Sprawdź się
Przyporządkuj wymienione cechy do opisywanych przez nie związków.
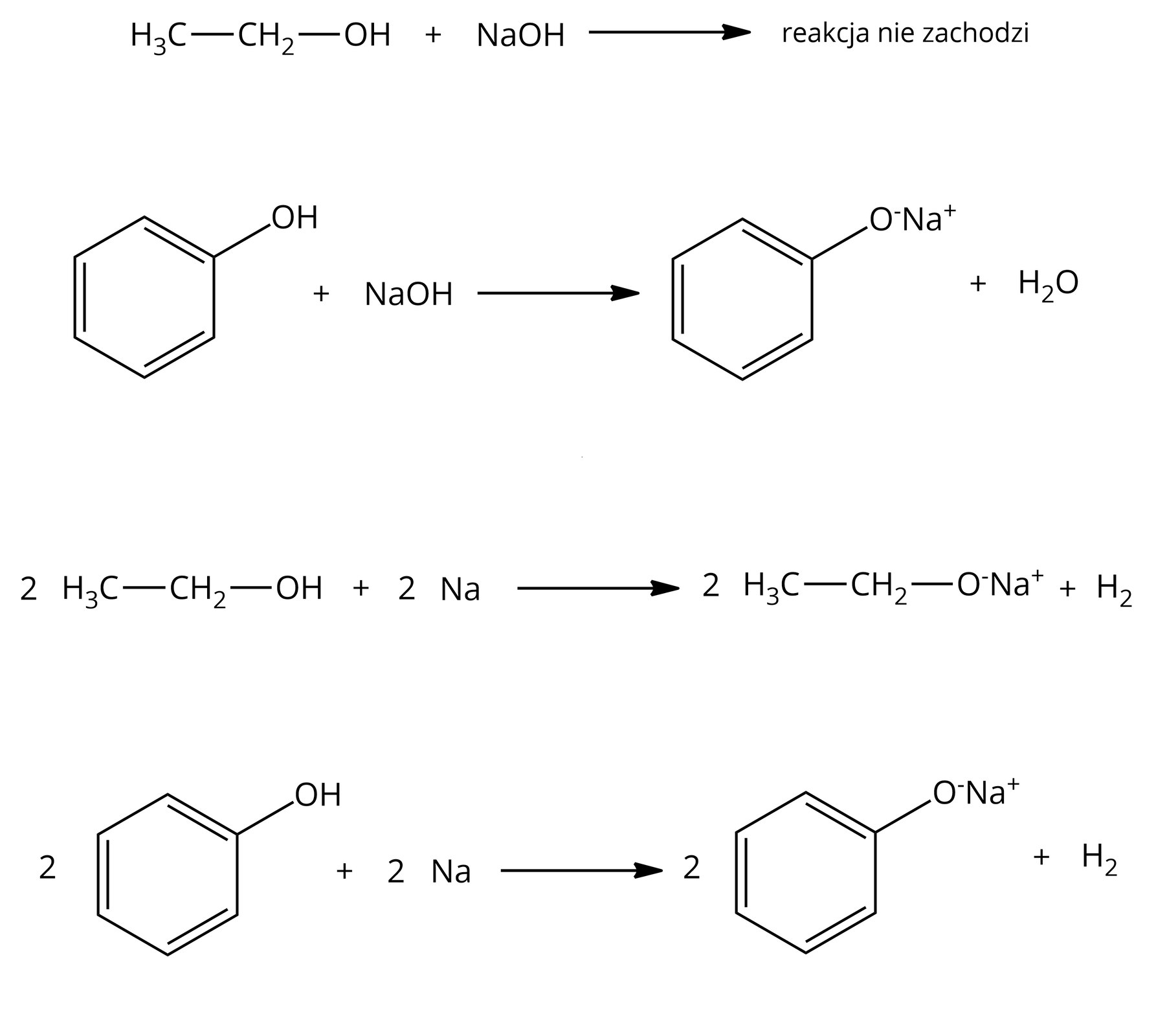
Uzupełnij poniższe równania reakcji lub zaznacz, że reakcja nie zachodzi.
Przyporządkuj wymienione zastosowania w życiu codziennym do odpowiedniej grupy związków.
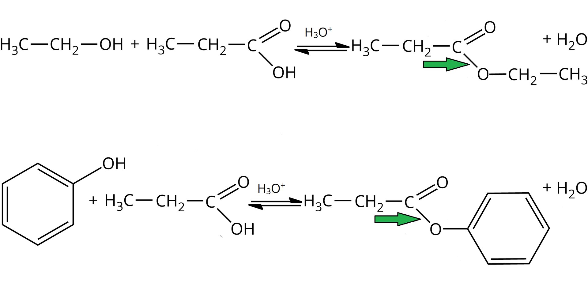
Zarówno alkohole, jak i fenole ulegają reakcji estryfikacji. W poniższym szkicowniku zapiano równania reakcji chemicznych etanolu oraz fenolu z kwasem propanowym. Zaznacz strzałką, w którym miejscu występuje wiązanie estrowe. Następnie wykonaj polecenia 1. i 2.
Odpowiedz na pytanie, od jakich związków pochodzą atomy tworzące te wiązania.
Zapisz nazwy systematyczne powstałych estrów.
Podaj nazwy systematyczne produktów reakcji metanolu i fenolu z kwasem azotowym.
Adrenalina (epinefryna) to hormon odgrywający istotną rolę w szybkich reakcjach organizmu człowieka i zwierząt na stresujące czynniki. Jej wzór półstrukturalny przedstawiono poniżej:

Odpowiedz na pytanie, czy wodny roztwór adrenaliny ulegnie reakcji z wodnym roztworem . Odpowiedź uzasadnij.
Produkt reakcji fenolu z kwasem azotowym() należy do grupy nitrozwiązków. Natomiast ester powstający w wyniku reakcji alkoholu z kwasem azotowym() nie należy do grupy nitrozwiązków, pomimo że zawiera grupę nitrową . Uzasadnij tę różnicę.

