Sprawdź się
Czy za pomocą uniwersalnego papierka wskaźnikowego można odróżnić roztwór wodny fenolu od roztworu wodnego alkoholu?
Odpowiedz i uzasadnij.
Zaproponuj doświadczenie pozwalające na wykrycie ugrupowania fenolowego w układzie. Narysuj schemat doświadczenia oraz wyjaśnij wynik tego doświadczenia.
Zaproponuj doświadczenie pozwalające na wykrycie ugrupowania fenolowego w układzie. Opisz obserwacje i wnioski wynikające z tego dświadczenia
Zaproponuj doświadczenie potwierdzające fakt, że fenol jest słabszym kwasem od kwasu węglowego. W tym celu narysuj schemat doświadczenia i zapisz stosując wzory sumaryczne równanie zachodzącej reakcji w formie cząsteczkowej.
Zaproponuj doświadczenie potwierdzające fakt, że fenol jest słabszym kwasem od kwasu węglowego. Zapisz równanie reakcji.
Fenol, jako związek aromatyczny, ulega nitrowaniu. Zapisz równanie reakcji mononitrowania fenolu, wiedząc, że przebiega ona w obecności rozcieńczonego kwasu azotowego. Podaj systematyczne nazwy produktów organicznych.
Prowadząc długotrwałe nitrowanie fenolu ze stężonym kwasem azotowym, otrzymuje się związek, zwany potocznie kwasem pikrynowym. Wiedząc, że w cząsteczce tego kwasu są trzy grupy nitrowe, zapisz równanie reakcji jego otrzymywania.
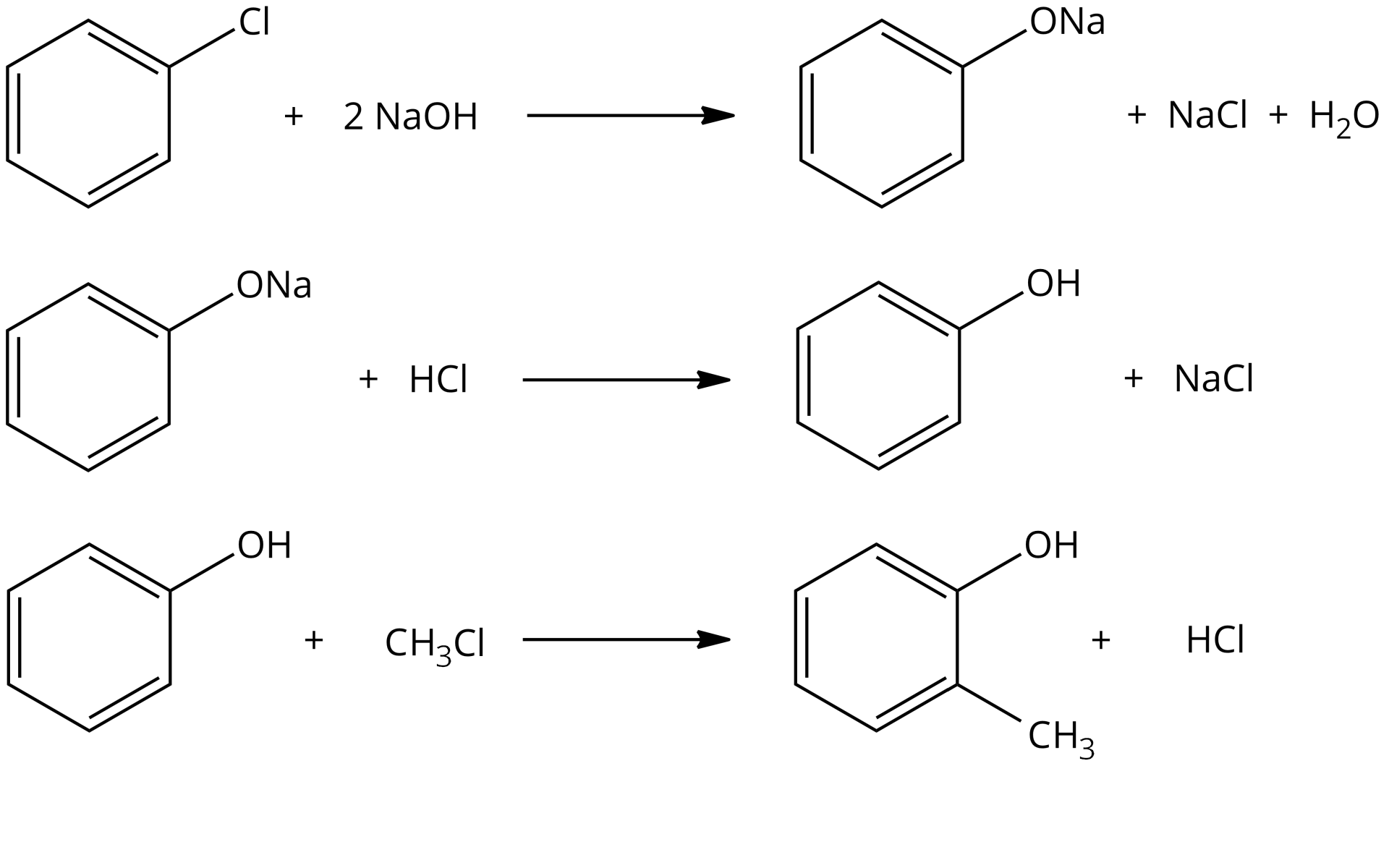
Zaproponuj ciąg reakcji chemicznych, jakie należałoby przeprowadzić, aby z karbidu i dowolnych odczynników nieorganicznych otrzymać 2‑metylofenol. Stosując wzory półstrukturalne związków organicznych, napisz równania tych reakcji w formie cząsteczkowej.







