Formamid jest amidem kwasowym. Zaznacz rzędowość tego amidu. Możliwe odpowiedzi: 1. Amidy pierwszorzędowe., 2. Amidy drugorzędowe., 3. Amidy trzeciorzędowe.
Formamid jest amidem kwasowym. Zaznacz rzędowość tego amidu.
Amidy pierwszorzędowe
Amidy drugorzędowe
Amidy trzeciorzędowe.
1
Ćwiczenie 2
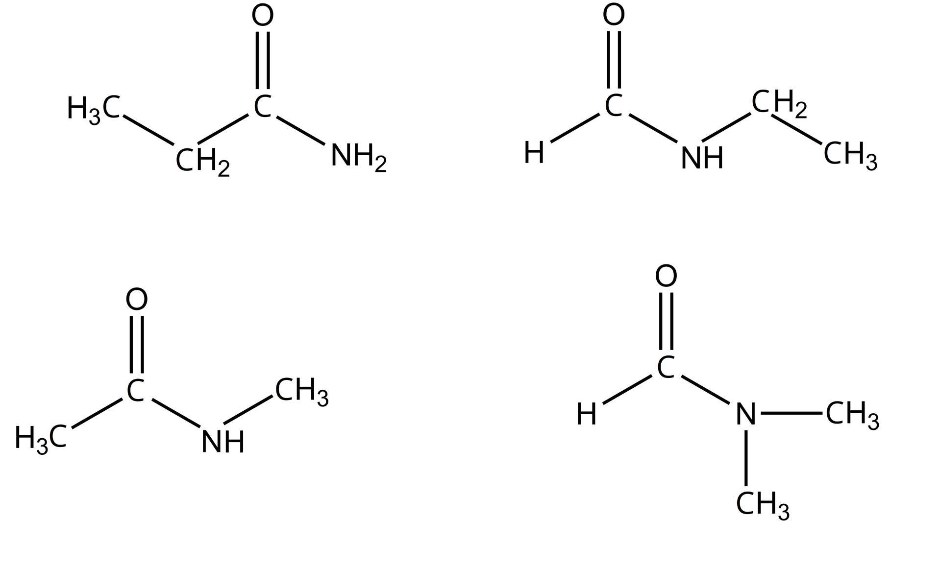
Dopasuj nazwę amidu do jego wzoru strukturalnego.
RlmUCZfihWKJj
Opis alternatywny ilustracji
Opis alternatywny ilustracji
Źródło: GroMar Sp. z o. o., licencja: CC BY-SA 3.0.
RVYGsLRnPbDkN1
Ćwiczenie 2
Dopasuj nazwę amidu do jego wzoru półstrukturalnego. formamid Możliwe odpowiedzi: 1. , 2. , 3. , 4. acetamid Możliwe odpowiedzi: 1. , 2. , 3. , 4. mocznik Możliwe odpowiedzi: 1. , 2. , 3. , 4. -metylobutanoamid Możliwe odpowiedzi: 1. , 2. , 3. , 4.
Dopasuj nazwę amidu do jego wzoru półstrukturalnego. formamid Możliwe odpowiedzi: 1. , 2. , 3. , 4. acetamid Możliwe odpowiedzi: 1. , 2. , 3. , 4. mocznik Możliwe odpowiedzi: 1. , 2. , 3. , 4. -metylobutanoamid Możliwe odpowiedzi: 1. , 2. , 3. , 4.
11
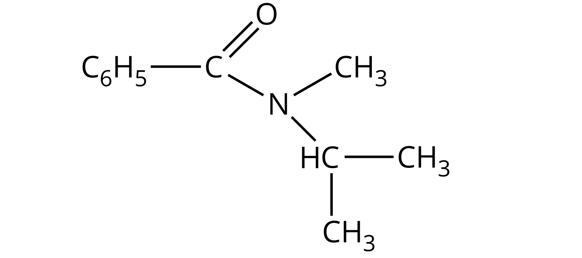
Ćwiczenie 3
Narysuj wzory strukturalne podanych amidów:
-hydroksybenzamidu;
-fenylo--metyloformamidu;
,-dimetyloacetamidu.
RF8o7xpoI1eA0
(Uzupełnij).
Odpowiedź zapisz w zeszycie do lekcji chemii, zrób zdjęcie, a następnie umieść je w wyznaczonym polu.
