Grafika przedstawia kilka podwójnych helis DNA na niebieskim tle.
Grafika przedstawia kilka podwójnych helis DNA na niebieskim tle.
Składniki organiczne
DNA pełni rolę nośnika informacji w organizmach żywych. Długość DNA zawartego w jednej ludzkiej komórce wynosi ok. 2 m.
Źródło: Pixabay, domena publiczna.
Kwasy nukleinowe
Twoje cele
Omówisz budowę DNA i RNA.
Wyjaśnisz rolę DNA jako nośnika informacji genetycznej.
Omówisz funkcje RNA.
Kwasy nukleinowe to związki organiczne, które przechowują i przekazują informacje genetyczną w organizmach żywych. Dwa główne typy kwasów nukleinowych to DNA (kwas deoksyrybonukleinowy) i RNA (kwas rybonukleinowy), które różnią się budową i są niezbędne do prawidłowego funkcjonowania komórek i dziedziczenia cech.
DNA - kwas deoksyrybonukleinowy
Kwas deoksyrybonukleinowy (DNA) jest jednym z kwasów nukleinowych występujących w komórkach prokariotycznych i eukariotycznych. Podstawową jednostką budującą kwasy nukleinowe jest nukleotydnukleotydnukleotyd.
nukleotyd
podstawowa jednostka budowy (monomer) kwasów nukleinowych; pochodna nukleozydu, w której grupa hydroksylowa (–OH) części cukrowej jest połączona z cząsteczką kwasu fosforowego wiązaniem estrowym
W skład nukleotydów tworzących DNA wchodzą następujące elementy:
NukleozydnukleozydNukleozyd, zbudowany z jednej z zasad azotowych (adeniny, guaniny, cytozyny lub tyminy) połączonej z pierwszym atomem węgla (1′) pięciowęglowego cukru deoksyrybozydeoksyrybozydeoksyrybozy.
Reszta kwasu fosforowego(V) połączona z grupą hydroksylową nukleozydu związaną z piątym atomem węgla (5′) reszty cukrowej.
nukleozyd
związek organiczny zbudowany z zasady azotowej połączonej wiązaniem N‑glikozydowym z pentozą
deoksyrybozy
pięciowęglowy cukier; składnik nukleotydów DNA
Zasady azotowe budujące DNA dzieli się na:
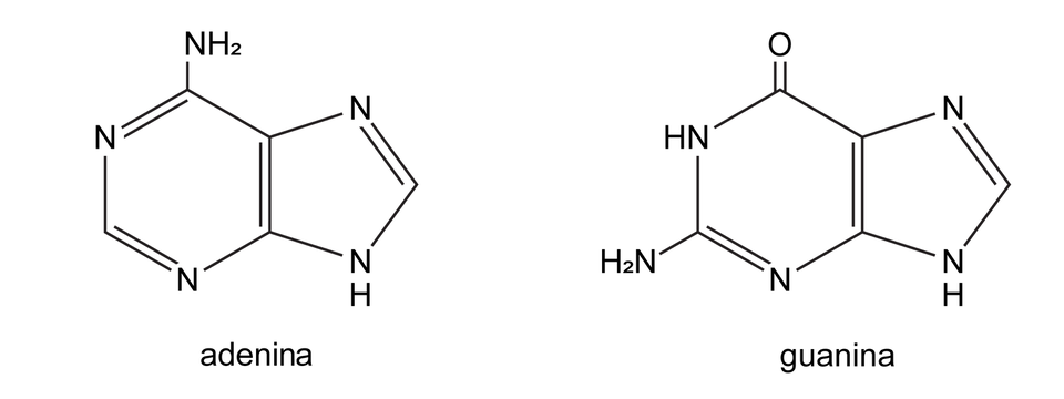
puryny - do których należą adenina (A) i guanina (G), mają podwójny pierścień w swojej strukturze chemicznej.
