Rph4P4GdSTr8n

Hydrocarbon derivatives – a repetition lesson

Source: licencja: CC 0, [online], dostępny w internecie: pixabay.com.

Links to the lessons: 1, 2, 3, 4, 5, 6

Links to the abstracts: 1D17pD2kqt1, 2D9o2X5aSZ2, 3DxJYpjhhZ3, 4DTFQ76mB94, 5D5LqxmOA75, 6DTiRqUjPq6

You will learn
  • to ask questions and answer your friends' questions about hydrocarbon derivatives.

  • to consolidate the material from the lessons: „Alcohols – structure”, „Alcohols – properties”, „Alcohols – effects on the human body”, „Polyhydric alcohols”, „Carboxylic acids – properties”, „Esters – structure and properties”;

  • to consolidate the vocabulary related to the theme of hydrocarbon derivatives.

Before you begin solving the exercises, review abstracts „Alcohols – structure”, „Alcohols – properties”, „Alcohols – effects on the human body”, „Polyhydric alcohols”, „Carboxylic acids – properties”, „Esters – structure and properties” to recall the most important information and vocabulary. Then you will be able to check your knowledge. Good luck!

Before the lesson

Rngs0KNk4koa9
Przygotuj pytanie testowe jednokrotnego/wielokrotnego wyboru dotyczące zagadnień poruszanych na zajęciach. Podaj cztery warianty odpowiedzi, z których jedna/dwie będą poprawne.

Repetition

1
Task 1
R1VFNJPpsSvbv
Ułóż trzy pytania quizowe odnoszące się do abstraktu i daj je do rozwiązania swoim kolegom i koleżankom.
Task 2

Listen to the recording „Alcohols - effects on the human body” and write down questions you could ask your friend or colleague to check if he understood the text read. Also note the expected answers.

R1G7fBS4yo3wg
nagranie dźwiękowe abstraktu
R5EiOufmIHsT4
Wysłuchaj nagrania przygotuj listę pytań sprawdzających zrozumienie nagrania. Zadaj pytania koleżankom i kolegom w klasie.
RrQGNwWO9BOAM
Exercise 1
Indicate properties for ethanol. Możliwe odpowiedzi: 1. It is flammable, boiling point of 64.7 Celsius degrees., 2. Mix with water without restrictions., 3. It is alkaline due to the presence of hydroxyl group., 4. Has a characteristic, sharp smell., 5. Burns blue, yellow and smoky flame., 6. It is a white liquid., 7. Has a sharp taste.
Task 3

Listen to the recording „Carboxylic acids – properties” and write down questions you could ask your friend or colleague to check if he understood the text read. Also note the expected answers.

