Zdjęcie przedstawia różne owoce i warzywa w kwadratowych opakowaniach. Są to borówki amerykańskie, jeżyny, truskawki oraz żółte pomidory.
Zdjęcie przedstawia różne owoce i warzywa w kwadratowych opakowaniach. Są to borówki amerykańskie, jeżyny, truskawki oraz żółte pomidory.
Składniki organiczne
Cukry proste, takie jak glukoza i fruktoza, występują w owocach.
Źródło: N/A, Pixabay, domena publiczna.
Węglowodany
Twoje cele
Podzielisz węglowodany według różnych kryteriów.
Scharakteryzujesz budowę i właściwości monosacharydów, disacharydów i polisacharydów.
Określisz znaczenie biologiczne monosacharydów, disacharydów i polisacharydów.
Z węglowodanami (cukrami, sacharydami) stykasz się w życiu codziennym – znajdują się w wielu produktach spożywczych, nawet tam, gdzie trudno ich się spodziewać, np. w przyprawie do zup. Nazwa tych związków chemicznych pochodzi od węgla, który wchodzi w ich skład oraz wody, ponieważ stosunek wodoru do tlenu w cząsteczkach cukrów jest taki, jak w wodzie: dwa razy więcej wodoru niż tlenu.
Ze względu na budowę cząsteczek wyróżnia się trzy grupy węglowodanów:
monosacharydy - najprostsze cukry, mające cząsteczki zawierające 3‑7 atomów węgla;
oligosachardy - zbudowane z 2 do 10 cząsteczek monosacharydów;
polisacharydy - składają się z większej liczby cząsteczek monosacharydów.
Monosacharydy
Monosacharydy (cukry proste) zbudowane są ze szkieletu węglowego z licznymi grupami hydroksylowymi (–OH) i pojedynczą inną grupą funkcyjną: aldehydową lub ketonową. Cukry, zawierające grupę aldehydową (–CHO) na początku łańcucha nazywamy aldozami, a te z grupą ketonową (–C=O) przy drugim węglu to ketozy.
R1KA26H6HD6RH
Ilustracja przedstawia strukturę dwóch cukrów. Pierwszy cukier to aldoza. Ma strukturę pionową. Od dołu kolejno grupa C H indeks dolny dwa koniec indeksu dolnego połączona wiązaniem pojedynczym z grupą O H. W górę, kolejna grupa to C Ha połączona wiązaniem pojedynczym z grupą O H. Dalej linia przerywana prowadzi do kolejnej grupy C H połączonej wiązaniem pojedynczym z grupą O H. Ostatnią jest grupa aldehydowa: C połączone wiązaniem podwójnym z O i wiązaniem pojedynczym z H. Drugi cukier to ketoza. Ma strukturę pionową. Od dołu kolejno grupa C H indeks dolny dwa koniec indeksu dolnego połączona wiązaniem pojedynczym z grupą O H. W górę linia przerywana prowadzi do kolejnej grupy C H połączonej wiązaniem pojedynczym z grupą O H. Następna jest grupa ketonowa: C połączone podwójnym wiązaniem z O. C jest również połączone pojedynczym wiązaniem z H. Ostatnią jest grupa C H indeks dolny dwa koniec indeksu dolnego połączona wiązaniem pojedynczym z grupą O H.
Wzory strukturalne aldozy i ketozy. Numerację atomów węgla w cząsteczkach monosacharydów rozpoczyna się od końca z grupą aldehydową lub ketonową.
Źródło: Englishsquare,pl Sp. z o. o., licencja: CC BY 3.0.
Monosacharydy zawierają różną liczbę atomów węgla w cząsteczce, z czym wiąże się podział na:
Grupa aldehydowa lub ketonowa może reagować z grupą hydroksylową tego samego łańcucha cukru, tworząc cząsteczkę o formie cyklicznej (pierścieniowej). Cukry zawierające co najmniej pięć atomów węgla w łańcuchu mogą, w roztworze wodnym, tworzyć struktury pierścieniowe. Proces ten nazywamy cyklizacją.
RD5E7MAE6G868
Ilustracja przedstawiająca formę łańcuchową oraz pierścieniową fruktozy. Forma łańcuchowa cząsteczki fruktozy zbudowana jest z atomu węgla C 1 grupy C H indeks dolny, dwa, koniec indeksu dolnego, O H połączonej z długą, poprowadzoną w dół linią, która symbolizuje łańcuch węglowy i która jest zakończona również grupą C H indeks dolny, dwa, koniec indeksu dolnego, O H, której atom węgla ma lokant szósty. Linię tę od dołu przecinają trzy prostopadłe krótkie linie, od których odchodzą podstawniki dla kolejnych atomów węgla w łańcuchu. Od dołu po prawej stronie grupa O H przy węglu C 5, grupa O H przy węglu C 4 oraz atom wodoru przy C trzy. Po lewej stronie atom wodoru przy węglu C 5, atom wodoru przy węglu C 4 i grupa O H przy C trzy. Powyżej pomiędzy pierwszym atomem węgla grupy C H indeks dolny, dwa, koniec indeksu dolnego, O H a węglem C 3, od wspomnianej pionowej linii poprowadzone są dwie prostopadłe linie skierowane w prawo symbolizujące wiązanie podwójne z atomem tlenu O, które łączy go z atomem węgla C dwa. W obrębie projekcji naniesiono strzałki wskazujące sposób cyklizacji. pierwsza strzałka łączy atom tlenu grupy hydroksylowej przy węglu C 5 z atomem węgla C 2 w łańcuchu. Zaś druga strzałka łączy atom wodoru wspomnianej grupy hydroksylowej przy atomie węgla C 5 z atomem tlenu grupy karbonylowej. Przy pierścieniowej formie numeracja atomów węgla zgodna z ruchem wskazówek zegara. Po prawej stronie wzór formy cyklicznej fruktozy zbudowanej z pięcioczłonowego pierścienia, który stanowi węgiel C jeden należący do grupy C H indeks dolny, dwa, koniec indeksu dolnego podstawiony jest on grupą hydroksylową O H i łączy się z budującym pierścień atomem węgla C dwa, który związany jest grupą hydroksylową odchodzącą do dołu, za płaszczyznę. Od węgla C trzy do góry przed płaszczyznę odchodzi grupa hydroksylowa O H, z kolei od węgla C cztery za płaszczyznę odchodzi grupa hydroksylowa O H. Węgiel C pięć łączy się z atomem tlenu, który to łączy się z atomem węgla C dwa, co zamyka pięcioczłonowy pierścień. Ponadto od węgla C pięć odchodzi do góry grupa C H indeks dolny, dwa, koniec indeksu dolnego, O H.
Cyklizacji fruktozy. Strzałki pokazują reagujące ze sobą atomy różnych grup, co prowadzi do utworzenia mostka tlenowego pomiędzy atomami węgla C‑2 i C‑5.
Źródło: Englishsquare.pl Sp. z o. o., licencja: CC BY-SA 3.0.