R36ZXQXHZGST2
Grafika przedstawia parę zasad azotowych – adeninę oraz guaninę. Oba związki zbudowane są z dwóch pierścieni węglowo‑azotowych. Po lewej jest adenina. Jej cząsteczka składa się z dwóch połączonych pierścieni – jednego sześciokątnego (pierścień pirymidynowy) i jednego pięciokątnego (pierścień imidazolowy). Oba pierścienie są zbudowane z naprzemiennie ułożonych atomów węgla i azotu. Na sześciokątnym pierścieniu adeniny, w jednym z jego rogów, znajduje się grupa aminowa (-NH₂), składająca się z atomu azotu i dwóch wodoru. Adenina ma kilka atomów azotu rozmieszczonych w pierścieniach. Po prawej stronie jest guanina. Na sześciokątnym pierścieniu, w jednym z jego rogów, znajduje się grupa karbonylowa, czyli atom tlenu połączony podwójnym wiązaniem z węglem. Po przeciwnej stronie cząsteczki, na pięciokątnym pierścieniu, jest grupa aminowa (-NH₂), składająca się z atomu azotu i dwóch wodoru. Guanina posiada także kilka atomów azotu rozmieszczonych w obu pierścieniach.
Zasady azotowe adenina (A) i guanina (G) to puryny złożone z dwóch sprzężonych pierścieni węglowo‑azotowych.
Źródło: Englishsquare.pl Sp. z o.o., licencja: CC BY-SA 3.0.
pirymidyny - obejmujące cytozynę (C) i tyminę (T), posiadają pojedynczy pierścień.
R17TCEV1ZFXRA
Grafika przedstawia parę zasad azotowych – cytozynę oraz tyminę. Oba związki zbudowane są z pojedynczego pierścienia węglowo‑azotowego. Po lewej stronie znajduje się cząsteczka cytozyny. Ma ona kształt sześciokąta, przypominającego pierścień. Ten pierścień to struktura pirymidynowa, utworzona z atomów węgla i azotu, ułożonych naprzemiennie. Na jednym z rogów sześciokąta znajduje się grupa aminowa, czyli dwa połączone atomy wodoru z azotem. Po przeciwnej stronie pierścienia znajduje się atom tlenu, tworzący tzw. grupę karbonylową. Po prawej stronie ilustracji jest cząsteczka tyminy. Również ma kształt sześciokąta, identycznego pod względem podstawowej struktury z cytozyną – to także pierścień pirymidynowy. Jednak w odróżnieniu od cytozyny, zamiast grupy aminowej, tymina ma dodatkową grupę metylową, czyli pojedynczy atom węgla z trzema atomami wodoru. Znajduje się ona na jednym z rogów sześciokąta. Podobnie jak cytozyna, tymina ma grupę karbonylową, ale tutaj występują dwie takie grupy, rozmieszczone symetrycznie po przeciwnych stronach pierścienia.
Zasady azotowe cytozyna (C) i tymina (T) to pirymidyny. Każda z nich zbudowana jest z pojedynczego pierścienia węglowo‑azotowego.
Źródło: Englishsquare.pl Sp. z o.o., licencja: CC BY-SA 3.0.
RJ8GFOS27BU33
Grafika przedstawia budowę nukleotydu. Składa się on z reszty kwasu fosforowego pięć połączonego wiązaniem estrowym z pierścieniem deoksyrybozy. Pięciowęglowa deoksyryboza połączona jest wiązaniem N‑glikozydowym z zasadą azotową.
Budowa nukleotydu.
Źródło: Englishsquare.pl Sp. z o.o., licencja: CC BY-SA 3.0.
W wyniku połączenia wielu nukleotydów powstaje łańcuch polinukleotydowy. Nukleotydy w jednym łańcuchu połączone są ze sobą wiązaniami fosfodiestrowymi w ten sposób, że reszta fosforanowa przyłączona do węgla 5′ deoksyrybozy jednego nukleotydu łączy się z węglem 3′ deoksyrybozy drugiego nukleotydu.
W każdym łańcuchu DNA reszta fosforanowa przy końcu 5′ w pierwszym nukleotydzie nie jest związana z innym, a ostatni nukleotyd w łańcuchu ma wolną grupę 3′-hydroksylową w deoksyrybozie. Stąd każdy łańcuch DNA wykazuje polarność budowy, tzn. ma dwa różne końce określane jako koniec 3' i 5'.
RC4H4SJ88OR11
Grafika przedstawia budowę polinukleotydu. Pojedynczy nukleotyd składa się z reszty kwasu fosforowego pięć połączonego wiązaniem estrowym z pierścieniem deoksyrybozy. Pięciowęglowa deoksyryboza połączona jest wiązaniem N‑glikozydowym z zasadą azotową. Poszczególne nukleotydy w łańcuchu polinukleotydowym połączone są ze sobą za pomocą wiązania fosfodiestrowego występującego pomiędzy resztą kwasu fosforowego pięć jednego z nich a pierścieniem deoksyrybozy drugiego. Na grafice oznaczono koniec 3 prim łańcucha znajdujący się przy cukrze, oraz koniec 5 prim znajdujący się przy reszcie fosforanowej.
