Your task is to get to know values of squares, cubes, square roots and cube roots of consecutive natural numbersnatural numbersnatural numbers from 1 to 100.
Create the mental mapmental mapmental map describing the concept of the roots and write down definitions.
RwtE8KjOTHYC01
Geogebra aplet - kwadraty, sześciany i pierwiastki. Galeria z opisami alternatywnymi poniżej.
Geogebra aplet - kwadraty, sześciany i pierwiastki. Galeria z opisami alternatywnymi poniżej.
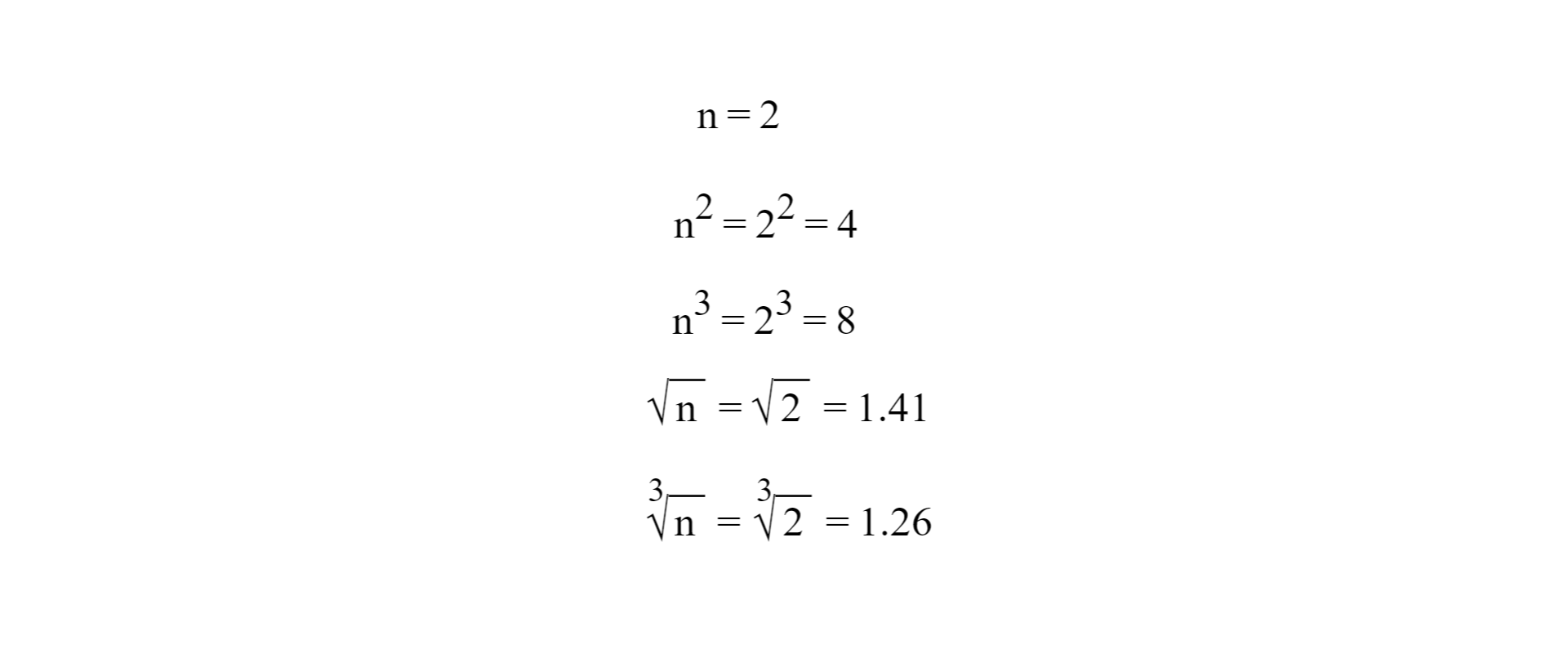
Na rysunku znajdują się zapisy: n równa się dwa, n do kwadratu równa się dwa do kwadratu równa się cztery, n do trzeciej potęgi równa się dwa do potęgi trzeciej równa się osiem, pierwiastek kwadratowy z n równa się pierwiastek kwadratowy z dwa równa się jeden kropka czterdzieści jeden, pierwiastek sześcienny z n równa się pierwiastek sześcienny z dwa równa się jeden kropka dwadzieścia sześć.
Squares, cubes and elements - 1
Source: GroMar, licencja: CC BY 3.0.
R1Js7GsDvCAan
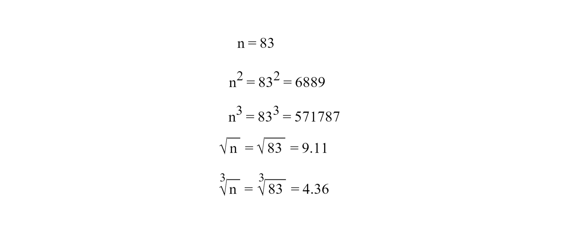
Na rysunku znajdują się zapisy: n równa się osiemdziesiąt trzy, n do kwadratu równa się osiemdziesiąt trzy do kwadratu równa się sześć tysięcy osiemset osiemdziesiąt dziewięć, n do trzeciej potęgi równa się osiemdziesiąt trzy do potęgi trzeciej równa się pięćset siedemdziesiąt jeden tysięcy siedemset osiemdziesiąt siedem, pierwiastek kwadratowy z n równa się pierwiastek kwadratowy z osiemdziesiąt trzy równa się dziewięć kropka jedenaście, pierwiastek sześcienny z n równa się pierwiastek sześcienny z osiemdziesiąt trzy równa się cztery kropka trzydzieści sześć.