RWbnBBvyiz57O
Ilustracja przedstawiająca mechanizm zamykania pierścienia na przykładzie cząsteczki glukozy. Forma łańcuchowa narysowana za pomocą wzoru Fischera, zaś po prawej cząsteczka w formie łańcuchowej, jednakże zrotowana w ten sposób, by móc zamknąć sześcioczłonowy pierścień, zgodnie z projekcją Hawortha. Po lewej, cząsteczka D‑glukozy o następującym wzorze Fischera, grupa połączona z pionową linią skierowaną do dołu, która symbolizuje łańcuch węglowy i na końcu łączy się z grupą . Wspomnianą linię przecinają cztery krótkie poziome, prostopadłe linie. Po prawej stronie linii od góry kolejno podstawniki: , , oraz . Po lewej stronie od góry podstawniki , , oraz . Dalej wzór zostaje zrotowany w ten sposób, że numeracja atomów w łańcuchu rozpoczyna się od prawej do lewej strony, a podstawniki u dołu, to licząc od węgla C 2 od prawej kolejno, grupa O H, atom wodoru, grupa O H oraz grupa hydroksylowa O H przy węglu C pięć. Następnie forma łańcuchowa ulega skręceniu, przyjmując konformację, umożliwiającą powstanie ugrupowania hemiacetalowego. Przedstawiony w płaszczyźnie łańcuch główny, rozpoczynając od lewej strony, to jest podstawnika przy węglu C 6 skręca się po kolei, idąc za płaszczyznę monitora. Skręcenie łańcucha powoduje, że łańcuch główny znajduje się w nowej płaszczyźnie prostopadłej do monitora, względem niej będzie dalej opisywana powstała struktura. Zatem powstaje forma łańcuchowa, opisana zgodnie z ruchem wskazówek zegara. Grupa aldehydowa, w której atom węgla łączy się z atomem wodoru wiązaniem pojedynczym oraz z atomem tlenu za pomocą wiązania podwójnego. Odchodzi od niej wiązanie w płaszczyźnie łączące ją z atomem węgla C 2, który wiąże się z atomem C 3, C 3 z C 4, który to związany jest z atomem węgla C pięć. Od atomów C 2 oraz C 4 grupy hydroksylowe odchodzą za płaszczyznę, zaś atomy wodoru przed. Z kolei od atomu C 3 grupa hydroksylowa znajduje się przed płaszczyzną, a atom wodoru za. Węgiel C 5 łączy się z odchodzącą przed płaszczyznę grupą , atomem wodoru znajdującym się za płaszczyzną oraz zaznaczoną na czerwono grupą hydroksylową w płaszczyźnie, która to skierowana jest do grupy aldehydowej wspomnianej na początku. Zatem obie grupy biorą udział w tworzeniu hemiacetalu. Po prawej stronie znajduje się cząsteczka w formie cyklicznej, tutaj jest to struktura alfa‑D-glukopiranozy zbudowana z sześcioczłonowego pierścienia składającego się z pięciu atomów węgla oraz z jednego atomu tlenu. Numeracja atomów węgla jest zgodna z ruchem wskazówek zegara. Przy atomach węgla C 1, C 2 oraz C 4 znajdują się grupy hydroksylowe wychodzące za płaszczyznę, zaś atomy wodoru przed. Przy węglu C 3 grupa hydroksylowa wychodzi przed płaszczyznę, zaś atom wodoru za. Węgiel C 5 podstawiony jest grupą wychodzącą przed płaszczyznę oraz atomem wodoru znajdującym się za płaszczyzną. Atomy uczestniczące w ugrupowaniu hemiacetalowym to atom tlenu budujący pierścień wraz z odchodzącymi od niego wiązaniami oraz atom C 1 wraz z podstawnikami, to jest grupą i atomem wodoru, a także odchodzącymi od niego wiązaniami.
Ilustracja przedstawiająca mechanizm zamykania pierścienia na przykładzie cząsteczki glukozy. Forma łańcuchowa narysowana za pomocą wzoru Fischera, zaś po prawej cząsteczka w formie łańcuchowej, jednakże zrotowana w ten sposób, by móc zamknąć sześcioczłonowy pierścień, zgodnie z projekcją Hawortha. Po lewej, cząsteczka D‑glukozy o następującym wzorze Fischera, grupa połączona z pionową linią skierowaną do dołu, która symbolizuje łańcuch węglowy i na końcu łączy się z grupą . Wspomnianą linię przecinają cztery krótkie poziome, prostopadłe linie. Po prawej stronie linii od góry kolejno podstawniki: , , oraz . Po lewej stronie od góry podstawniki , , oraz . Dalej wzór zostaje zrotowany w ten sposób, że numeracja atomów w łańcuchu rozpoczyna się od prawej do lewej strony, a podstawniki u dołu, to licząc od węgla C 2 od prawej kolejno, grupa O H, atom wodoru, grupa O H oraz grupa hydroksylowa O H przy węglu C pięć. Następnie forma łańcuchowa ulega skręceniu, przyjmując konformację, umożliwiającą powstanie ugrupowania hemiacetalowego. Przedstawiony w płaszczyźnie łańcuch główny, rozpoczynając od lewej strony, to jest podstawnika przy węglu C 6 skręca się po kolei, idąc za płaszczyznę monitora. Skręcenie łańcucha powoduje, że łańcuch główny znajduje się w nowej płaszczyźnie prostopadłej do monitora, względem niej będzie dalej opisywana powstała struktura. Zatem powstaje forma łańcuchowa, opisana zgodnie z ruchem wskazówek zegara. Grupa aldehydowa, w której atom węgla łączy się z atomem wodoru wiązaniem pojedynczym oraz z atomem tlenu za pomocą wiązania podwójnego. Odchodzi od niej wiązanie w płaszczyźnie łączące ją z atomem węgla C 2, który wiąże się z atomem C 3, C 3 z C 4, który to związany jest z atomem węgla C pięć. Od atomów C 2 oraz C 4 grupy hydroksylowe odchodzą za płaszczyznę, zaś atomy wodoru przed. Z kolei od atomu C 3 grupa hydroksylowa znajduje się przed płaszczyzną, a atom wodoru za. Węgiel C 5 łączy się z odchodzącą przed płaszczyznę grupą , atomem wodoru znajdującym się za płaszczyzną oraz zaznaczoną na czerwono grupą hydroksylową w płaszczyźnie, która to skierowana jest do grupy aldehydowej wspomnianej na początku. Zatem obie grupy biorą udział w tworzeniu hemiacetalu. Po prawej stronie znajduje się cząsteczka w formie cyklicznej, tutaj jest to struktura alfa‑D-glukopiranozy zbudowana z sześcioczłonowego pierścienia składającego się z pięciu atomów węgla oraz z jednego atomu tlenu. Numeracja atomów węgla jest zgodna z ruchem wskazówek zegara. Przy atomach węgla C 1, C 2 oraz C 4 znajdują się grupy hydroksylowe wychodzące za płaszczyznę, zaś atomy wodoru przed. Przy węglu C 3 grupa hydroksylowa wychodzi przed płaszczyznę, zaś atom wodoru za. Węgiel C 5 podstawiony jest grupą wychodzącą przed płaszczyznę oraz atomem wodoru znajdującym się za płaszczyzną. Atomy uczestniczące w ugrupowaniu hemiacetalowym to atom tlenu budujący pierścień wraz z odchodzącymi od niego wiązaniami oraz atom C 1 wraz z podstawnikami, to jest grupą i atomem wodoru, a także odchodzącymi od niego wiązaniami.
Cyklizacja glukozy – pierścień powstaje w wyniku reakcji grupy aldehydowej przy atomie węgla C‑1 z grupą hydroksylową przy atomie węgla C‑5 – tworzy się mostek tlenowy.
Źródło: Englishsquare.pl Sp. z o. o., licencja: CC BY-SA 3.0.
W wyniku cyklizacji cząsteczki monosacharydu powstaje nowy asymetryczny atom węgla, którego grupa hydroksylowa może znajdować się nad lub pod płaszczyzną pierścienia cząsteczki. Jeśli grupa -OH znajduje się nad płaszczyzną pierścienia, to taką cząsteczkę cukru nazywa się izomerem alfa (np. αalfa‑D-glukoza). W przypadku gdy grupa -OH znajduje się pod płaszczyzną pierścienia, powstaje izomer beta (np. βbeta‑D-glukoza). Izomery alfa i beta mają różne właściwości biologiczne.
R1P9LMZQ9FC1X
Na ilustracji są trzy wzory. Pomiędzy nimi są strzałki skierowane w dwie strony. Pierwszy wzór to forma alfa: sześcioczłonowy pierścień ma w swojej budowie pięć grup OH. Jedna z nich łączy się z grupą metylenową, a kolejna położona jest po prawej stronie pierścienia, łączy się u góry z H, zaznaczona jest na zielono. We wzorze jest także między innymi i pięć atomów wodoru i jeden atom tlenu. Drugi wzór: forma łańcuchowa - wzór jest pionowy. U góry jest grupa aldehydowa CHO. Następnie po lewej stronie wzoru jest H, a po prawej OH. Kolejno po lewej HO, a po prawej H. Dwa kolejne atomy węgla łączą się po lewej stronie łańcucha głównego z H, a po prawej z OH. Na dole łańcucha jest atom węgla wchodzi w skład grupy metylenowej, a ta łączy się z grupą OH. Trzeci wzór: beta - sześcioczłonowy pierścień ma w swojej budowie pięć grup OH. Jedna z nich łączy się z grupą metylenową, a kolejna położona jest po prawej stronie pierścienia, łączy się na dole z H, OH zaznaczono na czerwono. We wzorze jest także między innymi i pięć atomów wodoru i jeden atom tlenu.
