Poniższy materiał stanowi uzupełnienie treści zawartych w materiale: https://zpe.gov.pl/a/tluszcze–budowa-i-wlasciwosci/DFLJM3afU

Tłuszcze są niezbędnym elementem zróżnicowanej diety każdego człowieka i towarzyszą nam na co dzień. Czy zastanawiałeś się, jak wygląda cząsteczka tłuszczu? Z doświadczenia wiesz na pewno, że nie możemy rozpuścić masła lub oleju w wodzie. Dlaczego tak się dzieje? Aby odpowiedzieć na te pytania, należy przeanalizować budowę cząsteczek tłuszczów. Dzięki temu możemy zrozumieć wynikające z niej właściwości fizyczne i chemiczne.

Aby zrozumieć poruszane w tym materiale zagadnienia, przypomnij sobie:
  • budowę propano–1,2,3–triolu (glicerolu);

  • budowę długołańcuchowych kwasów monokarboksylowych (kwasów tłuszczowych);

  • przebieg reakcji estryfikacji;

  • definicje właściwości fizycznych i chemicznych substancji chemicznych.

Nauczysz się
  • przedstawiać i opisywać budowę cząsteczki tłuszczu jako estru glicerolu i kwasów tłuszczowych;

  • klasyfikować tłuszcze pod względem pochodzenia, stanu skupienia i charakteru chemicznego;

  • opisywać wybrane właściwości fizyczne tłuszczów;

  • projektować i przeprowadzać doświadczenie pozwalające odróżnić tłuszcz nienasycony od nasyconego;

  • projektować i przeprowadzać doświadczenie pozwalające otrzymać mydło;

  • wykazywać związek między właściwościami tłuszczów a ich budową chemiczną.

bg‑yellow

Czym są tłuszcze?

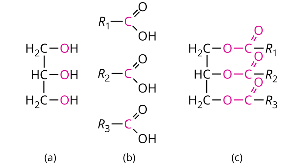
TłuszczetłuszczeTłuszcze to pod względem chemicznym estryestryestry alkoholu polihydroksylowego – glicerolu (propano–1,2,3–triolu) oraz długołańcuchowych kwasów monokarboksylowych, inaczej nazywanych wyższymi kwasami karboksylowymiwyższe kwasy karboksylowe (kwasy tłuszczowe)wyższymi kwasami karboksylowymi czy kwasami tłuszczowymi.

RDLVMA7mL395w
Wzór półstrukturalny glicerolu (a), trzy ogólne wzory kwasów tłuszczowych (gdzie R1, R2, R3 oznaczają reszty kwasów tłuszczowych) (b), powstający w wyniku ich połączenia – wzór ogólny tłuszczu, w którym na czerwono zaznaczone zostało wiązanie estrowe
Źródło: GroMar Sp. z o.o., licencja: CC BY-SA 3.0.

Cząsteczka gliceroluglicerolglicerolu posiada trzy grupy hydroksylowe, które tworzą trzy wiązania estrowe z trzema grupami karboksylowymi pochodzącymi od kwasów tłuszczowych. W cząsteczce tłuszczu możemy zatem wyróżnić część pochodzącą od alkoholu oraz część pochodzącą od kwasów.

R1JoLw7vRjbgE
Cząsteczka tłuszczu zawiera w swojej budowie część pochodzącą od glicerolu (propano–1,2,3–triolu) oraz część pochodzącą od kwasów tłuszczowych.
Źródło: GroMar Sp. z o.o., licencja: CC BY-SA 3.0.

Przypomnijmy, że kwasy tłuszczowe są w większości związkami chemicznymi o prostych i długich łańcuchach węglowych, zawierających parzystą liczbę atomów węgla.

\ Cząsteczki tłuszczów najczęściej są tworzone przez następujące kwasy tłuszczowe:

  • nasycone (pomiędzy atomami węgla w cząsteczce występują wyłącznie wiązania pojedyncze), o stałym stanie skupienia:

kwas palmitynowy (kwas heksadekanowy) o wzorze C15H31COOH, którego cząsteczkę możemy przedstawić za pomocą następujących wzorów:

R1EOWTlT1OaSJ
Wzory grupowe kwasu palmitynowego.
Źródło: GroMar Sp. z o.o., licencja: CC BY-SA 3.0.