RGlAgSKEIDtUe
nagranie dźwiękowe abstraktu
R1Mm0jt0bQSXN
Zapisz swoje obserwacje i wnioski.
Task 4
R66XPXN7iHYT7
Complete a multiple-choice test question for the lesson "Esters – structure and properties".
1
Task 5
R1VIeQzREFdhU
Sformułuj zagadkę odnoszącą się do wybranego terminu słownikowego.
R1CEmvIxF2yk1
Exercise 2
Do you know how fragrant esters smell? Match the fragrance to the substance name. buthyl butyrate Możliwe odpowiedzi: 1. the smell of pineapples, 2. the smell of apples, 3. the smell of jasmine, 4. the smell of raspberries, 5. the smell of orange, 6. the smell of rum, 7. the smell of bananas methyl butyrate Możliwe odpowiedzi: 1. the smell of pineapples, 2. the smell of apples, 3. the smell of jasmine, 4. the smell of raspberries, 5. the smell of orange, 6. the smell of rum, 7. the smell of bananas benzyl formate Możliwe odpowiedzi: 1. the smell of pineapples, 2. the smell of apples, 3. the smell of jasmine, 4. the smell of raspberries, 5. the smell of orange, 6. the smell of rum, 7. the smell of bananas octyl acetate Możliwe odpowiedzi: 1. the smell of pineapples, 2. the smell of apples, 3. the smell of jasmine, 4. the smell of raspberries, 5. the smell of orange, 6. the smell of rum, 7. the smell of bananas ethyl formate Możliwe odpowiedzi: 1. the smell of pineapples, 2. the smell of apples, 3. the smell of jasmine, 4. the smell of raspberries, 5. the smell of orange, 6. the smell of rum, 7. the smell of bananas isobuthyl formate Możliwe odpowiedzi: 1. the smell of pineapples, 2. the smell of apples, 3. the smell of jasmine, 4. the smell of raspberries, 5. the smell of orange, 6. the smell of rum, 7. the smell of bananas amyl acetate Możliwe odpowiedzi: 1. the smell of pineapples, 2. the smell of apples, 3. the smell of jasmine, 4. the smell of raspberries, 5. the smell of orange, 6. the smell of rum, 7. the smell of bananas
RVTTja51iVCqT1
Exercise 3
Wybierz jedno nowe słowo poznane podczas dzisiejszej lekcji i ułóż z nim zdanie.
R6aDqqkWnVtle
Exercise 4
Match the pairs: English words and Polish definitions. alcohols Możliwe odpowiedzi: 1. wodny roztwór alkoholu etylowego o stężeniu około 96%, 2. alkohol etylowy z dodatkiem substancji o przykrym zapachu i smaku, nienadający się do spożycia; zabarwiony na fioletowo lub czerwono;, 3. zjawisko fizyczne, które polega na zmianie objętości roztworu podczas mieszania jego składników, 4. pochodne węglowodorów, w których co najmniej jeden atom wodoru zastąpiono grupą hydroksylową, 5. choroba alkoholowa, uzależnienie od picia alkoholu, 6. przemiana glukozy pod wpływem enzymów wytwarzanych przez drożdże; jej produktami są alkohol etylowy i tlenek węgla(IV), 7. jedna tysięczna pewnej całości; oznaczany symbolem ‰ alcoholic fermentation Możliwe odpowiedzi: 1. wodny roztwór alkoholu etylowego o stężeniu około 96%, 2. alkohol etylowy z dodatkiem substancji o przykrym zapachu i smaku, nienadający się do spożycia; zabarwiony na fioletowo lub czerwono;, 3. zjawisko fizyczne, które polega na zmianie objętości roztworu podczas mieszania jego składników, 4. pochodne węglowodorów, w których co najmniej jeden atom wodoru zastąpiono grupą hydroksylową, 5. choroba alkoholowa, uzależnienie od picia alkoholu, 6. przemiana glukozy pod wpływem enzymów wytwarzanych przez drożdże; jej produktami są alkohol etylowy i tlenek węgla(IV), 7. jedna tysięczna pewnej całości; oznaczany symbolem ‰ denatured alcohol Możliwe odpowiedzi: 1. wodny roztwór alkoholu etylowego o stężeniu około 96%, 2. alkohol etylowy z dodatkiem substancji o przykrym zapachu i smaku, nienadający się do spożycia; zabarwiony na fioletowo lub czerwono;, 3. zjawisko fizyczne, które polega na zmianie objętości roztworu podczas mieszania jego składników, 4. pochodne węglowodorów, w których co najmniej jeden atom wodoru zastąpiono grupą hydroksylową, 5. choroba alkoholowa, uzależnienie od picia alkoholu, 6. przemiana glukozy pod wpływem enzymów wytwarzanych przez drożdże; jej produktami są alkohol etylowy i tlenek węgla(IV), 7. jedna tysięczna pewnej całości; oznaczany symbolem ‰ volume contraction Możliwe odpowiedzi: 1. wodny roztwór alkoholu etylowego o stężeniu około 96%, 2. alkohol etylowy z dodatkiem substancji o przykrym zapachu i smaku, nienadający się do spożycia; zabarwiony na fioletowo lub czerwono;, 3. zjawisko fizyczne, które polega na zmianie objętości roztworu podczas mieszania jego składników, 4. pochodne węglowodorów, w których co najmniej jeden atom wodoru zastąpiono grupą hydroksylową, 5. choroba alkoholowa, uzależnienie od picia alkoholu, 6. przemiana glukozy pod wpływem enzymów wytwarzanych przez drożdże; jej produktami są alkohol etylowy i tlenek węgla(IV), 7. jedna tysięczna pewnej całości; oznaczany symbolem ‰ rectified spirit Możliwe odpowiedzi: 1. wodny roztwór alkoholu etylowego o stężeniu około 96%, 2. alkohol etylowy z dodatkiem substancji o przykrym zapachu i smaku, nienadający się do spożycia; zabarwiony na fioletowo lub czerwono;, 3. zjawisko fizyczne, które polega na zmianie objętości roztworu podczas mieszania jego składników, 4. pochodne węglowodorów, w których co najmniej jeden atom wodoru zastąpiono grupą hydroksylową, 5. choroba alkoholowa, uzależnienie od picia alkoholu, 6. przemiana glukozy pod wpływem enzymów wytwarzanych przez drożdże; jej produktami są alkohol etylowy i tlenek węgla(IV), 7. jedna tysięczna pewnej całości; oznaczany symbolem ‰ alcoholism Możliwe odpowiedzi: 1. wodny roztwór alkoholu etylowego o stężeniu około 96%, 2. alkohol etylowy z dodatkiem substancji o przykrym zapachu i smaku, nienadający się do spożycia; zabarwiony na fioletowo lub czerwono;, 3. zjawisko fizyczne, które polega na zmianie objętości roztworu podczas mieszania jego składników, 4. pochodne węglowodorów, w których co najmniej jeden atom wodoru zastąpiono grupą hydroksylową, 5. choroba alkoholowa, uzależnienie od picia alkoholu, 6. przemiana glukozy pod wpływem enzymów wytwarzanych przez drożdże; jej produktami są alkohol etylowy i tlenek węgla(IV), 7. jedna tysięczna pewnej całości; oznaczany symbolem ‰ promil Możliwe odpowiedzi: 1. wodny roztwór alkoholu etylowego o stężeniu około 96%, 2. alkohol etylowy z dodatkiem substancji o przykrym zapachu i smaku, nienadający się do spożycia; zabarwiony na fioletowo lub czerwono;, 3. zjawisko fizyczne, które polega na zmianie objętości roztworu podczas mieszania jego składników, 4. pochodne węglowodorów, w których co najmniej jeden atom wodoru zastąpiono grupą hydroksylową, 5. choroba alkoholowa, uzależnienie od picia alkoholu, 6. przemiana glukozy pod wpływem enzymów wytwarzanych przez drożdże; jej produktami są alkohol etylowy i tlenek węgla(IV), 7. jedna tysięczna pewnej całości; oznaczany symbolem ‰