Izomery glukozy
Źródło: Englishsquare.pl Sp. z o.o., licencja: CC BY-SA 3.0.
Dla zainteresowanych
Związki, których cząsteczki są swoimi lustrzanymi odbiciami (nie mają wspólnej płaszczyzny symetrii) to enancjomeryenancjomerenancjomery – izomeryizomerizomeryoptyczne. Podobnie jak lewy i prawy but czy lewa i prawa ręka nie są symetryczne, ale stanowią swoje lustrzane odbicia. Jeśli któryś z atomów węgla w cząsteczce jest asymetryczny, tzn. łączy się z czterema różnymi podstawnikami, możliwe jest utworzenie form D (prawa) i L (lewa). O konfiguracji cukru decyduje położenie grupy –OH na przedostatnim atomie węgla w łańcuchu. Jeśli grupa ta znajduje się po prawej stronie jest to konfiguracja D, natomiast jeżeli po lewej – konfiguracja L. Zazwyczaj w organizmach występuje tylko jedna z form i jest to D‑cukier. Sztucznie wytworzone formy L, np. L‑glukoza, są z reguły biologicznie nieczynne.
Rd5YQmHaYQv2h
Ilustracja przedstawia dwa aldehydy, pomiędzy którymi widoczna jest przerywana linia. Opisano ją jako: lustro. Pierwszy to aldehyd D‑glicerynowy. Ma strukturę pionową. Od dołu kolejno grupa C H indeks dolny dwa koniec indeksu dolnego połączona wiązaniem pojedynczym z grupą O H. W górę, kolejna grupa to C połączona wiązaniem pojedynczym z grupą O H oraz H. Grupa O H znajduje się po prawej stronie struktury wzoru, a H po lewej. Dalej kolejna grupa C H O. Drugi aldehyd to L‑glicerynowy. Ma strukturę pionową. Od dołu kolejno grupa C H indeks dolny dwa koniec indeksu dolnego połączona wiązaniem pojedynczym z grupą O H. W górę, kolejna grupa to C połączona wiązaniem pojedynczym z grupą O H oraz H. Grupa O H znajduje się tutaj po lewej stronie struktury wzoru, a H po prawej. Dalej kolejna grupa C H O. Ten aldehyd stanowi lustrzane odbicie aldehydu D‑glicerynowego.
Aldehyd glicerynowy ma jeden asymetryczny atom węgla (nr 2, w środku), połączony z różnymi atomami i grupami: −H, −OH, −C(OH)H2 i −(C=O)H. Dzięki temu może utworzyć dwa izomery optyczne: aldehyd D‑glicerynowy (grupa hydroksylowa po prawej stronie) i aldehyd L‑glicerynowy (grupa -OH po lewej stronie), stanowiące swoje lustrzane odbicia.
Źródło: Englishsquare.pl Sp. z o. o., licencja: CC BY-SA 3.0.
enancjomer
(gr. enantios – położony naprzeciw; meros – część) para związków chemicznych o symetrii lustrzanej
izomer
(gr. isos – równy; meros – część) związki chemiczne o takim samym składzie atomów pierwiastków (wzorze sumarycznym), różniące się sposobem wiązania, kolejnością lub układem wiązań pomiędzy nimi
Monosacharydy są bezbarwne, bezwonne, dobrze rozpuszczają się w wodzie, są osmotycznie czynnesubstancja osmotycznie czynnaosmotycznie czynne i mają słodki smak; są chemicznie obojętne. W organizmach pełnią przede wszystkim funkcje energetyczne oraz strukturalne wchodząc w skład m.in. kwasów nukleinowych oraz innych cukrów: oligosacharydów i polisacharydów.
substancja osmotycznie czynna
substancje rozpuszczalne w wodzie, które są przyczyną przepływu wody między komórką a środowiskiem. Przeciwieństwem są związki nierozpuszczalne w wodzie, które nie wpływają na przemieszczanie się wody między komórką a środowiskiem
Najprostszym monosacharydem jest aldehyd 3‑fsofoglicerynowy (trioza), który wytwarzany jest w chloroplastach podczas fotosyntezy. Z dwóch cząsteczek aldehydu 3‑fosfolicerynowego powstaje glukoza, która jest podstawowym monosacharydem występującym we wszystkich organizmach. Większość pozostałych cukrów prostych powstaje po chemicznym przekształceniu tego węglowodanu.
Przykłady monosacharydów
Aldehyd 3‑fosfoglicerynowy (PGAL)
Aldehyd 3‑fosfoglicerynowy (PGAL)
R12gilosraDSS
Ilustracja przedstawiająca wzór cząsteczki aldehydu -fosfoglicerynowego w projekcji Fischera. Zbudowany jest on z atomu węgla połączonego za pomocą wiązania podwójnego z atomem tlenu, za pomocą wiązania pojedynczego z atomem wodoru. W dół zaś łączy się z atomem węgla. Atom ten po lewej stronie związany jest z atomem wodoru, po prawej z grupą hydroksylową, a u dołu z grupą metylenową , która to u dołu łączy się z grupą .
Źródło: Englishsquare.pl Sp. z o. o., licencja: CC BY-SA 3.0.
Aldoza i trioza czyli aldotrioza: aldehyd glicerynowy z przyłączoną resztą fosforanową. Jest pierwotnym produktem fotosyntezy i substratem do tworzenia wszystkich związków organicznych.
Ryboza
Ryboza
RkS2Yds22y5fc
Ilustracja przedstawiająca wzór formy cyklicznej rybozy zbudowanej z pięcioczłonowego pierścienia, który stanowią cztery atomy węgla i jeden tlenu, numeracja atomów jest zgodna z ruchem wskazówek zegara. Węgiel wbudowany jest w pierścień i podstawiony grupą hydroksylową odchodzącą do góry, przed płaszczyznę. Łączy się on z budującym pierścień atomem węgla . Od węgla i za płaszczyznę odchodzą grupy hydroksylowa , zaś przed płaszczyznę atomy wodoru. Dalej atom węgla połączony jest z atomem tlenu, który to związany jest z atomem węgla , co zamyka pięcioczłonowy pierścień. Ponadto od węgla odchodzi do góry, przed płaszczyznę grupa .
Źródło: Englishsquare.pl Sp. z o. o., licencja: CC BY-SA 3.0.
Aldopentoza. Wchodzi w skład RNA. Jest też składnikiem przenośników energii (np. ATP) i uniwersalnych przenośników elektronów ( np. NADIndeks górny ++).
Deoksyryboza
Deoksyryboza
R16AeEVUpQIC0
Ilustracja przedstawiająca wzór formy cyklicznej deoksyrybozy zbudowanej z pięcioczłonowego pierścienia, który stanowią cztery atomy węgla i jeden tlenu, numeracja atomów zgodna z ruchem wskazówek zegara. Węgiel wbudowany jest w pierścień i podstawiony grupą hydroksylową odchodzącą do góry, przed płaszczyznę. Łączy się on z budującym pierścień atomem węgla podstawionym dwoma atomami wodoru. Od węgla do dołu, za płaszczyznę odchodzi grupa hydroksylowa . Z kolei atom węgla połączony jest z atomem tlenu, który to związany jest z atomem węgla , co zamyka pięcioczłonowy pierścień. Ponadto od węgla odchodzi do góry, przed płaszczyznę grupa .
Źródło: Englishsquare.pl Sp. z o. o., licencja: CC BY-SA 3.0.
Aldopentoza. Wchodzi w skład DNA – nośnika informacji genetycznej wszystkich organizmów i wielu wirusów.
Glukoza
Glukoza
R1dPgAECREjlR
Ilustracja przedstawiająca strukturę dwóch anomerów glukozy w formie cyklicznej, alfa oraz beta. Alfa‑D-glukopiranoza zbudowana jest z sześcioczłonowego pierścienia składającego się z pięciu atomów węgla oraz z jednego atomu tlenu. Numeracja atomów węgla jest zgodna z ruchem wskazówek zegara. Przy atomach węgla C 1, C 2 oraz C 4 znajdują się grupy hydroksylowe wychodzące za płaszczyznę, zaś atomy wodoru przed. Przy węglu C 3 grupa hydroksylowa wychodzi przed płaszczyznę, zaś atom wodoru za. Węgiel C 5 podstawiony jest grupą wychodzącą przed płaszczyznę oraz atomem wodoru znajdującym się za płaszczyzną. Po prawej znajduje się anomer beta, w którym podobnie, jak w przypadku formy alfa brak jest grupy aldehydowej. Jest to forma cykliczna glukozy, w przypadku której grupa hydroksylowa przy anomerycznym atomie węgla C 1 znajduje się przed płaszczyzną, pozostałe podstawniki zlokalizowane są analogicznie jak w przypadku opisanego już anomeru alfa.