kwas stearynowy (kwasu oktadekanowy) o wzorze C17H35COOH, którego cząsteczkę możemy przedstawić za pomocą następujących wzorów:

R1MGqiRcGsNpv
Wzory grupowe kwasu stearynowego.
Źródło: GroMar Sp. z o.o., licencja: CC BY-SA 3.0.
  • nienasycone (pomiędzy atomami węgla w cząsteczce występuje jedno wiązanie wielokrotne), o ciekłym stanie skupienia:

kwas oleinowy (kwas cis–oktadec–9–enowy) o wzorze C17H33COOH, którego cząsteczkę możemy przedstawić za pomocą następujących wzorów:

R1Y1knQQ9q8gc
Wzór półstrukturalny i grupowy kwasu oleinowego
Źródło: GroMar Sp. z o.o., licencja: CC BY-SA 3.0.
Ważne!

Przedrostek cis pochodzi o nazwy izomerii – cis–trans, której podlega kwas oleinowy. Izomery cis–trans różnią się położeniem atomów lub grup w stosunku do płaszczyzny odniesienia. W izomerach cis grupy o większej masie molowej są po tej samej stronie płaszczyzny wiązania, a w izomerach trans po przeciwnych stronach.

Jednak, dla wygody, we wzorach tłuszczów stosujemy wzory sumaryczne reszt kwasów tłuszczowych, jak na poniższych przykładach:

RULFafGVEkmM91
Wzory półstrukturalne tristearynianu glicerolu, trioleinianu glicerolu i 1–oleilo–3–palmitylo–2–stearynianu glicerolu
Źródło: GroMar Sp. z o.o., licencja: CC BY-SA 3.0.
1
Polecenie 1
RSP6yhV5tp5Rs
Poniżej przedstawiono wzory wybranych cząsteczek tłuszczów. Wskaż, który z nich przedstawia budowę tripalmitynianu glicerolu.
Źródło: GroMar Sp. z o. o., licencja: CC BY-SA 3.0.
RIQ9UOBERuuw4
Źródło: GroMar Sp. z o. o., licencja: CC BY-SA 3.0.

\ Występują trzy główne kryteria klasyfikacji tłuszczów, jednak należy pamiętać, że są one ściśle ze sobą związane.

1
RAECAPl0pG2zX1
Schemat. Lista elementów:
  • Nazwa kategorii: Podział tłuszczów ze względu na
    • Elementy należące do kategorii Podział tłuszczów ze względu na
    • Nazwa kategorii: pochodzenie
      • Elementy należące do kategorii pochodzenie
      • Nazwa kategorii: roślinne
      • Nazwa kategorii: zwierzęce
      • Koniec elementów należących do kategorii pochodzenie
    • Nazwa kategorii: stan skupienia
      • Elementy należące do kategorii stan skupienia
      • Nazwa kategorii: ciekłe
      • Nazwa kategorii: stałe
      • Koniec elementów należących do kategorii stan skupienia
    • Nazwa kategorii: charakter chemiczny
      • Elementy należące do kategorii charakter chemiczny
      • Nazwa kategorii: nasycone
      • Nazwa kategorii: nienasycone
      • Koniec elementów należących do kategorii charakter chemiczny
      Koniec elementów należących do kategorii Podział tłuszczów ze względu na
Klasyfikacja tłuszczów
Źródło: GroMar Sp. z o.o., licencja: CC BY-SA 3.0.

Na mapie myśli ukazano klasyfikację tłuszczów. Dzielą się one ze względu na pochodzenie, stan skupienia oraz charakter chemiczny. Ze względu na pochodzenie wyróżnia się tłuszcze roślinne i zwierzęce, ze względu na stan skupienia wyróżnia się tłuszcze ciekłe i stałe, a ze względu na charakter chemiczny wyróżnia się tłuszcze nasycone i nienasycone.

bg‑yellow

Pochodzenie tłuszczów

Tłuszcze pochodzenia roślinnego, czyli tak zwane tłuszcze roślinne, to produkty pochodzenia naturalnego, uzyskiwane głównie z nasion, owoców oraz pestek roślin, np.: olej lniany, olej rzepakowy, olej słonecznikowy czy masło orzechowe.

Tłuszcze pochodzenia zwierzęcego, czyli tak zwane tłuszcze zwierzęce, to produkty pochodzenia naturalnego, uzyskiwane z tkanki tłuszczowej i mięsa zwierząt oraz mleka, np.: masło, smalec, masło klarowane, łój wołowy, kaczy oraz gęsi czy olej z łososia lub tran.