Przeanalizuj dokładnie nazwy podanych amidów.
R7Op5FOrNRkVc
Ilustracja
Źródło: GroMar Sp. z o.o., licencja: CC BY-SA 3.0.
RZyzHshoCUzsR1
Ćwiczenie 3
Połącz w pary pojęcie i definicję. amidy Możliwe odpowiedzi: 1. substancja amfoteryczna; indywiduum chemiczne mogące w zależności od środowiska reakcji zachowywać się jak kwas lub jak zasada, 2. reakcja dwóch cząsteczek, w wyniku której powstaje główny produkt oraz odszczepiony zostaje produkt uboczny, 3. związek organiczny; pochodna amoniaku, w którego cząsteczce jeden, dwa lub trzy atomy wodoru są zastąpione grupami alifatycznymi (aminy alifatyczne) lub aromatycznymi (aminy aromatyczne), 4. zjawisko występowania stanu równowagi chemicznej między różnymi izomerami strukturalnymi, które przechodzą w siebie nawzajem, najczęściej w wyniku migracji protonów, 5. związki organiczne, będące pochodnymi kwasów organicznych, w których grupa hydroksylowa została podstawiona grupą aminowa (pochodzącą od aminy lub amoniaku), 6. związek organiczny, którego cząsteczka zawiera grupę karboksylową () połączoną z grupą alifatyczną, alicykliczną, aromatyczną lub heterocykliczną kwas karboksylowy Możliwe odpowiedzi: 1. substancja amfoteryczna; indywiduum chemiczne mogące w zależności od środowiska reakcji zachowywać się jak kwas lub jak zasada, 2. reakcja dwóch cząsteczek, w wyniku której powstaje główny produkt oraz odszczepiony zostaje produkt uboczny, 3. związek organiczny; pochodna amoniaku, w którego cząsteczce jeden, dwa lub trzy atomy wodoru są zastąpione grupami alifatycznymi (aminy alifatyczne) lub aromatycznymi (aminy aromatyczne), 4. zjawisko występowania stanu równowagi chemicznej między różnymi izomerami strukturalnymi, które przechodzą w siebie nawzajem, najczęściej w wyniku migracji protonów, 5. związki organiczne, będące pochodnymi kwasów organicznych, w których grupa hydroksylowa została podstawiona grupą aminowa (pochodzącą od aminy lub amoniaku), 6. związek organiczny, którego cząsteczka zawiera grupę karboksylową () połączoną z grupą alifatyczną, alicykliczną, aromatyczną lub heterocykliczną amina Możliwe odpowiedzi: 1. substancja amfoteryczna; indywiduum chemiczne mogące w zależności od środowiska reakcji zachowywać się jak kwas lub jak zasada, 2. reakcja dwóch cząsteczek, w wyniku której powstaje główny produkt oraz odszczepiony zostaje produkt uboczny, 3. związek organiczny; pochodna amoniaku, w którego cząsteczce jeden, dwa lub trzy atomy wodoru są zastąpione grupami alifatycznymi (aminy alifatyczne) lub aromatycznymi (aminy aromatyczne), 4. zjawisko występowania stanu równowagi chemicznej między różnymi izomerami strukturalnymi, które przechodzą w siebie nawzajem, najczęściej w wyniku migracji protonów, 5. związki organiczne, będące pochodnymi kwasów organicznych, w których grupa hydroksylowa została podstawiona grupą aminowa (pochodzącą od aminy lub amoniaku), 6. związek organiczny, którego cząsteczka zawiera grupę karboksylową () połączoną z grupą alifatyczną, alicykliczną, aromatyczną lub heterocykliczną amfolit Możliwe odpowiedzi: 1. substancja amfoteryczna; indywiduum chemiczne mogące w zależności od środowiska reakcji zachowywać się jak kwas lub jak zasada, 2. reakcja dwóch cząsteczek, w wyniku której powstaje główny produkt oraz odszczepiony zostaje produkt uboczny, 3. związek organiczny; pochodna amoniaku, w którego cząsteczce jeden, dwa lub trzy atomy wodoru są zastąpione grupami alifatycznymi (aminy alifatyczne) lub aromatycznymi (aminy aromatyczne), 4. zjawisko występowania stanu równowagi chemicznej między różnymi izomerami strukturalnymi, które przechodzą w siebie nawzajem, najczęściej w wyniku migracji protonów, 5. związki organiczne, będące pochodnymi kwasów organicznych, w których grupa hydroksylowa została podstawiona grupą aminowa (pochodzącą od aminy lub amoniaku), 6. związek organiczny, którego cząsteczka zawiera grupę karboksylową () połączoną z grupą alifatyczną, alicykliczną, aromatyczną lub heterocykliczną kondensacja Możliwe odpowiedzi: 1. substancja amfoteryczna; indywiduum chemiczne mogące w zależności od środowiska reakcji zachowywać się jak kwas lub jak zasada, 2. reakcja dwóch cząsteczek, w wyniku której powstaje główny produkt oraz odszczepiony zostaje produkt uboczny, 3. związek organiczny; pochodna amoniaku, w którego cząsteczce jeden, dwa lub trzy atomy wodoru są zastąpione grupami alifatycznymi (aminy alifatyczne) lub aromatycznymi (aminy aromatyczne), 4. zjawisko występowania stanu równowagi chemicznej między różnymi izomerami strukturalnymi, które przechodzą w siebie nawzajem, najczęściej w wyniku migracji protonów, 5. związki organiczne, będące pochodnymi kwasów organicznych, w których grupa hydroksylowa została podstawiona grupą aminowa (pochodzącą od aminy lub amoniaku), 6. związek organiczny, którego cząsteczka zawiera grupę karboksylową () połączoną z grupą alifatyczną, alicykliczną, aromatyczną lub heterocykliczną tautometria Możliwe odpowiedzi: 1. substancja amfoteryczna; indywiduum chemiczne mogące w zależności od środowiska reakcji zachowywać się jak kwas lub jak zasada, 2. reakcja dwóch cząsteczek, w wyniku której powstaje główny produkt oraz odszczepiony zostaje produkt uboczny, 3. związek organiczny; pochodna amoniaku, w którego cząsteczce jeden, dwa lub trzy atomy wodoru są zastąpione grupami alifatycznymi (aminy alifatyczne) lub aromatycznymi (aminy aromatyczne), 4. zjawisko występowania stanu równowagi chemicznej między różnymi izomerami strukturalnymi, które przechodzą w siebie nawzajem, najczęściej w wyniku migracji protonów, 5. związki organiczne, będące pochodnymi kwasów organicznych, w których grupa hydroksylowa została podstawiona grupą aminowa (pochodzącą od aminy lub amoniaku), 6. związek organiczny, którego cząsteczka zawiera grupę karboksylową () połączoną z grupą alifatyczną, alicykliczną, aromatyczną lub heterocykliczną
Połącz w pary pojęcie i definicję. amidy Możliwe odpowiedzi: 1. substancja amfoteryczna; indywiduum chemiczne mogące w zależności od środowiska reakcji zachowywać się jak kwas lub jak zasada, 2. reakcja dwóch cząsteczek, w wyniku której powstaje główny produkt oraz odszczepiony zostaje produkt uboczny, 3. związek organiczny; pochodna amoniaku, w którego cząsteczce jeden, dwa lub trzy atomy wodoru są zastąpione grupami alifatycznymi (aminy alifatyczne) lub aromatycznymi (aminy aromatyczne), 4. zjawisko występowania stanu równowagi chemicznej między różnymi izomerami strukturalnymi, które przechodzą w siebie nawzajem, najczęściej w wyniku migracji protonów, 5. związki organiczne, będące pochodnymi kwasów organicznych, w których grupa hydroksylowa została podstawiona grupą aminowa (pochodzącą od aminy lub amoniaku), 6. związek organiczny, którego cząsteczka zawiera grupę karboksylową () połączoną z grupą alifatyczną, alicykliczną, aromatyczną lub heterocykliczną kwas karboksylowy Możliwe odpowiedzi: 1. substancja amfoteryczna; indywiduum chemiczne mogące w zależności od środowiska reakcji zachowywać się jak kwas lub jak zasada, 2. reakcja dwóch cząsteczek, w wyniku której powstaje główny produkt oraz odszczepiony zostaje produkt uboczny, 3. związek organiczny; pochodna amoniaku, w którego cząsteczce jeden, dwa lub trzy atomy wodoru są zastąpione grupami alifatycznymi (aminy alifatyczne) lub aromatycznymi (aminy aromatyczne), 4. zjawisko występowania stanu równowagi chemicznej między różnymi izomerami strukturalnymi, które przechodzą w siebie nawzajem, najczęściej w wyniku migracji protonów, 5. związki organiczne, będące pochodnymi kwasów organicznych, w których grupa hydroksylowa została podstawiona grupą aminowa (pochodzącą od aminy lub amoniaku), 6. związek organiczny, którego cząsteczka zawiera grupę karboksylową () połączoną z grupą alifatyczną, alicykliczną, aromatyczną