Źródło: Englishsquare.pl Sp. z o. o., licencja: CC BY-SA 3.0.
Aldoheksoza. Podstawowy substrat w oddychaniu komórkowym (funkcja energetyczna) i składnik wielocukrów. U zwierząt stanowi formę transportową cukrów. Znajduje się we wszystkich organizmach.
Fruktoza
Fruktoza
Rb5zzfc4t8VYd
Ilustracja przedstawiająca wzór formy cyklicznej alfa‑D-fruktofuranozy zbudowanej z pięcioczłonowego pierścienia, który stanowi węgiel należący do grupy . Podstawiony jest on grupą hydroksylową i łączy się z budującym pierścień atomem węgla , który związany jest grupą hydroksylową odchodzącą do góry przed płaszczyznę. Od węgla do góry przed płaszczyznę odchodzi grupa hydroksylowa , z kolei od węgla grupa hydroksylowa odchodzi za płaszczyznę. Węgiel łączy się z atomem tlenu, który to związany jest z atomem węgla , co zamyka pięcioczłonowy pierścień. Ponadto od węgla odchodzi do góry, przed płaszczyznę grupa .
Źródło: Englishsquare.pl Sp. z o. o., licencja: CC BY-SA 3.0.
Ketoheksoza. Jest słodsza od glukozy i magazynowana głównie w owocach, ale też kwiatach i warzywach korzeniowych.
Galaktoza
Galaktoza
RJIJp4lF0RQHC
Ilustracja przedstawiająca formę cykliczną cząsteczki beta‑D-galaktopiranozy, o jest galaktozy, którą stanowi sześcioczłonowy pierścień, w którym pierwszy lokant stanowi atom węgla C 1 związany z atomem tlenu wbudowanym w tenże pierścień. Węgiel C 5 zamyka pierścień i łączy się ze wspomnianym atomem tlenu oraz węglem C 6, niewbudowanym w pierścień. Numeracja atomów węgla jest zgodna z ruchem wskazówek zegara. Od węgla C 1, C 3 oraz C 4 grupy hydroksylowe odchodzą do góry, a do dołu atomy wodoru. Od węgla C 2 grupa hydroksylowa odchodzi do dołu, a atom wodoru do góry. Od węgla C 5 odchodzi do góry wiązanie łączące go z węglem C 6, który należy do grupy .
Źródło: Englishsquare.pl Sp. z o. o., licencja: CC BY-SA 3.0.
Aldoheksoza. Wchodzi w skład dwucukru laktozy (cukru mlecznego) oraz pektyn (składnik ścian komórkowych roślin).
Oligosacharydy
Oligosacharydy (dwucukry) to cukry składające się od 2 do 10 cząsteczek cukrów prostych połączonych wiązaniem O‑glikozydowym. Najprostszymi, a zarazem najważniejszymi biologicznie oligosacharydami są disacharydy(dwucukry) zbudowane z dwóch cząsteczek takich samych lub różnych cukrów prostych.
Dwucukry, podobnie jak cukry proste są dobrze rozpuszczalne w wodzie, są osmotycznie czynne, mają słodki smak, są bezbarwne i bezwonne.
Wszystkie dwucukry powstają w reakcji kondensacjikondensacjakondensacji dwóch cukrów prostych z wydzieleniem cząsteczki wody. W reakcji biorą udział dwie grupy funkcyjne: aldehydowa lub ketonowa przy węglu jednego cukru prostego oraz grupa hydroksylowa drugiego. W rezultacie powstaje wiązanie glikozydowe, łączące dwie cząsteczki monosacharydu poprzez atom tlenu.
kondensacja
reakcja tworzenia większych cząsteczek z mniejszych, w której produktem ubocznym jest woda
R18XAEV6AZL7F
Na rysunku cząsteczki glukozy. Podczas powstawania disacharydu węgiel nr 1 w cząsteczce glukozy po lewej stronie traci wodór z grupy hydroksylowej, a węgiel nr 4 z cząsteczki glukozy po prawej stronie traci całą grupę hydroksylową. Dzięki temu powstaje wiązanie 1,4‑glikozydowe i dochodzi do połączenia dwóch cząsteczek glukozy przez mostek tlenowy. Produktem tej reakcji kondensacji jest także cząsteczka wody.
Cząsteczki glukozy tworzące disacharyd. Węgiel nr 1 w cząsteczce glukozy po lewej stronie traci wodór z grupy hydroksylowej, a węgiel nr 4 z cząsteczki glukozy po prawej stronie traci całą grupę hydroksylową. Dzięki temu powstaje wiązanie 1,4‑glikozydowe i dochodzi do połączenia dwóch cząsteczek glukozy przez mostek tlenowy. Produktem tej reakcji kondensacji jest także cząsteczka wody.
Źródło: Englishsquare.pl Sp. z o.o., Wikimedia Commons, licencja: CC BY-SA 3.0.
Dwucukry różnią się między sobą rodzajem wiązania glikozydowego, co wynika z różnego położenia grupy hydroksylowej przy atomie węgla grupy karbonylowej – αalfa (w którym grupa –OH znajduje się pod płaszczyzną pierścienia) lub βbeta (w którym grupa –OH znajduje się nad płaszczyzna pierścienia), a także z kolejności połączonych atomów węgla, np. 1 z 4, 1 z 1. Rodzaj wiązania glikozydowego wpływa na właściwości chemiczne i biologiczne oligosacharydów.
R3AD8GRRFLN9O
Wymyśl pytanie na kartkówkę związane z tematem materiału.
Źródło: Englishsquare.pl Sp. z o.o., Wikimedia Commons, licencja: CC BY-SA 3.0.
Podczas reakcji hydrolizyhydrolizahydrolizy następuje rozpad dwucukru na części składowe.
hydroliza
reakcja rozkładu substancji z udziałem wody
Przykłady disacharydów
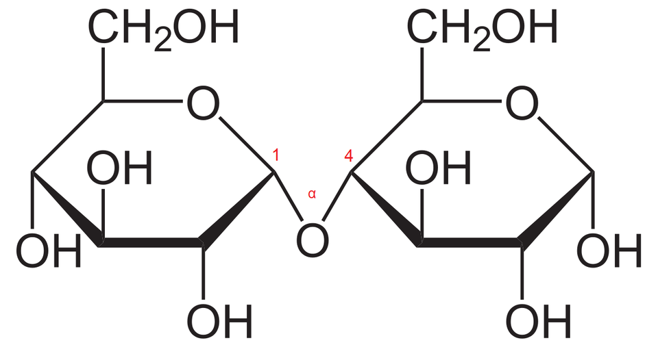
Maltoza
Maltoza
RDJZ4CKX4DO3G
Ilustracja przedstawiająca strukturę alfa‑maltozy, która jest dwucukrem zbudowanym z dwóch cząsteczek D‑glukozy, które łączy wiązanie α‑1,4-O-glikozydowe. Strukturę stanowi sześcioczłonowy pierścień glukozy, w którym pierwszy lokant stanowi atom węgla C1 związany z atomem tlenu wbudowanym w tenże pierścień. Węgiel C5 zamyka pierścień i łączy się ze wspomnianym atomem tlenu oraz węglem C6, niewbudowanym w pierścień. Od węgla C1 odchodzi w dół wiązanie łączące go z atomem tlenu, który to łączy się z węglem C4 drugiego pierścienia D‑glukozy. Od węgli C2 oraz C4 odchodzą do dołu grupy hydroksylowe OH, zaś do góry od grupy C3, grupa hydroksylowa odchodzi również od węgla C6. Drugi pierścień stanowi również cząsteczka D‑glukozy, którą stanowi sześcioczłonowy pierścień, który tworzą atomy węgla C1, C2, C3, C4 oraz C5, a także atom tlenu połączony z węglami o lokancie pierwszym i piątym. Od węgli C1 oraz C2 odchodzą w dół grupy hydroksylowe, od węgla C3 grupa hydroksylowa odchodzi w górę. Węgiel C4 łączy się w dół z atomem tlenu łączącym go z węglem C1 pierwszego pierścienia. Od węgla C5 do góry odchodzi grupa C H indeks dolny, dwa, koniec indeksu dolnego, O H.