Tłuszcze mieszane to kombinacja tłuszczów roślinnych i zwierzęcych. Jako produkty spożywcze, nazywane są „miksami do smarowania”. Stanowią połączenie naturalnych tłuszczów roślinnych z masłem, czyli tłuszczem zwierzęcym.

bg‑yellow

Stan skupienia tłuszczów

Tłuszcze o ciekłym stanie skupienia to głównie tłuszcze pochodzenia roślinnego. Wyjątkami są masła: kakaowe, orzechowe czy kokosowe, które w temperaturze pokojowej występują w stałym stanie skupienia.

Tłuszcze o stałym stanie skupienia to głównie tłuszcze pochodzenia zwierzęcego. Wyjątek stanowi tran, który jest tłuszczem ciekłym otrzymywanym z wątroby niektórych ryb (np. z dorszy czy rekinów) i tkanki tłuszczowej niektórych ssaków morskich (np. z wielorybów czy fok).

bg‑yellow

Charakter chemiczny tłuszczów

RE0wgaDSI0Fjv1
Głównymi składnikami słoniny są tłuszcze nasycone.
Źródło: Michela Simoncini, licencja: CC BY-SA 3.0.

Tłuszcze nasycone pochodzą od nasyconych kwasów tłuszczowych, czyli takich, w których pomiędzy atomami węgla występują jedynie wiązania pojedyncze. Są najczęściej pochodzenia zwierzęcego, dlatego występują głównie w stałym stanie skupienia. Należą do nich np. tristearynian glicerolu czy tripalmitynian glicerolu.  Tłuszcze nienasycone pochodzą od nienasyconych wyższych kwasów karboksylowych, w których pomiędzy atomami węgla występuje jedno lub więcej wiązań wielokrotnych. Tłuszcze te są najczęściej pochodzenia roślinnego, więc głównie są cieczami. Należy do nich np. trioleinian glicerolu.

RRILvBZGywdf71
Głównymi składnikami oleju lnianego są nienasycone kwasy tłuszczowe.
Źródło: kamilla02, pixabay.com, domena publiczna.

Aby odróżnić tłuszcze nasycone od nienasyconych, wykorzystujemy np. wodny roztwór bromu lub roztwór bromu w chloroformie (trichlorometanie, CHCl3). Wyłącznie tłuszcze nienasycone, czyli takie, które zawierają w swojej budowie wiązanie wielokrotne, reagują z bromem. Obserwujemy wówczas odbarwienie roztworu bromu, zarówno rozpuszczonego w wodzie, jak i chloroformie (lub innym rozpuszczalniku niepolarnym).

Tłuszcze nasycone nie ulegają reakcji z bromem w tych warunkach. Innym sposobem odróżnienia tłuszczów nasyconych od nienasyconych jest przeprowadzenie reakcji z wodnym roztworem manganianu(VII) potasu (KMnO4). Podobnie jak w przypadku reakcji z bromem, tutaj również obserwujemy odbarwienie roztworu, ale dodatkowo wytrąca się brunatny, kłaczkowaty osad w reakcji z nienasyconym tłuszczem. Tłuszcz nasycony nie ulega reakcji z manganianem(VII) potasu.

bg‑yellow

Dlaczego tłuszcze trudno rozpuszczają się w wodzie?

Analizując budowę cząsteczki tłuszczu, możemy zauważyć, że występują w nich długie łańcuchy węglowodorowe.

RXsetq6W2bgho1
Budowa cząsteczki tłuszczu
Źródło: GroMar Sp. z o. o., Shutterstock, tylko do użytku edukacyjnego na zpe.gov.pl.
RWN3qdmuoD3fs1
Mieszanina wody i oleju. Olej tworzy górną warstwę na powierzchni wody.
Źródło: Victor Blacus, Wikimedia Commons, licencja: CC BY-SA 3.0.

Łańcuchy te są hydrofobowe, tzn. „bojące się” wody. Dlatego też tłuszcze praktycznie nie rozpuszczają się w wodzie i innych rozpuszczalnikach polarnych, np. etanolu. Dobrze rozpuszczają się natomiast w rozpuszczalnikach niepolarnych, takich jak np. benzyna, chloroform czy nafta. Tłuszcze są zatem substancjami niepolarnymi, rozpuszczającymi się w rozpuszczalnikach niepolarnych na zasadzie „podobne rozpuszcza się w podobnym”.