W polinukleotydach podjednostki nukleotydowe są połączone w nici DNA wiązaniami fosfodiestrowymi.
Źródło: Englishsquare.pl Sp. z o.o., licencja: CC BY-SA 3.0.
Cząsteczka DNA zbudowana jest z dwóch łańcuchów polinukleotydowych (nazywanych nićmi DNA), skręconych helikalnie (śrubowo) wokół wspólnej osi. Strukturę tę nazywa się podwójną helisąpodwójna helisapodwójną helisą. Utrzymywana jest ona dzięki licznym wiązaniom wodorowym łączącym zasady azotowe należące do różnych łańcuchów.
podwójna helisa
struktura cząsteczki DNA; dwie nici polinukleotydowe skręcone wokół wspólnej osi, stabilizowane przez wiązania wodorowe
Zasady azotowe łączą się ze sobą w ściśle określony sposób, zgodnie z zasadą komplementarności. Mówi ona, że adenina może sparować się wyłącznie z tyminą, a guanina z cytozyną. Pomiędzy adeniną jednego łańcucha, a tyminą drugiego tworzy się wiązanie wodorowe podwójne, natomiast pomiędzy cytozyną a guaniną - wiązanie wodorowe potrójne.
R1PPGEEV9PMQ3
Grafika przedstawia nić DNA z zasadami azotowymi rozmieszczonymi pomiędzy dwoma nićmi. Oznaczono pełen skręt helisy równy 3,4 nanometra oraz szkielet cukrowo‑fosforanowy. Pary zasad azotowych połączone są ze sobą przy pomocy wiązań wodorowych.
Tworzenie wiązań wodorowych pomiędzy zasadami azotowymi wchodzącymi w skład nici DNA.
Źródło: Englishsquare.pl Sp. z o.o., Pixabay, licencja: CC BY-SA 3.0.
Łańcuchy tworzące cząsteczkę DNA są antyrównoległeantyrównoległośćantyrównoległe, co oznacza, że biegną w przeciwnych kierunkach.
antyrównoległość
sposób ułożenia łańcuchów (nici) w DNA polegający na tym, że koniec 3′ jednego łańcucha DNA znajduje się na tej samej wysokości, co koniec 5′ drugiego łańcucha
Funkcje DNA
DNA jest nośnikiem informacji genetycznejinformacja genetycznainformacji genetycznej. Dane te zakodowane są w sekwencji nukleotydów budujących cząsteczkę DNA. Ponieważ białka pełnią zarówno funkcje strukturalne, jak i regulujące procesy zachodzące w komórkach (białka enzymatyczne), informacja genetyczna określa wszystkie podstawowe cechy organizmu.
informacja genetyczna
informacja dziedziczna o budowie białek i RNA
RNA - kwasy rybonukleinowy
RNA, czyli kwas rybonukleinowy, tak samo jak DNA, zbudowany jest z długich, nierozgałęzionych łańcuchów polinukleotydowych, złożonych z wielu nukleotydów.
Nukleotydy tworzące RNA są zbudowane podobnie jak te budujące DNA, z pewnymi różnicami:
Zamiast tyminy, w RNA występuje uracyl, który należy do pirymidyn.
Ilustracja przedstawia azotowe zasady zawierające cząsteczki lub atomy azotu w dwóch pięciokątnych pierścieniach. Pod jednym widoczny jest napis adenina, a pod drugim guanina. Wzór sumaryczny adeniny C indeks dolny 5 H indeks dolny 5 N indeks dolny 5. Wzór sumaryczny guaniny C indeks dolny 5 H indeks dolny 5 N indeks dolny 5 O.
Zasady purynowe występujące w RNA.
Źródło: Englishsquare.pl Sp. z o.o., licencja: CC BY-SA 3.0.