Cząsteczka maltozy
Źródło: Wikimedia Commons, domena publiczna.
Inaczej cukier słodowy. Składa się z dwóch cząsteczek glukozy połączonych wiązaniem αalfa‑1,4‑glikozydowym. Maltoza znajduje się dużej ilości w bielmie ziaren zbóż: pszenicy, żyta, owsa i kukurydzy. Wykorzystywana jest w przemyśle spożywczym do produkcji m.in. piwa oraz w piekarnictwie. U zwierząt cukier ten jest produktem wstępnego trawienia polisacharydów, takich jak skrobia i glikogen.
Laktoza
Laktoza
RC7MJJS1QXJCP
Ilustracja przedstawiająca strukturę alfa‑laktozy, która jest dwucukrem zbudowanym z dwóch monosacharydów D‑galaktozy oraz D‑glukozy, które łączy wiązanie beta‑1,4-O-glikozydowe. Strukturę stanowi sześcioczłonowy pierścień galaktozy, w którym pierwszy lokant stanowi atom węgla C1 związany z atomem tlenu wbudowanym w tenże pierścień. Węgiel C5 zamyka pierścień i łączy się ze wspomnianym atomem tlenu oraz węglem C6, niewbudowanym w pierścień. Od węgla C1 odchodzi w górę wiązanie łączące go z atomem tlenu, który to łączy się z węglem C4 drugiego pierścienia D‑glukozy. Od węgli C2 odchodzi w dół grupa hydroksylowa, zaś od węgli C3 oraz C4 grupy hydroksylowe odchodzą do góry. Od węgla C5 odchodzi do góry wiązanie łączące go z węglem C6, który to jest związany z grupą hydroksylową. Drugi pierścień stanowi cząsteczka D‑glukozy, którą buduje sześcioczłonowy pierścień utworzony przez atomy węgla C1, C2, C3, C4 oraz C5, a także atom tlenu połączony z węglami o lokancie pierwszym i piątym. Od węgli C1 oraz C2 odchodzą w dół grupy hydroksylowe, od węgla C3 grupa hydroksylowa odchodzi w górę. Węgiel C4 łączy się w dół z atomem tlenu łączącym go z węglem C1 pierwszego pierścienia. Od węgla C5 do góry odchodzi grupa C H indeks dolny, dwa, koniec indeksu dolnego, O H.
Cząsteczka laktozy
Źródło: Wikimedia Commons, domena publiczna.
Inaczej cukier mleczny. Składa się z cząsteczki galaktozy i glukozy połączonych wiązaniem βbeta‑1,4‑glikozydowym. Znajduje się w mleku ssaków i jego produktach. Laktozę wykorzystuje się w przemyśle spożywczym i farmaceutycznym, a jej pochodne do produkcji biodegradowalnych tworzyw sztucznych. U ludzi laktoza jest trawiona w jelicie cienkim przez enzym laktazę.
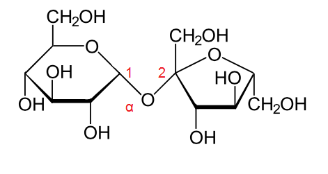
Sacharoza
Sacharoza
R1FVJRZED9AZV
Grafika przedstawia cząsteczkę sacharozy - zbudowaną z cząsteczki α‑D‑glukozy oraz cząsteczki β‑D‑fruktozy połączonych wiązaniem α‑1,2‑glikozydowym, które powstaje w wyniku połączenia przez atom tlenu węgla w pozycji 1 cząsteczki α‑D‑glukozy z węglem w pozycji 2 cząsteczki β‑D‑fruktozy. Sacharoza jest dwucukrem zbudowanym z D‑glukozy oraz D‑fruktozy, które łączy wiązanie α,β‑1,2-O-glikozydowe. Strukturę stanowi sześcioczłonowy pierścień, w którym pierwszy lokant stanowi atom węgla C1 związany z atomem tlenu wbudowanym w tenże pierścień. Węgiel C5 zamyka pierścień i łączy się ze wspomnianym atomem tlenu oraz węglem C6, niewbudowanym w pierścień. Od węgla C1 odchodzi wiązanie łączące go z atomem tlenu, który to łączy się z węglem C2 pierścienia D‑fruktozy. Od węgli C2 oraz C4 odchodzą do góry grupy hydroksylowe OH, zaś do dołu od grupy C3, grupa hydroksylowa odchodzi również od węgla C6. Drugi pięcioczłonowy pierścień stanowi D‑fruktoza, w której węgiel C1 należący do grupy C H indeks dolny, dwa, koniec indeksu dolnego podstawiony jest grupą hydroksylową OH i łączy się z atomem węgla C2, który związany jest z atomem tlenu łączącym pierścień D‑fruktozy z pierścieniem D‑glukozy. Od węgla C3 do dołu odchodzi grupa hydroksylowa OH, z kolei od węgla C4 do góry odchodzi grupa hydroksylowa OH. Węgiel C4 łączy się z atomem tlenu, który to łączy się z atomem węgla C1, co zamyka pięcioczłonowy pierścień. Ponadto od węgla C4 odchodzi do dołu grupa C H indeks dolny, dwa, koniec indeksu dolnego, O H. Oba anomeryczne atomy węgla, zarówno w pierścieniu fruktozy, jaki glukozy nie posiadają grup hydroksylowych. Łączy je mostek tlenowy.
Cząsteczka sacharozy
Źródło: Don A. Carlson, Wikimedia Commons, licencja: CC BY-SA 3.0.
Inaczej cukier buraczany lub trzcinowy. Składa się z glukozy i fruktozy połączonych wiązaniem αalfa‑1,2‑glikozydowym. Sacharoza występuje w każdej roślinie, a dużych ilościach w burakach cukrowych i trzcinie cukrowej. U roślin jest ona także formą transportową cukrów. Przez człowieka wykorzystywana jest jako główny cukier słodzący.
Ciekawostka
Zapewne wiesz o nietolerancji laktozy, której przyczyną jest brak enzymu laktazy, odpowiedzialnego za jej trawienie. Bardzo często występuje u Azjatów i Afrykanów, w niektórych grupach etnicznych obejmuje do 100% populacji i coraz częściej jest diagnozowana w Polsce. Nietolerancja laktozy objawia się dolegliwościami ze strony przewodu pokarmowego, takimi jak wzdęcia, gazy czy biegunka. Dolegliwości można łagodzić przyjmując enzym laktazę (w tabletkach lub w kroplach) oraz włączając do diety produkty wolne od laktozy (bezlaktozowe mleko, sery, jogurty).
R1UNPfOJlR7nN1
Mapa świata przedstawia częstości występowania nietolerancji laktozy na świecie. Nietolerancja w przedziale od 0 do 15% występuje głównie w krajach skandynawskich oraz na północnych obszarach krajów europejskich. Nietolerancja w przedziale 15 do 30% występuje w całej Ameryce Północnej, Europie Zachodniej i Środkowej, Eurazji, Północnej i Wschodniej Azji. Nietolerancja w przedziale od 30 do 60% występuje na terenie Hiszpanii i Portugalii. Nietolerancja w przedziale od 60 do 80% występuje na terenie Ameryki Środkowej, Północnej Afryki, Północnej Ameryki Południowej, Arabii Saudyjskiej, i Południowej części Azji. Nietolerancja w przedziale od 80 do 100% występuje na terenie Grenlandii, Islandii, południowej części Ameryki Południowej, południowej części Afryki, wschodniej części Azji oraz w Indonezji.
Schemat przedstawiający częstość występowania nietolerancji laktozy na świecie.
Źródło: Nmiportal, Wikimedia Commons, licencja: CC BY-SA 3.0.
Polisacharydy
Polisacharydy (wielocukry, glikany), składają się z wielu – nawet tysięcy – cząsteczek takich samych lub różnych cukrów prostych.
