Sprawdź się
Zaznacz prawidłową odpowiedź.
Poliestry to polimery, których łańcuchy główne zbudowane są z:
- grup estrowych.
- grup etylenowych.
- grup alkoksylowych.
- grup karbonylowych.
Dopasuj pojęcia do ich właściwych definicji.
Proces przekształcania odpadów z tworzyw sztucznych w nowe, przydatne materiały i/lub przedmioty., Polimer stosowany masowo do produkcji włókien syntetycznych i opakowań., Proces biochemicznego rozkładu związków organicznych na związki nieorganiczne, w wyniku działania saprobiontów., Reakcja łączenia się monomerów w wielocząsteczkowe związki, zwane polimerami (łańcuchowe lub sieciowe), które posiadają wielokrotnie większe masy cząsteczkowe., Reakcja łączenia się monomerów, zawierających przynajmniej dwie grupy funkcyjne, przebiega stopniowo, w wyniku przebiegu której powstaje polimer oraz produkt uboczny (np. woda, metanol, glikol)
| Definicja | Pojęcie |
|---|---|
| Proces przekształcania odpadów z tworzyw sztucznych w nowe, przydatne materiały i/lub przedmioty. | |
| Polimer stosowany masowo do produkcji włókien syntetycznych i opakowań. | |
| Proces biochemicznego rozkładu związków organicznych na związki nieorganiczne, w wyniku działania saprobiontów. | |
| Reakcja łączenia się monomerów w wielocząsteczkowe związki, zwane polimerami (łańcuchowe lub sieciowe), które posiadają wielokrotnie większe masy cząsteczkowe. | |
| Reakcja łączenia się monomerów, zawierających przynajmniej dwie grupy funkcyjne, przebiega stopniowo, w wyniku przebiegu której powstaje polimer oraz produkt uboczny (np. woda, metanol, glikol) |
Wskaż prawidłową odpowiedź.
Poliakrylany można otrzymać w wyniku podanej poniżej reakcji.
Poliakrylany można otrzymać w wyniku opisanej reakcji.

Na podstawie tej reakcji, zapisz i podaj nazwy substratów, jakie są potrzebne do otrzymania polimeru, którego fragment łańcucha przedstawiono poniżej.
Na podstawie tej reakcji, podaj nazwy substratów, jakie są potrzebne do otrzymania polimeru, którego fragment łańcucha opisano poniżej.

Na podstawie rysunku, odpowiedz na pytanie. Podpisz odpowiednio rysunki.
Na podstawie opisu rysunków, odpowiedz na pytanie. Podpisz odpowiednio rysunki.

Kolor zielony – połączone mery
Kolor czerwony – mer aktywny, odpowiedzialny za propagację (np. mer w formie rodnikowej)
Reakcja przedstawiona na rysunku 2: .
Który ze wskazanych schematów dotyczy reakcji łańcuchowej, a który kondensacji?
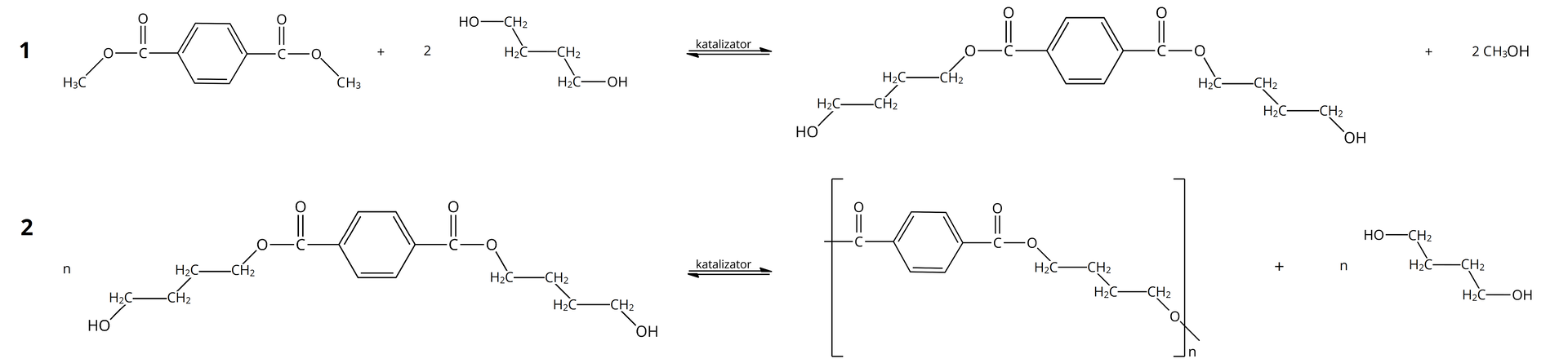
Przeanalizuj poniższą reakcję polikondensacji i uzupełnij jej reagenty. Jak nazywa się ta reakcja? Co to za poliester powstały w wyniku tej reakcji?

Rozwiąż zadanie.