Tłuszcze mają mniejszą gęstość od wody, dlatego po zmieszaniu np. oleju rzepakowego i wody, olej unosi się na jej powierzchni, jak na zdjęciu po prawej stronie.

bg‑yellow

Utwardzanie tłuszczów

Około 1903 r. Wilhelm Normann – niemiecki chemik – wynalazł i opatentował proces częściowego uwodornienia ciekłych tłuszczów roślinnych w produkcji margaryny. Jest to proces utwardzania tłuszczówutwardzanie tłuszczówutwardzania tłuszczów, czyli zamiany tłuszczów ciekłych w stałe. Wilhelm Normann tym samym przyczynił się do znaczącego rozwoju przemysłu spożywczego. Jednak produkcja margaryny przestała cieszyć się dobrą sławą, kiedy okazało się, że podczas całego procesu tworzą się niekorzystne dla zdrowia tłuszcze typu trans (zawierające reszty kwasowe kwasów tłuszczowych o konfiguracji trans).

W dzisiejszych czasach częściowe uwodornienie jest praktycznie całkowicie wyeliminowane z produkcji margaryn, jednak wciąż tego typu tłuszczów używa się w przemyśle ciastkarskim oraz typu fast–food. Jak więc przebiega proces utwardzania tłuszczów?

RcCvrVcAEVs7Q
Początkowo masowa produkcja margaryny była koniecznością i miała zaspokoić niedobory masła. Nikt wówczas nie zwracał uwagi na zbyt dużą ilość tak zwanych tłuszczów trans spożywanych przez społeczeństwo. W dzisiejszych czasach margaryna zyskuje popularność ze względów dietetycznych, ponieważ produkuje się ją w taki sposób, aby zawierała zdrowe dla organizmu tak zwane tłuszcze cis.
Źródło: Dwayne Madden, licencja: CC BY-SA 2.0.

Nienasycone tłuszcze zbudowane są z reszt kwasowych, w których występują wiązania wielokrotne. Dzięki temu mają one zdolność przyłączania cząsteczek wodoru. Wówczas z tłuszczu nienasyconego otrzymuje się tłuszcz nasycony, a cały proces określamy jako utwardzanie tłuszczu, ze względu na zmianę stanu skupienia tłuszczu – z ciekłego na stały. Utwardzanie to przemysłowa nazwa katalitycznego uwodornienia, ponieważ cały proces polega na dodawaniu wodoru, w obecności katalizatora (niklu), do momentu uzyskania pożądanej konsystencji tłuszczu.

Takiej reakcji ulega np. trioleinian glicerolu. W wyniku katalitycznego uwodoronienia otrzymujemy wówczas tristearynian glicerolu, zgodnie z poniższym równaniem reakcji:

RJXI7iS0JwqPw1
W procesie uwodornienia, cząsteczki wodoru przyłączają się do atomów węgla związanych wiązaniem podwójnym kosztem jego rozerwania.
Źródło: GroMar Sp. z o.o., licencja: CC BY-SA 3.0.

lub za pomocą wzorów uproszczonych:

R17ESAT2ept6g1
Uproszczony zapis procesu uwodornienia
Źródło: GroMar Sp. z o.o., licencja: CC BY-SA 3.0.

W jaki sposób z tłuszczu otrzymuje się mydło?

Mydła to sole sodowe lub potasowe kwasów tłuszczowych, np. stearynian sodu czy palmitynian potasu. Znane z codziennego życia mydło jest najczęściej mieszaniną soli sodowych kwasów tłuszczowych, ponieważ tłuszcz, z którego jest wykonane, też jest mieszaniną. Mydła powstają w reakcji zmydlaniazmydlanie tłuszczówzmydlania, czyli zasadowej hydrolizy tłuszczów. Obok nich powstaje również glicerol (propano–1,2,3–triolu).