Summary

  • The alcohol fermentation products are ethanol and carbon dioxide.

  • Methanol and ethanol contain one functional group in their molecules. These are monohydric alcohols.

  • Monohydric alcohols are compounds in which one hydrogen atom has been replaced by a monovalent group – OH.

  • Methanol and ethanol are flammable substances. These are subject to complete and incomplete combustion reactions.

  • Methanol and ethanol have many common physical properties and are therefore difficult to distinguish. Methanol is a poison, and ethyl alcohol has a negative effect on the human body.

  • Alcohols have many applications.

  • Alcohols dissolve well in water.

  • The pH of aqueous solutions of alcohols is neutral.

  • In Poland, it is prohibited to buy and consume ethyl alcohol by people under 18 years of age.

  • Glycerol and glycerine are common names of the same chemical compound – propanetriol.

  • The glycerol molecule consists of three hydroxyl groups.

  • Glycerol is a thick oily, colourless and odourless liquid with a sweet taste. It is not a poisonous substance.

  • Glycerol is widely used in the cosmetics, food and textile industries.

  • Carboxylic acids react with hydroxides, metals and metal oxides, to form salts.

  • The reaction of aqueous solutions of carboxylic acids that have short carbon chains, and the electrical conductivity, are evidence of electrolytic dissociation.

  • Pure acetic acid is a colourless, corrosive liquid. It is hygroscopic (it absorbs moisture from the air).

  • At temperatures below 16°C, it forms crystals that resemble ice in appearance. It is also called glacial acetic acid.