1
Ćwiczenie 1
Uzasadnij, że polisacharydy są polimerami organicznymi. W odpowiedzi uwzględnij terminy: polimer, monomer.
RCHA7LSH816S2
Polimery to związki organiczne zbudowane z wielu powtarzalnych jednostek.
Polisacharydy są polimerami, ponieważ są zbudowane z wielu monomerów (powtarzalnych jednostek), którymi są cukry proste.
Polisacharydy powstają przez łączenie pojedynczych cząsteczek cukrów prostych wiązaniem glikozydowym, są więc dużymi cząsteczkami organicznymi (makromolekułamimakromolekułymakromolekułami). Zwykle wielocukry zawierają od 200 do 300 związków prostych, jednak np. celuloza zawiera ich 15 tys., a amylopektyna – nawet 100 tys.
makromolekuły
(gr. makros – duży, wielki; fr. molecule – cząsteczka) cząsteczki złożone z bardzo wielu atomów (dziesiątek do setek tysięcy), zgrupowanych w jednostki – mery
R12ZhicdWVJjr
Grafika przedstawia łańcuch wielocukru. Łańcuch ten składa się z łańcucha głównego, w którym poszczególne cukry połączone są przy pomocy wiązania alfa 1,4‑glikozydowym, oraz łańcucha bocznego, w którym poszczególne pierścienie cukrów połączone są ze sobą za pomocą wiązań alfa 1,6‑glikozydowych.
Przykłady wiązań glikozydowych: w konfiguracji α‑1,4 w łańcuchu głównym glikogenu i α‑1,6 w łańcuchu bocznym. Wielocukry mogą być liniowe (kiedy wszystkie cząsteczki składowe są ułożone jedna za drugą) lub rozgałęzione. Polisacharydy powstają w reakcji polimeryzacji przez kondensację cząsteczek cukrów prostych, a produktem ubocznym tworzenia wiązań glikozydowych jest woda.
Źródło: Wikimedia Commons, domena publiczna.
Wielocukry mogą łączyć się także z innymi związkami organicznymi, np. białkami i lipidami, tworząc odpowiednio glikoproteiny i glikolipidy.
Polisacharydy są nierozpuszczalne w wodzie i nie są osmotycznie czynne, dzięki czemu mogą być magazynowane w komórkach jako materiał zapasowy (np. skrobia) oraz pełnić funkcje strukturalne (np. celuloza).
RRR8E5D7VSC2R
Mapa myśli. Lista elementów:
Nazwa kategorii: Funkcje polisacharydów{color=#CC3366}
Elementy należące do kategorii Funkcje polisacharydów
Nazwa kategorii: Zapasowa – magazynowanie cukrów do późniejszego wykorzystania: u roślin – skrobia, u zwierząt i grzybów – glikogen{color=#CC99CC}
Nazwa kategorii: Komunikacyjna – cukry w połączeniu z białkami (glikoproteiny) i tłuszczami (glikolipidy) tworzące system sygnałowy pomiędzy
komórkami{color=#FF6699}
Nazwa kategorii: Budulcowa – cukry wchodzące w skład ściany komórkowej: u roślin - celuloza, u grzybów – chityna, budująca też pancerze stawonogów{color=#FFCCFF}
Koniec elementów należących do kategorii Funkcje polisacharydów{color=#CC3366}
Mapa myśli. Lista elementów:
Nazwa kategorii: Funkcje polisacharydów{color=#CC3366}
Elementy należące do kategorii Funkcje polisacharydów
Nazwa kategorii: Zapasowa – magazynowanie cukrów do późniejszego wykorzystania: u roślin – skrobia, u zwierząt i grzybów – glikogen{color=#CC99CC}
Nazwa kategorii: Komunikacyjna – cukry w połączeniu z białkami (glikoproteiny) i tłuszczami (glikolipidy) tworzące system sygnałowy pomiędzy
komórkami{color=#FF6699}
Nazwa kategorii: Budulcowa – cukry wchodzące w skład ściany komórkowej: u roślin - celuloza, u grzybów – chityna, budująca też pancerze stawonogów{color=#FFCCFF}
Koniec elementów należących do kategorii Funkcje polisacharydów{color=#CC3366}
Funkcje polisacharydów
Źródło: Englishsquare.pl Sp. z o.o., licencja: CC BY-SA 3.0.
Przykłady polisacharydów
Skrobia zbudowana jest z połączonych wiązaniem αalfa‑glikozydowym wielu reszt glukozowych. Polisacharyd ten składa się dwóch frakcji – amylozy i amylopektyny. Amyloza to nierozgałęziony polimer, dobrze rozpuszczalny w wodzie. Tworzy ją od 200 do 300 reszt glukozowych połączonych wiązaniem αalfa‑1,4‑glikozydowym. Amylopektyna jest praktycznie nierozpuszczalna w wodzie i ma rozgałęzioną strukturę, ponieważ zawiera dodatkowo wiązania αalfa‑1,6‑glikozydowe. Skrobia jest głównym materiałem zapasowym większości roślin. Magazynowana jest w dużej ilości w nasionach (np. zbóż) oraz organach spichrzowych (np. bulwach ziemniaka).
R14CZ5q7HIL5Y
Zdjęcie mikroskopowe prezentuje mniejsze i większe okrągłe struktury. Mają fioletowe otoczki. Niektóre mają zabarwione na fioletowo również środki.
Skrobia powstaje w roślinach jako wtórny produkt fotosyntezy i jest materiałem zapasowym magazynowanym w tkankach, np. w bulwach ziemniaka i nasionach zbóż. Odkłada się w komórkach roślin w postaci ziaren, których wielkość i kształt są charakterystyczne dla poszczególnych gatunków. Zdjęcie z mikroskopu świetlnego przedstawia ziarna skrobi zbożowej barwione jodyną w powiększeniu 40×.
Źródło: Wikimedia Commons, domena publiczna.
Glikogen zbudowany jest podobnie jak skrobia z wielu reszt glukozowych połączonych wiązaniami αalfa‑1,4‑glikozydowym i αalfa‑1,6‑glikozydowym. W porównaniu ze skrobią, jego cząsteczki są jednak silniej rozgałęzione. Glikogen jest materiałem zapasowym grzybów i zwierząt. W organizmie człowieka gromadzony jest przede wszystkim w wątrobie i mięśniach szkieletowych. W okresie głodu glikogen ulega rozkładowi, dzięki czemu uwalnia się glukoza, co zapewnia jej stałe stężenie we krwi.
R1Z1dRRAgZFHS
Ilustracja interaktywna przedstawia polisacharydy zapasowe (alfa‑glikany): skrobię: amylozę - 10‑30% i amylopektynę- 70‑80% oraz glikogen. Amyloza: na ilustracji jest wzór - połączone są ze sobą w jednej linii cztery sześciokąty. Pomiędzy sześciokątami jest atom tlenu, który je łączy. Wszystkie sześciokąty łączą się u góry z ciemnoniebieskim owalem. Pod wzorem jest sinusoidalny łańcuch zbudowany z połączonych ze sobą sześciokątów. Rzędy nie łączą się ze sobą. Opis: 1. Źródło: rośliny., 2. Podjednostka: alfa‑glukoza., 3. Wiązania: alfa‑1,4‑glikozydowe., 4. Rozgałęzienia: brak. Amylopektyna: na ilustracji jest wzór: połączone są ze sobą w jednej linii cztery sześciokąty. Pomiędzy sześciokątami jest atom tlenu, który je łączy. Skrajne sześciokąty oraz sześciokąt drugi od lewej strony łączą się u góry z ciemnoniebieskim owalem. Przedostatni sześciokąt od prawej strony łączy się u góry z sześciokątem połączonym z ciemnoniebieskim owalem. Pod wzorem są dwa sinusoidalne łańcuchy. Łączą się ze sobą w środkowej części pod kątem 90 stopni. Opis: 5. Źródło: rośliny, 6. Podjednostka: alfa‑glukoza., 7. Wiązania: alfa‑1,4‑glikozydowe oraz alfa‑1,6‑glikozydowe, 8. Rozgałęzienia: co około 20–30 podjednostek. Glikogen: na ilustracji jest wzór: połączone są ze sobą w jednej linii cztery sześciokąty. Pomiędzy sześciokątami jest atom tlenu, który je łączy. Skrajne sześciokąty oraz sześciokąt drugi od lewej strony łączą się u góry z ciemnoniebieskim owalem. Przedostatni sześciokąt od prawej strony łączy się u góry z sześciokątem połączonym z ciemnoniebieskim owalem. Pod wzorem są połączone ze sobą sześciokąty, tworzą liczne rozgałęzienia. Opis: 9. Źródło: zwierzęta, grzyby, bakterie, 10. Podjednostka: alfa‑glukoza, 11. Wiązania: alfa‑1,4‑glikozydowe oraz alfa‑1,6‑glikozydowe, 12. Rozgałęzienia: co około 10–12 podjednostek.