Przykładowo, z tristerynianu glicerolu, za pomocą wodnego roztworu wodorotlenku sodu, możemy otrzymać stearynian sodu – mydło oraz glicerol, zgodnie z poniższym równaniem reakcji:

R7Q9XpXzE851P1
Równanie reakcji zmydlania tristerynianu glicerolu
Źródło: GroMar Sp. z o.o., licencja: CC BY-SA 3.0.
R3hJBsDR96j1F
Mydła to sole sodowe lub potasowe kwasów tłuszczowych, powstające między innymi na drodze hydrolizy zasadowej tłuszczów
Źródło: christiancmccorbeti, domena publiczna.
bg‑yellow

Reakcje wybranych tłuszczów z KMnOIndeks dolny 4

11
Laboratorium 1

Przeprowadź doświadczenie w wirtualnym laboratorium chemicznym polegające na odróżnieniu tłuszczu nasyconego od tłuszczu nienasyconego za pomocą wodnego roztworu KMnO4. Rozwiąż problem badawczy i zweryfikuj hipotezę. W formularzu zapisz obserwacje i wyniki, a następnie sformułuj wnioski.

R1OZ7eFXVP8lc
Wirtualne laboratorium pt. Reakcja tłuszczów z KMnO4
Źródło: GroMar Sp. z o. o., licencja: CC BY-SA 3.0.

Zapoznaj się z poniższym opisem doświadczenia, a następnie wykonaj polecenia.

Hipoteza:

Za pomocą wodnego roztworu KMnO4 możemy odróżnić tłuszcz nasycony od nienasyconego.

Sprzęt laboratoryjny:

  • dwie probówki z korkiem;

  • pipety Pasteura;

  • łyżeczki.

Odczynniki chemiczne:

  • wodny roztwór KMnO 4;

  • masło;

  • olej rzepakowy.

Przebieg eksperymentu:

Do obu probówek za pomocą pipety wprowadzono niewielką ilość wodnego roztworu KMnO4. Do pierwszej probówki wprowadzono za pomocą łyżeczki niewielką ilość masła. Do drugiej probówki za pomocą pipety wprowadzono niewielką ilość oleju rzepakowego. Obie probówki zamknięto korkiem i wytrząsano.

Obserwacje:

Probówka z olejem rzepakowym:

 Powstaje brunatny, kłaczkowaty osad, roztwór odbarwia się.

 Probówka z masłem:

Brak widocznych objawów reakcji.

Wyniki:

Olej rzepakowy reaguje z wodnym roztworem manganianu(VII) potasu. W jego składzie znajdują się zatem tłuszcze nienasycone.

Masło nie reaguje z wodnym roztworem
manganianu(VII) potasu. W jego składzie znajdują się zatem tłuszcze nasycone.

Wnioski:

Hipoteza została potwierdzona.

R1CqrJHBbqfCF
Temat: Odróżnianie tłuszczu nienasyconego od nasyconego. Problem badawczy: Czy za pomocą wodnego roztworu KMnO4 możemy odróżnić tłuszcz nasycony od nienasyconego?. Hipoteza: (Uzupełnij) Sprzęt laboratoryjny: (Uzupełnij) Odczynniki chemiczne: (Uzupełnij) Przebieg eksperymentu: (Uzupełnij) Obserwacje: (Uzupełnij) Wyniki: (Uzupełnij) Wyniki: (Uzupełnij).
Źródło: GroMar Sp. z o.o., licencja: CC BY-SA 3.0.
Polecenie 2
R1SPZi8wgYL6b
Uzupełnij poniższe zdania, wybierając odpowiednie słowo spośród podanych. Masło należy do tłuszczów roślinnych/ zwierzęcych, w których większość reszt kwasowych pochodzi od nasyconych/ nienasyconych kwasów tłuszczowych. Dlatego masło reaguje/ nie reaguje z wodnym roztworem manganianu(siedem) potasu.
Źródło: GroMar Sp. z o. o., licencja: CC BY-SA 3.0.
Polecenie 3
R1RWtf7UYOwdN
Poniżej podane się nazwy rożnych substancji chemicznych. Wśród nich znajdują się te niezbędne do przeprowadzenia doświadczenia, polegającego na odróżnieniu tłuszczów nasyconych od nienasyconych. Zaznacz je. Możliwe odpowiedzi: 1. glicerol, 2. olej lniany, 3. siarczan(cztery) sodu, 4. sód, 5. woda destylowana, 6. smalec, 7. manganian(siedem) potasu, 8. skrobia ziemniaczana, 9. wodorotlenek sodu, 10. tlenek manganu(cztery), 11. siarczan(cztery) manganu(dwa)
Źródło: GroMar Sp. z o. o., licencja: CC BY-SA 3.0.
1
Polecenie 4
RnAM7vveDOwge
Poniżej przedstawiono wzory wybranych cząsteczek tłuszczów. Wskaż wszystkie te, które mogłyby spowodować odbarwienie i wytrącenie się brunatnego osadu.
Źródło: GroMar Sp. z o.o., licencja: CC BY-SA 3.0.
R11B42g1F6yaU
Źródło: GroMar Sp. z o. o., licencja: CC BY-SA 3.0.
bg‑yellow