  • Acetic and formic acids dissolve well in water.

  • Esters are an important group of compounds in living organisms.

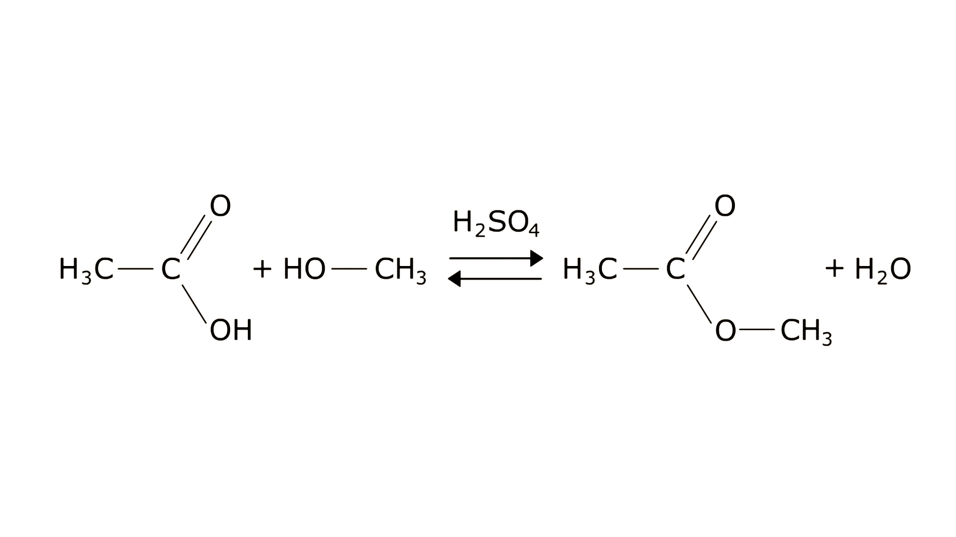
  • Esters are obtained as a result of esterification reaction, i. e. reaction of carboxylic acids with alcohols.

  • In the esterification reaction sulfuric acid acts as a catalyst, i. e. accelerates the reaction process.

  • General formula for esters is RIndeks dolny 1COORIndeks dolny 2, and the characteristic group is the ester group –COO–.

  • Esters are slightly soluble in water, but dissolve well in organic solvents and are therefore used as solvents for paints and varnishes.

  • Some esters have a pleasant smell and these are used, among others, in the production of perfumes and essential oils.

Keywords

alcohol, hydrocarbons, monohydric alcohols, methanol, ethanol, homologous series, methyl alcohol, ethyl alcohol, positional isomerism, alcoholism, promil, chloroform, industrial spirit, glycerol, ethylene glycol, ethanediol, erythritol, polyhydric alcohol, esters, esterification, carboxylic acid

Glossary

alcohols
alcohols
REYs3CYt83IZE
Nagranie dźwiękowe słówka

alkohole – pochodne węglowodorów, w których co najmniej jeden atom wodoru zastąpiono grupą hydroksylową

alcoholic fermentation
alcoholic fermentation
R9QQ0IFDEux8g
Nagranie dźwiękowe słówka

fermentacja alkoholowa – przemiana glukozy pod wpływem enzymów wytwarzanych przez drożdże; jej produktami są alkohol etylowy i tlenek węgla(IV)

function group
function group
Rz4VarUEuxwN2
Nagranie dźwiękowe słówka

grupa funkcyjna – grupa atomów (lub atom) połączona z łańcuchem węglowym w węglowodorach; jej obecność decyduje o przynależności do danej grupy związków organicznych

homology series of alcohols
homology series of alcohols
R1DgAEaWT92cH
Nagranie dźwiękowe słówka

szereg homologiczny alkoholi – szereg alkoholi uporządkowanych według wzrastającej liczby atomów węgla w cząsteczce; dwa kolejne związki różnią się od siebie o grupę atomówCH2

