Film samouczek
Czy wiesz, czym są wolne rodniki? Zapoznaj się z poniższym filmem, a następnie rozwiąż zadania.

Film dostępny pod adresem https://zpe.gov.pl/a/D15kXKyGy
Film nawiązujący do treści materiału dotyczącej wolnych rodników.
Zapoznaj się z poniższym tekstem.
Smog fotochemiczny, nazywany także smogiem typu Los Angeles, to typ smogu, powstającego w słoneczne dni w miejscach o dużym ruchu samochodowym i małym ruchu mas powietrza. Składniki spalin samochodowych (głównie tlenki azotu) oraz tlen atmosferyczny wchodzą w reakcję w obecności światła, tworząc m.in. toksyczną odmianę alotropową tlenu – ozon.
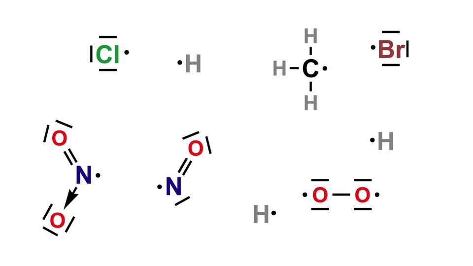
Poniżej przedstawiono reakcje, jakie mogą przebiegać podczas tworzenia się smogu fotochemicznego. Wskaż, które z drobin biorących udział w tych reakcjach, są rodnikami.