lub heterocykliczną amina Możliwe odpowiedzi: 1. substancja amfoteryczna; indywiduum chemiczne mogące w zależności od środowiska reakcji zachowywać się jak kwas lub jak zasada, 2. reakcja dwóch cząsteczek, w wyniku której powstaje główny produkt oraz odszczepiony zostaje produkt uboczny, 3. związek organiczny; pochodna amoniaku, w którego cząsteczce jeden, dwa lub trzy atomy wodoru są zastąpione grupami alifatycznymi (aminy alifatyczne) lub aromatycznymi (aminy aromatyczne), 4. zjawisko występowania stanu równowagi chemicznej między różnymi izomerami strukturalnymi, które przechodzą w siebie nawzajem, najczęściej w wyniku migracji protonów, 5. związki organiczne, będące pochodnymi kwasów organicznych, w których grupa hydroksylowa została podstawiona grupą aminowa (pochodzącą od aminy lub amoniaku), 6. związek organiczny, którego cząsteczka zawiera grupę karboksylową () połączoną z grupą alifatyczną, alicykliczną, aromatyczną lub heterocykliczną amfolit Możliwe odpowiedzi: 1. substancja amfoteryczna; indywiduum chemiczne mogące w zależności od środowiska reakcji zachowywać się jak kwas lub jak zasada, 2. reakcja dwóch cząsteczek, w wyniku której powstaje główny produkt oraz odszczepiony zostaje produkt uboczny, 3. związek organiczny; pochodna amoniaku, w którego cząsteczce jeden, dwa lub trzy atomy wodoru są zastąpione grupami alifatycznymi (aminy alifatyczne) lub aromatycznymi (aminy aromatyczne), 4. zjawisko występowania stanu równowagi chemicznej między różnymi izomerami strukturalnymi, które przechodzą w siebie nawzajem, najczęściej w wyniku migracji protonów, 5. związki organiczne, będące pochodnymi kwasów organicznych, w których grupa hydroksylowa została podstawiona grupą aminowa (pochodzącą od aminy lub amoniaku), 6. związek organiczny, którego cząsteczka zawiera grupę karboksylową () połączoną z grupą alifatyczną, alicykliczną, aromatyczną lub heterocykliczną kondensacja Możliwe odpowiedzi: 1. substancja amfoteryczna; indywiduum chemiczne mogące w zależności od środowiska reakcji zachowywać się jak kwas lub jak zasada, 2. reakcja dwóch cząsteczek, w wyniku której powstaje główny produkt oraz odszczepiony zostaje produkt uboczny, 3. związek organiczny; pochodna amoniaku, w którego cząsteczce jeden, dwa lub trzy atomy wodoru są zastąpione grupami alifatycznymi (aminy alifatyczne) lub aromatycznymi (aminy aromatyczne), 4. zjawisko występowania stanu równowagi chemicznej między różnymi izomerami strukturalnymi, które przechodzą w siebie nawzajem, najczęściej w wyniku migracji protonów, 5. związki organiczne, będące pochodnymi kwasów organicznych, w których grupa hydroksylowa została podstawiona grupą aminowa (pochodzącą od aminy lub amoniaku), 6. związek organiczny, którego cząsteczka zawiera grupę karboksylową () połączoną z grupą alifatyczną, alicykliczną, aromatyczną lub heterocykliczną tautometria Możliwe odpowiedzi: 1. substancja amfoteryczna; indywiduum chemiczne mogące w zależności od środowiska reakcji zachowywać się jak kwas lub jak zasada, 2. reakcja dwóch cząsteczek, w wyniku której powstaje główny produkt oraz odszczepiony zostaje produkt uboczny, 3. związek organiczny; pochodna amoniaku, w którego cząsteczce jeden, dwa lub trzy atomy wodoru są zastąpione grupami alifatycznymi (aminy alifatyczne) lub aromatycznymi (aminy aromatyczne), 4. zjawisko występowania stanu równowagi chemicznej między różnymi izomerami strukturalnymi, które przechodzą w siebie nawzajem, najczęściej w wyniku migracji protonów, 5. związki organiczne, będące pochodnymi kwasów organicznych, w których grupa hydroksylowa została podstawiona grupą aminowa (pochodzącą od aminy lub amoniaku), 6. związek organiczny, którego cząsteczka zawiera grupę karboksylową () połączoną z grupą alifatyczną, alicykliczną, aromatyczną lub heterocykliczną
21
Ćwiczenie 4
Napisz nazwy amidów, których wzory podano poniżej.
