Film samouczek
Indukcja elektromagnetyczna w zadaniach
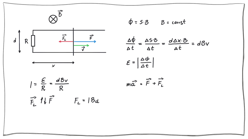
Film samouczek przedstawia przykładowe zadanie związane ze zjawiskiem indukcji elektromagnetycznej - analizę działania nietypowej prądnicy. Obejrzyj samouczek i wykonaj polecenia.
Film samouczek przedstawia przykładowe zadanie związane ze zjawiskiem indukcji elektromagnetycznej - analizę działania nietypowej prądnicy. Zapoznaj się z samouczkiem i wykonaj polecenia.
Źródło: Politechnika Warszawska Wydział Fizyki, licencja: CC BY 4.0. Licencja: https://creativecommons.org/licenses/by/4.0/deed.pl.

Film dostępny pod adresem /preview/resource/Rw2GYXuexLjTm
Źródło: Politechnika Warszawska Wydział Fizyki, licencja: CC BY 4.0. Licencja: https://creativecommons.org/licenses/by/4.0/deed.pl.
Zapoznaj się z treścią samouczka.
Polecenie 1
Znajdź prędkość graniczną dla konkretnych wartości wielkości występujących w omówionym zadaniu:
Polecenie 2
Czy powinna nas dziwić rosnąca zależność prędkości granicznej od oporu w obwodzie?