Ilustracja interaktywna przedstawia polisacharydy zapasowe (alfa‑glikany): skrobię: amylozę - 10‑30% i amylopektynę- 70‑80% oraz glikogen. Amyloza: na ilustracji jest wzór - połączone są ze sobą w jednej linii cztery sześciokąty. Pomiędzy sześciokątami jest atom tlenu, który je łączy. Wszystkie sześciokąty łączą się u góry z ciemnoniebieskim owalem. Pod wzorem jest sinusoidalny łańcuch zbudowany z połączonych ze sobą sześciokątów. Rzędy nie łączą się ze sobą. Opis: 1. Źródło: rośliny., 2. Podjednostka: alfa‑glukoza., 3. Wiązania: alfa‑1,4‑glikozydowe., 4. Rozgałęzienia: brak. Amylopektyna: na ilustracji jest wzór: połączone są ze sobą w jednej linii cztery sześciokąty. Pomiędzy sześciokątami jest atom tlenu, który je łączy. Skrajne sześciokąty oraz sześciokąt drugi od lewej strony łączą się u góry z ciemnoniebieskim owalem. Przedostatni sześciokąt od prawej strony łączy się u góry z sześciokątem połączonym z ciemnoniebieskim owalem. Pod wzorem są dwa sinusoidalne łańcuchy. Łączą się ze sobą w środkowej części pod kątem 90 stopni. Opis: 5. Źródło: rośliny, 6. Podjednostka: alfa‑glukoza., 7. Wiązania: alfa‑1,4‑glikozydowe oraz alfa‑1,6‑glikozydowe, 8. Rozgałęzienia: co około 20–30 podjednostek. Glikogen: na ilustracji jest wzór: połączone są ze sobą w jednej linii cztery sześciokąty. Pomiędzy sześciokątami jest atom tlenu, który je łączy. Skrajne sześciokąty oraz sześciokąt drugi od lewej strony łączą się u góry z ciemnoniebieskim owalem. Przedostatni sześciokąt od prawej strony łączy się u góry z sześciokątem połączonym z ciemnoniebieskim owalem. Pod wzorem są połączone ze sobą sześciokąty, tworzą liczne rozgałęzienia. Opis: 9. Źródło: zwierzęta, grzyby, bakterie, 10. Podjednostka: alfa‑glukoza, 11. Wiązania: alfa‑1,4‑glikozydowe oraz alfa‑1,6‑glikozydowe, 12. Rozgałęzienia: co około 10–12 podjednostek.
Porównanie polisacharydów zapasowych.
Źródło: Englishsquare.pl Sp. z o.o., licencja: CC BY-SA 3.0.
Celuloza zbudowana jest z wielu reszt glukozy, połączonych w łańcuch za pomocą wiązań βbeta‑1,4‑glikozydowych. Długie, pojedyncze łańcuchy celulozy ułożone jeden przy drugim są zespolone ze sobą licznymi wiązaniami wodorowymi, tworząc włókna o dużej sztywności i wytrzymałości (mikrofibryle). Celuloza jest polisacharydem strukturalnym, budującym ściany komórkowe wszystkich roślin.
Chityna jest polisacharydem zbudowanym z monomerów βbeta‑gukozaminy (pochodna glukozy zawierająca grupę aminową), połączonych wiązaniami βbeta‑1,4‑glikozydowymi. Chityna pełni funkcję strukturalną, wchodząc w skład szkieletów zewnętrznych stawonogów oraz ścian komórkowych grzybów.
R47PHpHAGmXfn
Ilustracja interaktywna przedstawia polisacharydy strukturalne (beta‑glikany): celulozę i chitynę. Na ilustracji jest wzór: połączone są ze sobą w jednej linii trzy sześciokąty. Pomiędzy sześciokątami jest atom tlenu, który je łączy. Skrajne sześciokąty łączą się u góry z jasnoniebieskim owalem. Środkowy sześciokąt łączy się z owalem na dole. Pod wzorem jest trzyrzędowy łańcuch zbudowany z połączonych ze sobą sześciokątów. Rzędy nie łączą się ze sobą. Opis: 1. Źródło: rośliny., 2. Podjednostka: beta‑glukoza., 3. Wiązania: beta‑1,4‑glikozydowe., 4. Rozgałęzienia: brak. Chityna. na ilustracji jest wzór: połączone są ze sobą w jednej linii trzy sześciokąty. Pomiędzy sześciokątami jest atom tlenu, który je łączy. Skrajne sześciokąty łączą się u góry i na dole z owalem - u góry z jasnoniebieskim, na dole z ciemnoniebieskim. Środkowy sześciokąt łączy się na dole z owalem jasnoniebieskim, a u góry z ciemnoniebieskim. Pod wzorem jest trzyrzędowy łańcuch zbudowany z połączonych ze sobą sześciokątów w jednej linii. Między rzędami brak połączenia. Opis: 5. Źródło: zwierzęta, grzyby., 6. Podjednostka: beta‑glukozamina., 7. Wiązania: beta‑1,4‑glikozydowe., 8. Rozgałęzienia: brak.
Ilustracja interaktywna przedstawia polisacharydy strukturalne (beta‑glikany): celulozę i chitynę. Na ilustracji jest wzór: połączone są ze sobą w jednej linii trzy sześciokąty. Pomiędzy sześciokątami jest atom tlenu, który je łączy. Skrajne sześciokąty łączą się u góry z jasnoniebieskim owalem. Środkowy sześciokąt łączy się z owalem na dole. Pod wzorem jest trzyrzędowy łańcuch zbudowany z połączonych ze sobą sześciokątów. Rzędy nie łączą się ze sobą. Opis: 1. Źródło: rośliny., 2. Podjednostka: beta‑glukoza., 3. Wiązania: beta‑1,4‑glikozydowe., 4. Rozgałęzienia: brak. Chityna. na ilustracji jest wzór: połączone są ze sobą w jednej linii trzy sześciokąty. Pomiędzy sześciokątami jest atom tlenu, który je łączy. Skrajne sześciokąty łączą się u góry i na dole z owalem - u góry z jasnoniebieskim, na dole z ciemnoniebieskim. Środkowy sześciokąt łączy się na dole z owalem jasnoniebieskim, a u góry z ciemnoniebieskim. Pod wzorem jest trzyrzędowy łańcuch zbudowany z połączonych ze sobą sześciokątów w jednej linii. Między rzędami brak połączenia. Opis: 5. Źródło: zwierzęta, grzyby., 6. Podjednostka: beta‑glukozamina., 7. Wiązania: beta‑1,4‑glikozydowe., 8. Rozgałęzienia: brak.
Porównanie polisacharydów strukturalnych.
Źródło: Englishsquare.pl Sp. z o.o., licencja: CC BY-SA 3.0.
Właściwości biologiczne wielocukrów zależą od ich budowy chemicznej. Związki, które służą jako materiały zapasowe, są zazwyczaj rozgałęzione (np. glikogen), co pozwala im upakować więcej energii (w wiązaniach między monosacharydami) w mniejszej przestrzeni komórkowej. Z kolei wielocukry budulcowe, (np. celuloza), mają strukturę liniową, co sprzyja tworzeniu wiązań wodorowych między równolegle ułożonymi łańcuchami, zapewniając wytrzymałość i stabilność. Dodatkowo na właściwości polisacharydów wpływ ma rodzaj wiązania glikozydowego między poszczególnymi monosacharydami. Wiązania typu αalfa, które są typowe dla wielocukrów zapasowych nadają cząsteczce strukturę spiralną, co ułatwia działanie enzymom, które je rozkładają (np. amyloza). Wiązania typu βbeta z kolei sprzyjają tworzeniu cząsteczek liniowych, przez co spotykane są w polisacharydach budulcowych.
