Sprawdź się
Poniższa tabela przedstawia zawartość kofeiny w wybranych napojach.
Rodzaj napoju | Ilość kofeiny [] |
|---|---|
Kawa mielona | 85 |
Kawa rozpuszczalna | 50 |
kawa bezkofeinowa | 4 |
Herbata w torebkach | 40 |
Herbata liściasta | 8 |
Herbata czarna | 40 |
Herbata zielona | 14 |
Kakao | 17 |
Napój energetyzujący | 30‑55 |
Napój izotoniczny | 16 |
Napój typu „cola” | 10 |
Indeks górny Źródło: Wiśniewska‑Łowigus M., Drobig P., Zagrożenia związane ze spożywaniem kofeiny w ciąży, „Pielęgniarstwo Polskie” 2013, 1, 47, s. 28‑33. Indeks górny koniecŹródło: Wiśniewska‑Łowigus M., Drobig P., Zagrożenia związane ze spożywaniem kofeiny w ciąży, „Pielęgniarstwo Polskie” 2013, 1, 47, s. 28‑33.
Jednorazowa dawka śmiertelna kofeiny dla człowieka o masie 66 kg wynosi 10 g tej substancji. Oblicz, ile litrów napoju z kawy mielonej w krótkim przedziale czasu musiałby wypić ten człowiek, aby ilość kofeiny okazała się dla niego śmiertelna. Ilość kofeiny, zawarta w sporządzanym przez niego napoju z kawy mielonej, wynosi 85 mg/100 . Wynik podaj z dokładnością do dwóch miejsc po przecinku.
Dawka śmiertelna nikotyny u człowieka wynosi 0,5‑1,0 . Oblicz, ile papierosów w krótkim czasie musiałby wypalić człowiek o masie 100 kg, aby osiągnąć min. próg dawki śmiertelnej dla tej substancji. Załóż, że jeden papieros dostarcza 1 mg nikotyny do organizmu.
Jednym z napojów alkoholowych jest piwo. Zawartość objętościowa etanolu w piwie wynosi 5%. Oblicz, ile gramów czystego alkoholu etylowego zawiera puszka piwa o objętości 500 . Gęstość etanolu wynosi 0,789 .
Dla dorosłego człowieka o masie 75 kg dawka śmiertelna czystego etanolu wynosi ok. 450 g. Oblicz, jaką objętość wódki, zawierającej 40% objętościowych alkoholu etylowego, musiałby wypić taki człowiek, aby osiągnąć dawkę śmiertelną. Gęstość etanolu wynosi 0,789 . Wynik podaj z dokładnością do jednego miejsca po przecinku i w decymetrach sześciennych.
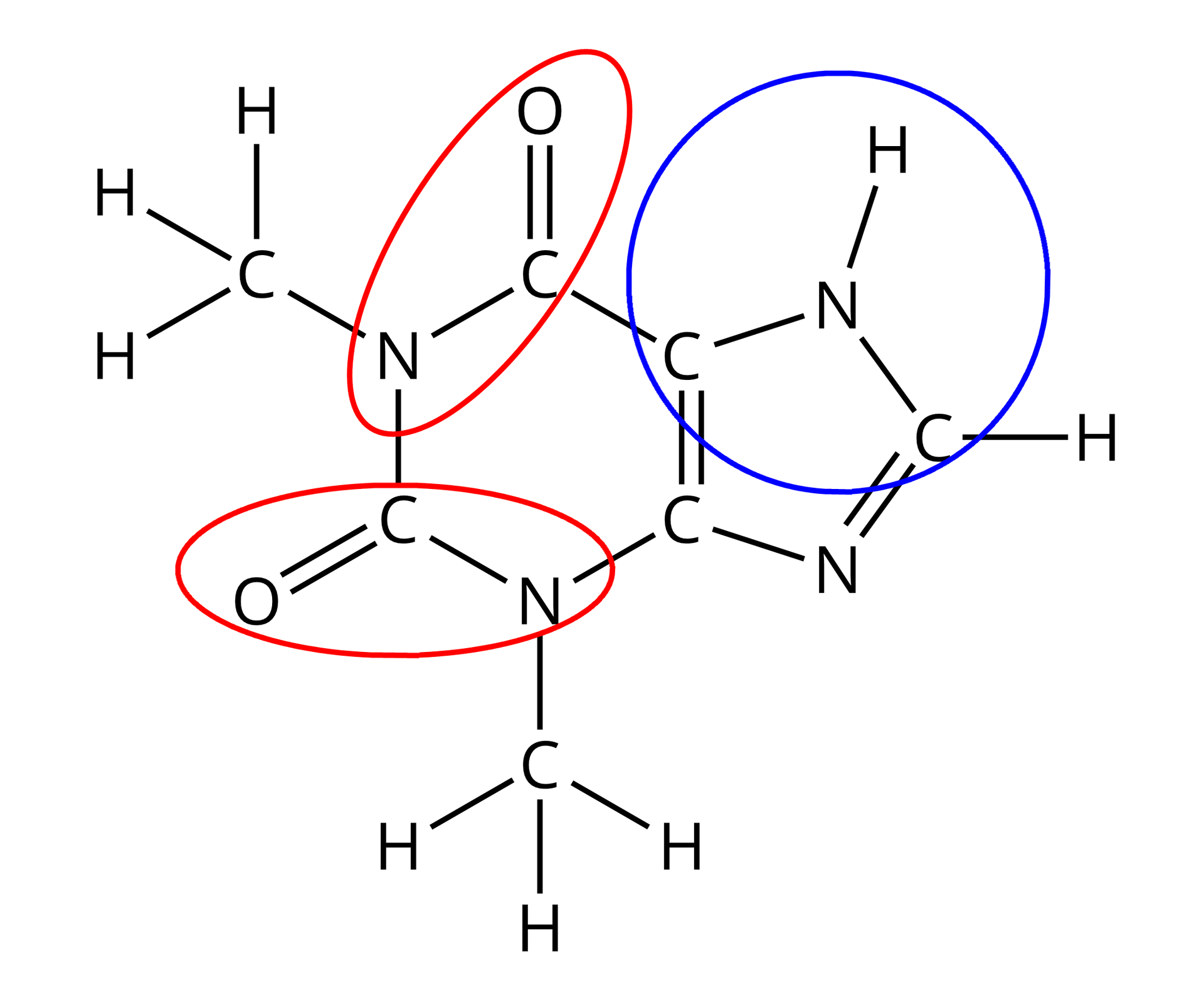
W liściach herbaty, oprócz kofeiny, występuje również teofilina. Działa m.in. moczopędnie, rozszerza naczynia krwionośne i oskrzela, a także rozkurcza drogi żółciowe. Poniżej przedstawiono wzór strukturalny teofiliny.
Zaznacz i podaj nazwy wszystkich grup funkcyjnych we wzorze teofiliny.
W liściach herbaty, oprócz kofeiny, występuje również teofilina. Działa m.in. moczopędnie, rozszerza naczynia krwionośne i oskrzela, a także rozkurcza drogi żółciowe. Zapoznaj się z opisem wzoru strukturalnego teofiliny.
Podaj nazwy wszystkich grup funkcyjnych we wzorze teofiliny.