R1c9TGULGJUbK
Ilustracja
Źródło: GroMar Sp. z o. o., licencja: CC BY 3.0.
RXnHWkta0GoM7
(Uzupełnij).
Rcza9giLTUhag
Ilustracja
Źródło: GroMar Sp. z o. o., licencja: CC BY-SA 3.0.
R1A5eaCxQDj2f
(Uzupełnij).
RNGeIeIdBjaNO
Ilustracja
Źródło: GroMar Sp. z o. o., licencja: CC BY-SA 3.0.
RrHJhqrbNJMUQ
(Uzupełnij).
Zwróć uwagę na podstawniki w strukturze związku.
Amid to pochodna kwasu pirydyno--karboksylowego (kwasu nikotynowego).
Nazwa amidu : -etylo--metyloformamid.
Nazwa amidu : -metylo--(propan--ylo)benzamid.
Nazwa amidu : amid kwasu pirydyno--karboksylowego (nikotynamid).
Na podstawie przedstawionego schematu, zapisz reakcje, jakim ulega mocznik.
R18QOkexHFbtK
Ilustracja przedstawiająca trzy probówki zawierające mocznik . Do pierwszej z nich dodawany jest chlorek sodu , do drugiej kwas siarkowy(<math aria‑label="sześć">VI) , do trzeciej wodorotlenek sodu .
Źródło: GroMar Sp. z o. o., licencja: CC BY-SA 3.0.
R1DT7dIS7wUbc
(Uzupełnij).
Odpowiedź zapisz w zeszycie do lekcji chemii, zrób zdjęcie, a następnie umieść je w wyznaczonym polu.
RBy4NdJ5CMCre
(Uzupełnij).
Zastanów się nad reaktywnością amidów.
reakcja nie zachodzi
31
Ćwiczenie 7
Amid kwasu octowego poddano hydrolizie zasadowej. Zapisz, jakie obserwacje można zaobserwować w czasie tej reakcji. Przedstaw proces w zapisie jonowym skróconym.
Rgxi25XFsBchl
(Uzupełnij).
Odpowiedź zapisz w zeszycie do lekcji chemii, zrób zdjęcie, a następnie umieść je w wyznaczonym polu.
R10aCPAmTcA83
(Uzupełnij).
Przypomnij sobie, czym jest pełny zapis reakcji a czym skrócony jonowy. Zastanów się, czy podczas reakcji dzieje się coś charakterystycznego, np. czy wydziela się jakiś osad.
Charakterystyczne dla tej reakcji jest wydzielanie gazu o specyficznym zapachu.
31
Ćwiczenie 8
Rozwiąż zadanie.
RgWWLDzbnOzZd
(Uzupełnij).
Odpowiedź zapisz w zeszycie do lekcji chemii, zrób zdjęcie, a następnie umieść je w wyznaczonym polu.
R1AD01RFlOU44
(Uzupełnij).
Jakie struktury mają amidy -rzędowe? Bazując na wzorze ogólnym kwasu karboksylowego, oblicz, o który chodzi.
Ogólny wzór kwasów monokarboksylowych:
Kwas monokarboksylowy, od którego pochodzi amid -rzędowy opisany w poleceniu, to kwas propanowy o wzorze: .
Wzór sumaryczny amidu: .
Od atomów ze wzoru sumarycznego amidu odejmujemy atomy pochodzące od reszty kwasowej: . Zatem grupa pochodząca od aminy może zostać zapisana wzorem: .