R66V74QJHALTR
Ilustracja przedstawia azotowe zasady. Widoczne są dwa pięciokątne pierścienie. Pod jednym znajduje się napis cytozyna, a pod drugim uracyl. W cytozynie widoczny jest jest jeden atom tlenu, a w uracylu, który jest tylko w RNA, widoczne są dwa atomy tlenu. Wzór sumaryczny cytozyny C indeks dolny 4 H indeks dolny 5 N indeks dolny 3 O. Wzór sumaryczny C indeks dolny 4 H indeks dolny 4 N indeks dolny 2 O indeks dolny 2.
Zasady pirymidynowe występujące w RNA.
Źródło: Englishsquare.pl Sp. z o.o., licencja: CC BY-SA 3.0.
RUAAJTJKM4PJB
Ilustracja interaktywna przedstawiająca budowę DNA. Składa się ona z następujących elementów: 1. Zasady azotowej. 2. Grupy fosforanowej. 3. Rybozy. 4. Wiązania estrowego. 5. Wiązania N‑glikozydowego.
Ilustracja interaktywna przedstawiająca budowę DNA. Składa się ona z następujących elementów: 1. Zasady azotowej. 2. Grupy fosforanowej. 3. Rybozy. 4. Wiązania estrowego. 5. Wiązania N‑glikozydowego.
Budowa nukleotydu RNA
Źródło: Englishsquare.pl Sp. z o.o., licencja: CC BY-SA 3.0.
W przeciwieństwie do DNA, RNA jest zwykle jednoniciowy zbudowany z wielu nukleotydów połączonych ze sobą wiązaniem 3`,5`-fosfodiestrowym.
RFETBOU476SHL
Ilustracja interaktywna przedstawiająca strukturę przestrzenną RNA. Posiada ona 1. szkielet cukrowo‑fosforanowy oraz 2. zasady azotowe.
Ilustracja interaktywna przedstawiająca strukturę przestrzenną RNA. Posiada ona 1. szkielet cukrowo‑fosforanowy oraz 2. zasady azotowe.
Struktura przestrzenna RNA.
Źródło: Englishsquare.pl Sp. z o.o., licencja: CC BY-SA 3.0.
RNA może przyjmować również postać dwuniciową, która powstaje po częściowym sparowaniu - zgodnie z zasadą komplementarności - niektórych nukleotydów tej samej nici.
Rodzaje RNA
RNA (kwas rybonukleinowy) pełni szereg kluczowych funkcji w komórkach. Istnieje wiele jego rodzajów, z których trzy są szczególnie istotne:
mRNA (matrycowy RNA) – przenosi informację genetyczną z DNA do rybosomów, gdzie jest wykorzystywana do syntezowania białek. Działa jako „matryca” do produkcji białek.
tRNA (transportowy RNA) – odpowiada za transport aminokwasów do rybosomów podczas syntezowania białek. Każdy rodzaj tRNA jest specyficzny dla jednego aminokwasu. Cząsteczka tRNA ma skomplikowaną strukturę przestrzenną z fragmentami dwuniciowymi i jednoniciowymi liniowymi i tworzącymi pętle.
rRNA (rybosomalny RNA) – wchodzi w skład rybosomów, gdzie pełni rolę w procesie translacji, czyli łączeniu aminokwasów w łańcuchy polipeptydowe, które tworzą białka.
R1P39NDHE1U7D
Grafika przedstawia dwuwymiarowy wzór strukturalny tRNA. Ma on budowę palczastą i przyjmuje kształt czterolistnej koniczyny, w którym można wyróżnić 4 ramiona. Na górze widoczny jest koniec i dłuższe miejsce przyłączenia aminokwasu 3 prim (ACC) i proliny równolegle do końca 5 prim. Od niego prowadzi dwuniciowy fragment. Widoczne są 3 pętle zbudowane dzięki dwuniciowym fragmentom. Na dole jest komplementarne parowanie zasad azotowych do pętli, gdzie znajduje się trójka nukleotydów (GGG) komplementarna do trójki nukleotydów mRNA.
Model struktury tRNA z dołączonym aminokwasem, który łączy się z mRNA
Źródło: Englishsquare.pl Sp. z o.o., licencja: CC BY-SA 3.0.