Calculate the length of the side of a cube whose volume is equal to:
a)
b)
c)
Task 7
An extra task:
Calculate .
Do the revision exercises.
Exercises
RGNmPPTt6PQHz
Exercise 1
Wersja alternatywna ćwiczenia: If then: Możliwe odpowiedzi: 1. , 2. , 3. , 4.
Wersja alternatywna ćwiczenia: If then: Możliwe odpowiedzi: 1. , 2. , 3. , 4.
If then:
zadanie
Source: GroMar, licencja: CC BY 3.0.
Exercise 2
Calculate the length of the side of a cube whose volume is 1728 cmIndeks górny 33.
12 cm.
Exercise 3
Calculate
Describe the reasoning in English.
RYL00CRTI1zba
Exercise 4
Wersja alternatywna ćwiczenia: Match English terms with their Polish equivalents. square root of a number Możliwe odpowiedzi: 1. liczby naturalne, 2. pierwiastek kwadratowy, 3. kwadrat liczby, 4. sześcian liczby, 5. pierwiastek sześcienny natural numbers Możliwe odpowiedzi: 1. liczby naturalne, 2. pierwiastek kwadratowy, 3. kwadrat liczby, 4. sześcian liczby, 5. pierwiastek sześcienny cube root of a number Możliwe odpowiedzi: 1. liczby naturalne, 2. pierwiastek kwadratowy, 3. kwadrat liczby, 4. sześcian liczby, 5. pierwiastek sześcienny square of a number Możliwe odpowiedzi: 1. liczby naturalne, 2. pierwiastek kwadratowy, 3. kwadrat liczby, 4. sześcian liczby, 5. pierwiastek sześcienny cube of a number Możliwe odpowiedzi: 1. liczby naturalne, 2. pierwiastek kwadratowy, 3. kwadrat liczby, 4. sześcian liczby, 5. pierwiastek sześcienny
Wersja alternatywna ćwiczenia: Match English terms with their Polish equivalents. square root of a number Możliwe odpowiedzi: 1. liczby naturalne, 2. pierwiastek kwadratowy, 3. kwadrat liczby, 4. sześcian liczby, 5. pierwiastek sześcienny natural numbers Możliwe odpowiedzi: 1. liczby naturalne, 2. pierwiastek kwadratowy, 3. kwadrat liczby, 4. sześcian liczby, 5. pierwiastek sześcienny cube root of a number Możliwe odpowiedzi: 1. liczby naturalne, 2. pierwiastek kwadratowy, 3. kwadrat liczby, 4. sześcian liczby, 5. pierwiastek sześcienny square of a number Możliwe odpowiedzi: 1. liczby naturalne, 2. pierwiastek kwadratowy, 3. kwadrat liczby, 4. sześcian liczby, 5. pierwiastek sześcienny cube of a number Możliwe odpowiedzi: 1. liczby naturalne, 2. pierwiastek kwadratowy, 3. kwadrat liczby, 4. sześcian liczby, 5. pierwiastek sześcienny
Match English terms with their Polish equivalents.
pierwiastek sześcienny, kwadrat liczby, liczby naturalne, sześcian liczby, pierwiastek kwadratowy
square root of a number
natural numbers
cube root of a number
square of a number
cube of a number
R95HqodRjgEWe1
Interaktywna gra, polegająca na łączeniu wyrazów w pary w ciągu jednej minuty. Czas zaczyna upływać wraz z rozpoczęciem gry. Jeden ruch to odkrywanie najpierw jednej potem drugiej karty z wyrazem. Każdy wyraz jest odczytywany. Kolejny ruch to odkrywanie trzeciej i czwartej karty. W ten sposób odsłuchasz wszystkie wyrazy. Nawigacja z poziomu klawiatury za pomocą strzałek, odsłuchiwanie wyrazów enterem lub spacją. Znajdź wszystkie pary wyrazów.
Interaktywna gra, polegająca na łączeniu wyrazów w pary w ciągu jednej minuty. Czas zaczyna upływać wraz z rozpoczęciem gry. Jeden ruch to odkrywanie najpierw jednej potem drugiej karty z wyrazem. Każdy wyraz jest odczytywany. Kolejny ruch to odkrywanie trzeciej i czwartej karty. W ten sposób odsłuchasz wszystkie wyrazy. Nawigacja z poziomu klawiatury za pomocą strzałek, odsłuchiwanie wyrazów enterem lub spacją. Znajdź wszystkie pary wyrazów.
Match Polish terms with their English equivalents.
kwadrat liczby
square root of a number
pierwiastek sześcienny
mental map
cube of a number
mapa mentalna
cube root of a number
pierwiastek kwadratowy
square of a number
sześcian liczby
Source: Zespół autorski Politechniki Łódzkiej, licencja: CC BY 3.0.