Wzór półstrukturalny amidu to: , a jego nazwa to: -etylopropanoamid.
31
Ćwiczenie 9
Rozwiąż zadanie.
Rv8uf3DlkIwtJ
(Uzupełnij).
Odpowiedź zapisz w zeszycie do lekcji chemii, zrób zdjęcie, a następnie umieść je w wyznaczonym polu.
Amidy to związki, które mogą być -, -, -rzędowe. Pamiętaj, jak wygląda wiązanie amidowe.
R1LhiO2tbWiGG
Ilustracja
Źródło: GroMar Sp. z o. o., licencja: CC BY-SA 3.0.
Rr6OFz86hWhru3
Ćwiczenie 9
Uzupełnij tekst. Reaktywność amidów kwasowych jest związana z ich 1. kwasami, 2. imidowej, 3. tautomerią amidowo‑iminową, 4. imidowa, 5. kondensacją, 6. zasadami, 7. karbonylową, 8. karboksylową, 9. amidowa, 10. amidowej. Polega ona na przemieszczaniu się protonu pomiędzy grupą aminową i 1. kwasami, 2. imidowej, 3. tautomerią amidowo‑iminową, 4. imidowa, 5. kondensacją, 6. zasadami, 7. karbonylową, 8. karboksylową, 9. amidowa, 10. amidowej w amidzie. Zlokalizowana na atomie azotu wolna para elektronowa pozwala na reagowanie z 1. kwasami, 2. imidowej, 3. tautomerią amidowo‑iminową, 4. imidowa, 5. kondensacją, 6. zasadami, 7. karbonylową, 8. karboksylową, 9. amidowa, 10. amidowej (forma 1. kwasami, 2. imidowej, 3. tautomerią amidowo‑iminową, 4. imidowa, 5. kondensacją, 6. zasadami, 7. karbonylową, 8. karboksylową, 9. amidowa, 10. amidowej), natomiast dzięki możliwości odłączenia protonu z grupy hydroksylowej w formie 1. kwasami, 2. imidowej, 3. tautomerią amidowo‑iminową, 4. imidowa, 5. kondensacją, 6. zasadami, 7. karbonylową, 8. karboksylową, 9. amidowa, 10. amidowej, związek ten może reagować z 1. kwasami, 2. imidowej, 3. tautomerią amidowo‑iminową, 4. imidowa, 5. kondensacją, 6. zasadami, 7. karbonylową, 8. karboksylową, 9. amidowa, 10. amidowej.
Uzupełnij tekst. Reaktywność amidów kwasowych jest związana z ich 1. kwasami, 2. imidowej, 3. tautomerią amidowo‑iminową, 4. imidowa, 5. kondensacją, 6. zasadami, 7. karbonylową, 8. karboksylową, 9. amidowa, 10. amidowej. Polega ona na przemieszczaniu się protonu pomiędzy grupą aminową i 1. kwasami, 2. imidowej, 3. tautomerią amidowo‑iminową, 4. imidowa, 5. kondensacją, 6. zasadami, 7. karbonylową, 8. karboksylową, 9. amidowa, 10. amidowej w amidzie. Zlokalizowana na atomie azotu wolna para elektronowa pozwala na reagowanie z 1. kwasami, 2. imidowej, 3. tautomerią amidowo‑iminową, 4. imidowa, 5. kondensacją, 6. zasadami, 7. karbonylową, 8. karboksylową, 9. amidowa, 10. amidowej (forma 1. kwasami, 2. imidowej, 3. tautomerią amidowo‑iminową, 4. imidowa, 5. kondensacją, 6. zasadami, 7. karbonylową, 8. karboksylową, 9. amidowa, 10. amidowej), natomiast dzięki możliwości odłączenia protonu z grupy hydroksylowej w formie 1. kwasami, 2. imidowej, 3. tautomerią amidowo‑iminową, 4. imidowa, 5. kondensacją, 6. zasadami, 7. karbonylową, 8. karboksylową, 9. amidowa, 10. amidowej, związek ten może reagować z 1. kwasami, 2. imidowej, 3. tautomerią amidowo‑iminową, 4. imidowa, 5. kondensacją, 6. zasadami, 7. karbonylową, 8. karboksylową, 9. amidowa, 10. amidowej.