Wszystkie trzy rodzaje RNA współpracują ze sobą w procesie ekspresji genówekspresja genuekspresji genów, umożliwiając syntezę białek zgodnie z informacjami zawartymi w DNA.
ekspresja genu
to proces, w którym informacja zawarta w genie (w DNA) jest wykorzystywana do produkcji białka lub RNA
Podsumowanie
Porównanie DNA i RNA:
Skład chemiczny: - DNA: Składa się z deoksyrybozy, zasady azotowej (adenina, tymina, cytozyna, guanina) i reszty kwasu fosforowego. - RNA: Składa się z rybozy, zasady azotowej (adenina, uracyl, cytozyna, guanina) i reszty kwasu fosforowego.
Struktura: - DNA: Dwuniciowa, spiralnie skręcona helisa (podwójna helisa). - RNA: Jednoniciowa cząsteczka, choć może tworzyć struktury drugorzędowe.
Wiązania w cząsteczkach: - DNA: Wiązania fosfodiestrowe łączące nukleotydy, wiązania wodorowe między zasadami azotowymi (adenina – tymina, cytozyna – guanina). - RNA: Wiązania fosfodiestrowe między nukleotydami, wiązania wodorowe między zasadami (adenina – uracyl, cytozyna – guanina).
Funkcje: - DNA: Przechowuje i przekazuje informację genetyczną, jest nośnikiem instrukcji do syntezowania białek. - RNA: Bierze udział w syntezowaniu białek (mRNA – przenosi informacje genetyczne, tRNA – transportuje aminokwasy, rRNA – składnik rybosomów).
Ćwiczenia utrwalające
R1D73M9OMD5R8
Ćwiczenie 1
Przyporządkuj zasady azotowe do odpowiedniej grupy. Zasady purynowe Możliwe odpowiedzi: 1. adenina, 2. tymina, 3. cytozyna, 4. guanina Zasady pirymidynowe Możliwe odpowiedzi: 1. adenina, 2. tymina, 3. cytozyna, 4. guanina
Przyporządkuj zasady azotowe do odpowiedniej grupy. Zasady purynowe Możliwe odpowiedzi: 1. adenina, 2. tymina, 3. cytozyna, 4. guanina Zasady pirymidynowe Możliwe odpowiedzi: 1. adenina, 2. tymina, 3. cytozyna, 4. guanina
R2D7NKNKE58JT
Ćwiczenie 2
Dopasuj przedstawione opisy do odpowiednich wiązań występujących w DNA. wiązanie estrowe Możliwe odpowiedzi: 1. łączy pentozę z zasadą azotową, 2. łączy ze sobą zasady azotowe, 3. łączy pentozę z resztą fosforanową wiązanie wodorowe Możliwe odpowiedzi: 1. łączy pentozę z zasadą azotową, 2. łączy ze sobą zasady azotowe, 3. łączy pentozę z resztą fosforanową wiązanie N‑glikozydowe Możliwe odpowiedzi: 1. łączy pentozę z zasadą azotową, 2. łączy ze sobą zasady azotowe, 3. łączy pentozę z resztą fosforanową
Dopasuj przedstawione opisy do odpowiednich wiązań występujących w DNA. wiązanie estrowe Możliwe odpowiedzi: 1. łączy pentozę z zasadą azotową, 2. łączy ze sobą zasady azotowe, 3. łączy pentozę z resztą fosforanową wiązanie wodorowe Możliwe odpowiedzi: 1. łączy pentozę z zasadą azotową, 2. łączy ze sobą zasady azotowe, 3. łączy pentozę z resztą fosforanową wiązanie N‑glikozydowe Możliwe odpowiedzi: 1. łączy pentozę z zasadą azotową, 2. łączy ze sobą zasady azotowe, 3. łączy pentozę z resztą fosforanową
1
Ćwiczenie 3
R12B76SONTMEZ
Wyjaśnij różnicę między nukleozydem a nukleotydem. (Uzupełnij).
Przypomnij sobie, jaka zależność zachodzi między tymi związkami.
Nukleozyd zbudowany jest z pentozy połączonej wiązaniem N-glikozydowym z jedną z zasad azotowych. Nukleotyd zaś zbudowany jest z nukleozydu połączonego wiązaniem estrowym z resztą fosforanową. Różnica między nukleozydem a nukleotydem polega na obecności reszty fosforanowej w nukleotydzie.
Polecenie 1
Wróć do polecenia na stronie „Na dobry początek” i dopisz brakujące definicje. Pamiętaj, żeby nie kopiować słownika, ale wyjaśnić każde słowo kluczowe w miarę możliwości swoimi słowami.