Przemyśl
Film samouczek
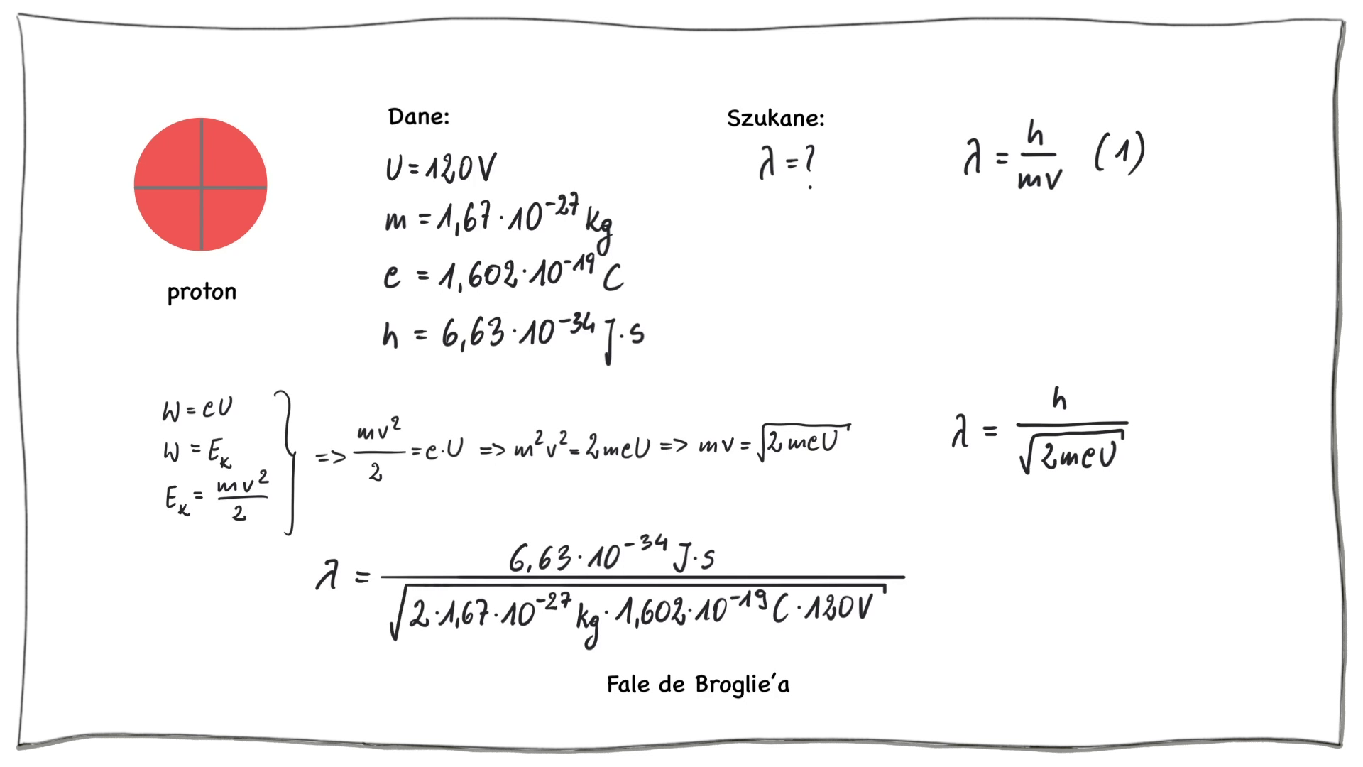
Na poniższym filmie przedstawiono sposób obliczania długości fali de Broglie'a dla rozpędzonego protonu.
Źródło: Politechnika Warszawska Wydział Fizyki, licencja: CC BY 4.0. Licencja: https://creativecommons.org/licenses/by/4.0/deed.pl.

Film dostępny pod adresem /preview/resource/RjYmXn1IiBIfm
Źródło: Politechnika Warszawska Wydział Fizyki, licencja: CC BY 4.0. Licencja: https://creativecommons.org/licenses/by/4.0/deed.pl.
Zapoznaj się z audiodeskrypcją samouczka.
Polecenie 1
Posługując się wzorem na długość fali de Broglie’a protonu, przyspieszonego napięciem U, oblicz stosunek długości fali de Broglie’a dwóch cząstek o masach mIndeks dolny 11 i mIndeks dolny 22 oraz ładunkach qIndeks dolny 11 i qIndeks dolny 22.
Polecenie 2