Więcej na temat cukrów dowiesz się z materiałów zamieszczonych w module „Podsumowanie wątku” w Bibliotece wątku.
Podsumowanie
Cukry (węglowodany, sacharydy) to związki organiczne, który nazwa pochodzi od węgla i wody, ponieważ stosunek wodoru do tlenu w ich cząsteczkach jest taki jak w wodzie (2:1).
Cukry można podzielić ze względu na budowę na:- monosacharydy – najprostsze cukry, zawierające 3–7 atomów węgla,- oligosacharydy – zbudowane z 2–10 cząsteczek monosacharydów,- polisacharydy – składają się z wielu cząsteczek monosacharydów.
Monosacharydy dzielimy ze względu na liczbę atomów węgla na triozy (3C), tetrozy (4C), pentozy (5C), heksozy (6C), heptozy (7C).
Do monosacharydów zalicza się: - aldehyd 3‑fosfoglicerynowy (PGAL) – bezpośredni produkt fotosyntezy wykorzystywany do syntezy innych cukrów i związków organicznych, - rybozę – cukier budujący RNA, - deoksyrybozę – cukier budujący DNA, - glukozę – główne źródło energii dla organizmów; glukoza transportowana jest we krwi u zwierząt i wykorzystywana w oddychaniu komórkowym, - fruktozę – cukier owocowy, naturalnie występujący w owocach, - galaktozę – składnik laktozy.
Disacharydy należą do oligosacharydów, składają się z dwóch cząsteczek monosacharydów połączonych wiązaniem glikozydowym.
Do najważniejszych disacharydów należą: - sacharoza (cukier trzcinowy/buraczany) – zbudowana z glukozy i fruktozy, - laktoza (cukier mleczny) – zbudowana z glukozy i galaktozy, - maltoza (cukier słodowy) – zbudowana z dwóch cząsteczek glukozy.
Polisacharydy to wielocukry składające się z wielu połączonych cząsteczek monosacharydów.
Polisacharydy pełnią różne funkcje w organizmach: - skrobia – materiał zapasowy roślin, występuje w dużej ilości w ziemniakach i zbożach, - glikogen – materiał zapasowy zwierząt i ludzi, magazynowany głównie w wątrobie i mięśniach, - celuloza – składnik budulcowy ścian komórkowych roślin; celuloza jest nierozpuszczalna w wodzie, stanowi błonnik pokarmowy, - chityna – buduje pancerzyki stawonogów i ściany komórkowe grzybów.
Ćwiczenia utrwalające
R1B1ZQ9GMOFQG
Ćwiczenie 2
Z podanych cukrów wybierz pentozy: Możliwe odpowiedzi: 1. glukoza, 2. galaktoza, 3. ryboza, 4. fruktoza, 5. deoksyryboza
ROBER7XCNBXS9
Ćwiczenie 3
Wskaż związek, który nie jest disacharydem: Możliwe odpowiedzi: 1. laktaza, 2. maltoza, 3. laktoza, 4. galaktoza
R1UN94BG5OQ56
Ćwiczenie 4
Na podstawie opisu dopasuj do niego nazwę cukru. Sacharoza Możliwe odpowiedzi: 1. Forma transportowa cukrów u roślin, 2. Składnik pyłku i nektaru roślin, 3. Substancja zapasowa u grzybów, 4. Budulec ściany komórkowej bakterii Trehaloza Możliwe odpowiedzi: 1. Forma transportowa cukrów u roślin, 2. Składnik pyłku i nektaru roślin, 3. Substancja zapasowa u grzybów, 4. Budulec ściany komórkowej bakterii Maltoza Możliwe odpowiedzi: 1. Forma transportowa cukrów u roślin, 2. Składnik pyłku i nektaru roślin, 3. Substancja zapasowa u grzybów, 4. Budulec ściany komórkowej bakterii Peptydoglikan Możliwe odpowiedzi: 1. Forma transportowa cukrów u roślin, 2. Składnik pyłku i nektaru roślin, 3. Substancja zapasowa u grzybów, 4. Budulec ściany komórkowej bakterii
Na podstawie opisu dopasuj do niego nazwę cukru. Sacharoza Możliwe odpowiedzi: 1. Forma transportowa cukrów u roślin, 2. Składnik pyłku i nektaru roślin, 3. Substancja zapasowa u grzybów, 4. Budulec ściany komórkowej bakterii Trehaloza Możliwe odpowiedzi: 1. Forma transportowa cukrów u roślin, 2. Składnik pyłku i nektaru roślin, 3. Substancja zapasowa u grzybów, 4. Budulec ściany komórkowej bakterii Maltoza Możliwe odpowiedzi: 1. Forma transportowa cukrów u roślin, 2. Składnik pyłku i nektaru roślin, 3. Substancja zapasowa u grzybów, 4. Budulec ściany komórkowej bakterii Peptydoglikan Możliwe odpowiedzi: 1. Forma transportowa cukrów u roślin, 2. Składnik pyłku i nektaru roślin, 3. Substancja zapasowa u grzybów, 4. Budulec ściany komórkowej bakterii
RTL7XTP2229R5
Ćwiczenie 5
Wybierz odpowiedź, która najlepiej opisuje funkcje glikogenu: Możliwe odpowiedzi: 1. jest rozkładany w wątrobie aby dostarczyć glukozę do krwi, 2. stanowi podporę dla komórek mięśni szkieletowych, 3. bierze udział w rozpoznawaniu antygenów komórkowych, 4. pełni funkcję magazynu glukozy u roślin
R8HKLFP4NH4G4
Ćwiczenie 6
Wskaż właściwe określenia, tak aby zdania były prawdziwe. Skrobia i glikogen to polimery, w których skład wchodzi mer należący do pentozheksoz. Wielocukry te nie rozpuszczają się w wodzie, dzięki czemu mogą pełnić funkcję zapasowąenergetyczną. Skrobia występuje m.in. w ścianach komórkowychnasionach zbóż, a glikogen znajduje się m.in. w ścianach komórkowych grzybówmięśniach zwierząt.
Wskaż właściwe określenia, tak aby zdania były prawdziwe. Skrobia i glikogen to polimery, w których skład wchodzi mer należący do pentozheksoz. Wielocukry te nie rozpuszczają się w wodzie, dzięki czemu mogą pełnić funkcję zapasowąenergetyczną. Skrobia występuje m.in. w ścianach komórkowychnasionach zbóż, a glikogen znajduje się m.in. w ścianach komórkowych grzybówmięśniach zwierząt.
Polecenie 1
1
W poniższej grze wybierz dwa monosacharydy oraz dopasuj odpowiednie wiązanie, aby stworzyć konkretny disacharyd.
R6T4617255AR61
Gra przedstawia kamienne biurko, na którym jest pióro, duży zwój papieru ze znakami, po bokach są małe karteczki. Karteczki na dole są podpisane: galaktoza , glukoza i fruktoza. Z prawej strony są wypisane różne wiązania glikozydowe. Należy wybrać dwa monosacharydy i jedno prawidłowe wiązanie aby utworzyć konkretny disacharyd. Po kliknięciu w dane karteczki pojawiają się one na dużym zwoju. Jeżeli ułożymy prawidłowe elementy to po kliknięciu przycisku 'START' wzoru na zwoju podświetlą się i na środku niebieskiego koło wyświetli się powstały disacharyd i jego wzór strukturalny.
Gra przedstawia kamienne biurko, na którym jest pióro, duży zwój papieru ze znakami, po bokach są małe karteczki. Karteczki na dole są podpisane: galaktoza , glukoza i fruktoza. Z prawej strony są wypisane różne wiązania glikozydowe. Należy wybrać dwa monosacharydy i jedno prawidłowe wiązanie aby utworzyć konkretny disacharyd. Po kliknięciu w dane karteczki pojawiają się one na dużym zwoju. Jeżeli ułożymy prawidłowe elementy to po kliknięciu przycisku 'START' wzoru na zwoju podświetlą się i na środku niebieskiego koło wyświetli się powstały disacharyd i jego wzór strukturalny.
Wróć do polecenia na stronie „Na dobry początek” i dopisz brakujące definicje. Pamiętaj, żeby nie kopiować słownika, ale wyjaśnić każde słowo kluczowe w miarę możliwości swoimi słowami.