Sprawdź się

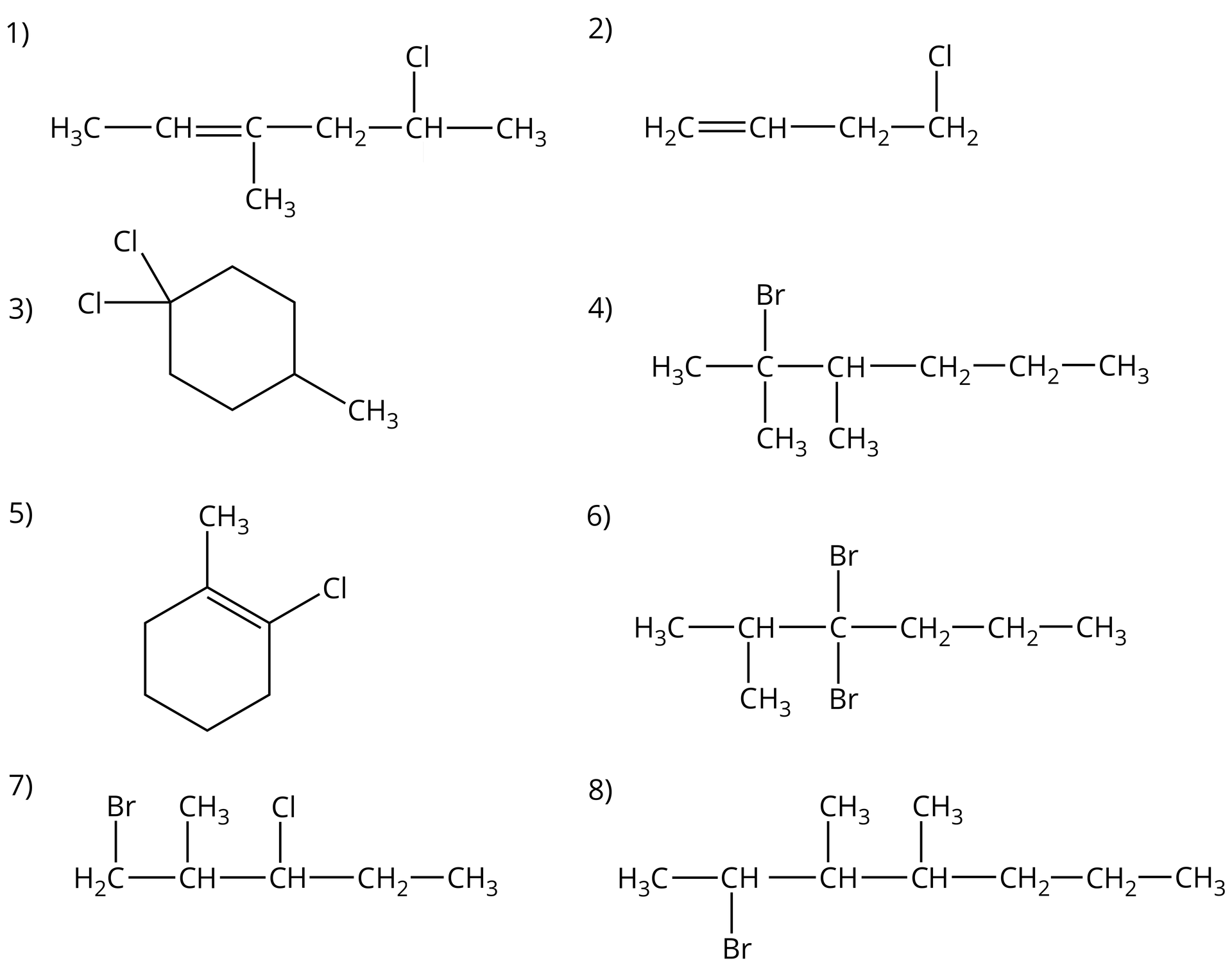
Podaj nazwy systematyczne następujących halogenków alkilowych o podanych poniżej wzorach:

Podaj nazwy systematyczne wszystkich łańcuchowych izomerów o wzorze .
Określ rzędowość następujących halogenków alkilowych, których wzory przedstawiono poniżej:

Adam miał za zadanie podać nazwę związku o podanym poniżej wzorze. Oceń, czy napisał ją poprawnie. Jeżeli uznasz, że jest niepoprawna, zapisz poprawną nazwę tego związku.
Adam miał za zadanie podać nazwę związku o opisanym wzorze. Oceń, czy napisał ją poprawnie. Jeżeli uznasz, że jest niepoprawna, zapisz poprawną nazwę tego związku.

Odpowiedź Adama: ,-dichloro--bromo--metylobutan.
Purpura tyryjska (znana także jako purpura antyczna lub starożytna) to barwnik znany od zarania dziejów, wyodrębniany z odmiany rozkolca (gatunku ślimaka morskiego). Jej głównym składnikiem jest pewien organiczny związek chemiczny, którego wzór przedstawiono poniżej. Jest to pochodna indyga, która zawiera dwa atomy pewnego fluorowca, przyłączonego do pierścieni indolowych w pozycjach , co zmienia barwę z niebieskiej na purpurową. Masa molowa tego związku wynosi . Dokonując odpowiednich obliczeń, ustal, jaki halogen wchodzi w skład badanego związku:

wiedząc, że jego wzór sumaryczny jest następujący .
Pięciu uczniów: Adam, Bartek, Kacper, Paweł i Dominik, mieli za zadanie podać nazwę pewnego związku organicznego. Tylko jeden z nich napisał poprawną nazwę. Wskaż, który uczeń wykonał to zadanie poprawnie, a następnie do odpowiedzi pozostałych uczniów dobierz komentarz, który wskazuje, co dany uczeń zrobił niewłaściwie.

a) Adam : ,-dibromo -,,-trichloro --etylo--metyloheks--en
b) Bartek: ,-dibromo-,,-trichloro--metylookt--en
c) Kacper: ,,-trichloro--metylo-,-dibromokt--en
d) Paweł: ,-dibromo-,,-trichloro--metylookt--en
e) Dominik: ,-bromo-,,-chloro--metylookt--en
W nazwie nie użył mnożników wskazujących na liczbę danego podstawnika 1. Kacper, 2. Bartek, 3. Paweł, 4. Dominik, 5. Adam.
Błędnie określił długość łańcucha głównego 1. Kacper, 2. Bartek, 3. Paweł, 4. Dominik, 5. Adam.
W nazwie zastosował błędną kolejność wymieniania nazw podstawników 1. Kacper, 2. Bartek, 3. Paweł, 4. Dominik, 5. Adam.
Błędnie ponumerował łańcuch główny 1. Kacper, 2. Bartek, 3. Paweł, 4. Dominik, 5. Adam.
Pewien halogenek alkilowy składał się m.in. z atomów dwóch różnych fluorowców i . O pierwiastku wiadomo, że jego konfiguracja elektronowa to . Masa cząsteczkowa tego związku wynosi stanowi masowych całego związku. Napisz w zeszycie wzór sumaryczny tego halogenku, a następnie narysuj wzór półstrukturalny jego izomeru, który w swojej strukturze nie posiada atomu węgla stanowiącego centrum chiralności. Podaj nazwę izomeru.