Otrzymywanie mydła

11
Laboratorium 2

Przeprowadź doświadczenie w wirtualnym laboratorium chemicznym polegające na otrzymaniu mydła w wyniku zmydlania tłuszczu. Rozwiąż problem badawczy i zweryfikuj hipotezę. W formularzu zapisz obserwacje i wyniki, a następnie sformułuj wnioski.

R1d3uJShmCr1l
Wirtualne laboratorium pt. Otrzymywanie mydła
Źródło: GroMar Sp. z o. o., licencja: CC BY-SA 3.0.

Zapoznaj się z poniższym opisem doświadczenia, a następnie wykonaj polecenia.

Hipoteza:

Mydło sodowe można otrzymać w wyniku zasadowej hydrolizy tłuszczu, czyli w reakcji zmydlania tłuszczu.

Sprzęt laboratoryjny:

  • kolba okrągłodenna (100 cm3);

  • płaszcz grzejny;

  • mieszadło magnetyczne;

  • dwie łyżeczki;

  • probówka z korkiem;

  • cylinder miarowy.

Odczynniki chemiczne:

  • margaryna;

  • wodny roztwór wodorotlenku sodu o stężeniu 20%;

  • etanol;

  • nasycony roztwór NaCl;

  • woda destylowana.

Przebieg eksperymentu:

Za pomocą łyżeczki umieszczono około 2 g margaryny w kolbie okrągłodennej zaopatrzonej w mieszadełko magnetyczne. Do kolby dodano 10 cm3 wodnego roztworu wodorotlenku sodu o stężeniu 20%, odmierzonego za pomocą cylindra miarowego. Następnie dodano około 1 cm3 etanolu. Umieszczono kolbę w płaszczu grzejnym i ogrzewano do wrzenia przez 10 min, stale mieszając. Do probówki wlano niewielką ilość otrzymanej mieszaniny. Do uzyskanej masy dodano 5 cm3 nasyconego roztworu NaCl, odmierzonego za pomocą cylindra miarowego. Wymieszano dokładnie powstałą mieszaninę, a następnie ochłodzono do temperatury pokojowej. Do probówki wlano 10 cm3 wody destylowanej odmierzonej za pomocą cylindra miarowego, a następnie wytrząśnięto zawartość.

Obserwacje:

Podczas ogrzewania tłuszcz rozpuszcza się stopniowo (roztwór klarowny, o bladożółtym zabarwieniu). Mieszanina zaczyna się pienić. Po dodaniu roztworu NaCl i ochłodzeniu do temperatury pokojowej na powierzchni powstaje mazista, biała substancja, która po wytrząsaniu z wodą destylowaną intensywnie się pieni.

Wyniki:

Tłuszcze w środowisku zasadowym ulegają reakcji hydrolizy, w efekcie czego powstaje mydło. 

Wnioski:

Hipoteza została potwierdzona.

R5jC7qdchSioi
Temat: Otrzymywanie mydła. Problem badawczy: Czy można otrzymać mydło w reakcji zasadowej hydrolizy tłuszczu stałego?. Hipoteza: (Uzupełnij) Sprzęt laboratoryjny: (Uzupełnij) Odczynniki chemiczne: (Uzupełnij) Przebieg eksperymentu: (Uzupełnij) Obserwacje: (Uzupełnij) Wyniki: (Uzupełnij) Wyniki: (Uzupełnij).
Źródło: GroMar Sp. z o.o., licencja: CC BY-SA 3.0.
Polecenie 5
RclxYyoFjaayT
Wskaż zakończenie poniższego zdania.

