemicznych. Pozostałe produkty tych reakcji to produkty uboczne. Dla każdej z nich oblicz, jaka część atomów substratów weszła w skład pożądanego produktu () oraz jaki jest stosunek masy powstających odpadów do powstających produktów (). Która z reakcji jest bardziej zgodna z zasadami zielonej chemii? W obliczeniach przyjmij, że do każdej z reakcji użyto mola każdego z substratów oraz że wydajność reakcji to . Odpowiedź uzasadnij.
a)
b)