Sprawdź się
Zaznacz poprawną odpowiedź.
Przyporządkuj tłuszcze do odpowiednich grup.
Zaznacz poprawne odpowiedzi.
Narysuj przykładowy wzór półstrukturalny (uproszczony) tłuszczu stałego.
Narysuj w zeszycie przykładowy wzór półstrukturalny (uproszczony) tłuszczu stałego.
Tłuszcze właściwe to estry glicerolu i kwasów tłuszczowych. Przykładem jest tristearynian glicerolu, w którego cząsteczce trzy grupy hydroksylowe glicerolu zostały zestryfikowane cząsteczkami kwasu stearynowego. Tłuszcz ten wykazuje konsystencję stałą. Tłuszcze z dużą zawartością nienasyconych kwasów tłuszczowych wykazują konsystencję ciekłą.
1. Narysuj w zeszycie wzór strukturalny tristearynianu glicerolu.
2. Zaproponuj i zapisz w zeszycie wzór strukturalny tłuszczu właściwego o konsystencji ciekłej.
Zapisz równanie reakcji otrzymywania tristearynianu glicerolu.
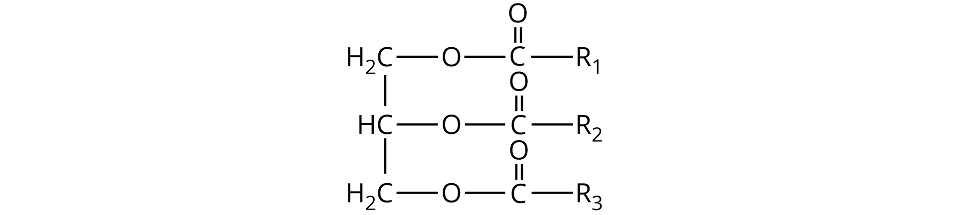
Czy związek, który został przedstawiony poniższym wzorem, można określić jako tłuszcz właściwy? Odpowiedź uzasadnij.
Zapoznaj się z opisem wzoru związku. Czy można go określić jako tłuszcz właściwy? Odpowiedź uzasadnij.

Przeprowadzono doświadczenie pt. „Badanie rozpuszczalności oleju rzepakowego”. Zapisz obserwacje i wnioski z przeprowadzonego doświadczenia.

„Im więcej wiązań nienasyconych w cząsteczce tłuszczu, tym niższa temperatura topnienia tłuszczu”. Na podstawie tej informacji podaj wzory grupowe dwóch tłuszczów, które znacząco się różnią temperaturą topnienia. Do stworzenia przykładowych wzorów półstrukturalnych dwóch tłuszczów, wykorzystaj następujące substraty: glicerol, kwas oleinowy i kwas palmitynowy.
Stwórz przykładowe wzory półstrukturalne dwóch tłuszczów, wykorzystaj następujące substraty: glicerol, kwas oleinowy i kwas palmitynowy. Wzory półstrukturalne zapisz w zeszycie.
Omów na dowolnym przykładzie proces utwardzania tłuszczu. Zapisz równanie zachodzącej reakcji.