Zmydlanie tłuszczów zachodzi w wyniku: Możliwe odpowiedzi: 1. hydrolizy kwasowej tłuszczów., 2. hydrolizy kwasowej kwasów tłuszczowych., 3. hydrolizy zasadowej tłuszczów., 4. hydrolizy zasadowej kwasów tłuszczowych.
Źródło: GroMar Sp. z o. o., licencja: CC BY-SA 3.0.
Polecenie 6
RwVvXfbjxqh9G
Możliwe odpowiedzi: 1. C indeks dolny, piętnaście, koniec indeksu dolnego, H indeks dolny, trzydzieści jeden, koniec indeksu dolnego, C O O H, 2. C indeks dolny, dwa, koniec indeksu dolnego, H indeks dolny, pięć, koniec indeksu dolnego, C O O K, 3. C indeks dolny, siedemnaście, koniec indeksu dolnego, H indeks dolny, trzydzieści pięć, koniec indeksu dolnego, C O O N a, 4. C indeks dolny, dwa, koniec indeksu dolnego, H indeks dolny, pięć, koniec indeksu dolnego, O K, 5. C indeks dolny, piętnaście, koniec indeksu dolnego, H indeks dolny, trzydzieści jeden, koniec indeksu dolnego, C O O N a, 6. C indeks dolny, siedemnaście, koniec indeksu dolnego, H indeks dolny, trzydzieści trzy, koniec indeksu dolnego, C O O H, 7. C indeks dolny, trzy, koniec indeksu dolnego, H indeks dolny, siedem, koniec indeksu dolnego, C O O K, 8. (C17H indeks dolny, trzydzieści pięć, koniec indeksu dolnego, COO) dwa M g
Źródło: GroMar Sp. z o. o., licencja: CC BY-SA 3.0.
1
Polecenie 7
Rav1HzziwT4AE
Odpowiedź zapisz w zeszycie do lekcji chemii, zrób zdjęcie, a następnie umieść je w wyznaczonym polu.
Źródło: GroMar Sp. z o.o., licencja: CC BY-SA 3.0.
Polecenie 7
RuxEtw1vO3Pcl
Źródło: GroMar Sp. z o. o., licencja: CC BY-SA 3.0.

Słownik

estry
estry

(niem. Essig „ocet” i Äther „eter”) są to związki chemiczne, które powstają w wyniku działania alkoholu na kwas w reakcji zwanej estryfikacją

fat
fat

chemical compounds belonging to the group of esters; are liquids (vegetable fats and fish fat) and solids (animal fats); fats dissolve poorly in water and in simple alcohols (e.g. ethanol), but they dissolve very well in chloroform; Due to their high molecular weight, they have a high boiling point.

glicerol
glicerol

(gr. glykys „słodki”) alkohol polihydroksylowy zawierający trzy grupy hydroksylowe; jego nazwa systematyczna to propano–1,2,3–triolu; powszechnie znany jest również pod nazwą gliceryna

wyższe kwasy karboksylowe (kwasy tłuszczowe)
wyższe kwasy karboksylowe (kwasy tłuszczowe)

kwasy karboksylowe, które zawierają długie łańcuchy węglowe, zbudowane z ponad 10 atomów węgla

tłuszcze
tłuszcze

estry glicerolu (propano–1,2,3–triolu) i kwasów tłuszczowych.

zmydlanie tłuszczów
zmydlanie tłuszczów

reakcja hydrolizy zasadowej tłuszczów, w wyniku której powstają sole kwasów tłuszczowych, czyli mydła oraz glicerol

utwardzanie tłuszczów
utwardzanie tłuszczów

reakcja katalitycznego uwodornienia tłuszczów, w której tłuszcze nienasycone przekształcają się w tłuszcze nasycone

Ćwiczenia

Pokaż ćwiczenia:
R1Gtn5yX5ULM31
Ćwiczenie 1
Uzupełnij poniższe zdanie, wybierając właściwe słowo. Tłuszcze wykazują hydrofilowy/ hydrofobowy charakter, ze względu na występowanie w ich strukturze fragmentów krótkich/ długich łańcuchów polarnych/niepolarnych węglowodorów. Dlatego dobrze rozpuszczają się w rozpuszczalnikach polarnych/niepolarnych, a słabo w rozpuszczalnikach polarnych/niepolarnych.
Źródło: GroMar Sp. z o.o., licencja: CC BY-SA 3.0.
R1MVhqOzrsc4F1
Ćwiczenie 2
Tłuszcze to estry kwasów tłuszczowych i pewnego alkoholu. Wskaż jego wzór półstrukturalny.
Źródło: GroMar Sp. z o.o., licencja: CC BY-SA 3.0.
RAyJmMoRAhp0J1
Ćwiczenie 2
Źródło: GroMar Sp. z o. o., licencja: CC BY-SA 3.0.
21
Ćwiczenie 3

Poniżej przedstawiono uproszczony wzór tripalmitynianu glicerolu. 