denatured alcohol
denatured alcohol
R1WyjQ0STlISX
Nagranie dźwiękowe słówka

denaturat – (spirytus skażony) – alkohol etylowy z dodatkiem substancji o przykrym zapachu i smaku, nienadający się do spożycia; zabarwiony na fioletowo lub czerwono; nie wolno spożywać denaturatu ani innego rodzaju skażonego alkoholu

volume contraction
volume contraction
R1Rq8T1nHHfyK
Nagranie dźwiękowe słówka

kontrakcja objętości – zjawisko fizyczne, które polega na zmianie objętości roztworu podczas mieszania jego składników

rectified spirit
rectified spirit
R10mUaUEp4LZN
Nagranie dźwiękowe słówka

spirytus – wodny roztwór alkoholu etylowego o stężeniu około 96%

wood alcohol
wood alcohol
REeTjxRPJI4mt
Nagranie dźwiękowe słówka

spirytus drzewny – zwyczajowa nazwa otrzymywanego w wyniku suchej destylacji drewna roztworu alkoholu metylowego

alcoholism
alcoholism
RS2BAPWaOGUJQ
Nagranie dźwiękowe słówka

alkoholizm – choroba alkoholowa, uzależnienie od picia alkoholu

industrial spirit
industrial spirit
RjXQ2xVRXOBkO
Nagranie dźwiękowe słówka

spirytus przemysłowy – etanol otrzymywany w wyniku syntezy chemicznej (mieszaninyCO,H2H2O); stosowany do produkcji płynu do spryskiwaczy, podpałki do grilla lub jako rozpuszczalnik w przemyśle

glycerol
glycerol
R1Z70nXWxj1D0
Nagranie dźwiękowe słówka

glicerol – nazwa zwyczajowa alkoholu o nazwie systematycznej propano‑1,2,3‑triol

glycerine
glycerine
R19FtFZDktCjy
Nagranie dźwiękowe słówka

gliceryna – nazwa zwyczajowa alkoholu o nazwie systematycznej propano‑1,2,3‑triol

hydroxyl group
hydroxyl group
RXOwwWK4sg98w
Nagranie dźwiękowe słówka

grupa hydroksylowa – inaczej grupa wodorotlenowa OH

locant
locant
RJM2zssJDOimk
Nagranie dźwiękowe słówka

lokant – liczba przypisana atomom węgla w łańcuchu węglowym

hygroscopic substance
hygroscopic substance
RBREvcB2Gvsp1
Nagranie dźwiękowe słówka

substancja higroskopijna – substancja pochłaniająca wodę lub parę wodną z otoczenia

vinegar
vinegar
RTo8wY9x1In2r
Nagranie dźwiękowe słówka 

ocet – 6‑procentowy lub 10‑procentowy wodny roztwór kwasu octowego; na półkach sklepowych możemy znaleźć kilka rodzajów octu (jabłkowy, winny, spirytusowy)

spirit vinegar
spirit vinegar
RdNOPjpYnOfyj
Nagranie dźwiękowe słówka 

ocet spirytusowy – wodny roztwór kwasu octowego – produkt fermentacji spirytusu

ethanoic acid
ethanoic acid
RxFOlYmoibmga
Nagranie dźwiękowe słówka 

kwas octowy CHIndeks dolny 3COOH – organiczny związek chemiczny z grupy kwasów karboksylowych.

acetic acid
acetic acid
R15pXlKyfffAN
Nagranie dźwiękowe słówka 

inna nazwa kwasu octowego

metal oxide
metal oxide
R1HFizXaK58oV
Nagranie dźwiękowe słówka 

tlenek metalu

formic acid
formic acid
RTlJUv8b7XL0y
Nagranie dźwiękowe słówka 

kwas mrówkowy HCOOH – organiczny związek chemiczny, najprostszy kwas karboksylowy.

esters
esters
RB68qiKb4SiXf
Nagranie dźwiękowe słówka 

estry – związki chemiczne zawierające grupę estrową – COO –; powstają w wyniku reakcji estryfikacji

esterification
esterification
RqXb5dSNWxy3f
Nagranie dźwiękowe słówka 

estryfikacja – reakcja kwasów karboksylowych z alkoholami zachodząca w obecności kwasu siarkowego(VI); w jej wyniku otrzymujemy estry