RduyXKf0kWD6L
Źródło: GroMar Sp. z o.o., licencja: CC BY-SA 3.0.
R1bb9LDW4hfA7
Odpowiedź zapisz w zeszycie do lekcji chemii, zrób zdjęcie, a następnie umieść je w wyznaczonym polu.
Źródło: GroMar Sp. z o.o., licencja: CC BY-SA 3.0.
R12ZMolfIVLfW2
Ćwiczenie 3
Źródło: GroMar Sp. z o. o., licencja: CC BY-SA 3.0.
R10VPfSeK2Hki2
Ćwiczenie 4
Poniżej zapisano wybrane informacje dotyczące różnych tłuszczów. Zaznacz wszystkie te, które są wspólne dla tristearynianu glicerolu i tripalmitynianu glicerolu. Możliwe odpowiedzi: 1. Są substancjami ciekłymi., 2. Dobrze rozpuszczają się w benzynie., 3. Pochodzą od wyższych kwasów tłuszczowych i glicerolu, 4. Reagują z bromem., 5. Ich cząsteczki zawierają wiązania estrowe, 6. Dobrze rozpuszczają się w wodzie., 7. Reagują z wodorem., 8. Zawierają powyżej dziesięciu atomów węgla w cząsteczce., 9. Są substancjami stałymi.
Źródło: GroMar Sp. z o. o., licencja: CC BY-SA 3.0.
R12qmr7J1DXiV2
Ćwiczenie 5
Źródło: GroMar Sp. z o. o., licencja: CC BY-SA 3.0.
31
Ćwiczenie 6

Poniżej przedstawiono równanie pewnej reakcji chemicznej z udziałem tłuszczu.

RRHAm0U2iTdzO
Źródło: GroMar Sp. z o.o., licencja: CC BY-SA 3.0.
ReN34LSbNEP4L
Jak nazywa się reakcja opisana powyższym równaniem? Wskaż prawidłową odpowiedź. Możliwe odpowiedzi: 1. Zmydlanie tłuszczu, 2. Hydroliza zasadowa tłuszczu, 3. Estryfikacja, 4. Utwardzanie tłuszczu
Źródło: GroMar Sp. z o. o., licencja: CC BY-SA 3.0.
R17TCddrSZE5l
Źródło: GroMar Sp. z o. o., licencja: CC BY-SA 3.0.
3
Ćwiczenie 7
Ry7vKo4Nmrqrs
Łączenie par. Mark True if the answer is true and False, if it is false.. Fats are a group of chemicals called esters.. Możliwe odpowiedzi: True, False. Liquid fats are compounds of plant origin, with the exception of fish oil.. Możliwe odpowiedzi: True, False. Liquid fats are mostly animal fats.. Możliwe odpowiedzi: True, False. Fats dissolve very well in non–polar solvents, such as water or simple alcohols.. Możliwe odpowiedzi: True, False. Fats are poorly soluble in polar solvents, such as petrol or tetrachloromethane.. Możliwe odpowiedzi: True, False. Fats have high boiling points due to their high molecular weights.. Możliwe odpowiedzi: True, False
Źródło: GroMar Sp. z o.o., licencja: CC BY-SA 3.0.
Glossary

Bibliografia

Dudek‑Różycki K., Płotek M., Wichur T., Kompendium terminologii oraz nazewnictwa związków organicznych, Kraków 2020.

Kulawik J., Kulawik T., Litwin M., Podręcznik do chemii dla klasy siódmej szkoły podstawowej, Warszawa 2020.

Łasiński D., Sporny Ł., Strutyńska D., Wróblewski P., Podręcznik dla klasy siódmej szkoły podstawowej, Mac Edukacja 2020.

McMurry J., Chemia organiczna, Warszawa 2016.

bg‑gray3

Notatnik

RMAR6g5tpTDjX
Miejsce na Twoje notatki: (Uzupełnij).
Źródło: GroMar Sp. z o. o., licencja: CC BY-SA 3.0.