Przeczytaj
Cukry
Cukry, czyli sacharydy są związkami wielofunkcyjnymi, tzn. posiadającymi więcej niż jedną grupę funkcyjną. Oprócz wielu grup hydroksylowych mają grupę aldehydową (w przypadku aldozaldoz) lub karbonylową (takie cukry określa się mianem ketozketoz).
Cukry proste (monosacharydymonosacharydy) stanowią jednostki budulcowe cukrów złożonych, łącząc się wiązaniami -glikozydowymiwiązaniami -glikozydowymi. Tworzące się wiązanie może blokować możliwość odtwarzania grupy karbonylowej, przez co uzyskany cukier złożony nie będzie wykazywał właściwości redukujących.
Właściwości redukujące cukrów prostych
Cukry proste, ze względu na obecność grupy aldehydowej, dają pozytywny wynik prób:
Ketozy wykazują właściwości redukujące, ponieważ w warunkach reakcji ulegają przekształceniu do związków posiadających grupę aldehydową. Obecność tej grupy warunkuje właściwości redukujące. W środowisku zasadowym grupa ketonowa sąsiadująca z atomami węgla, które posiadają grupy hydroksylowe, ulega izomeryzacji do grupy aldehydowej, co przedstawiono na poniższym schemacie:

Monosacharydy – zarówno aldozy, jak i ketozy mają właściwości redukujące.
Formy pierścieniowe
Monosacharydy występują w formach pierścieniowych, różniących się konfiguracją karbonylowego atomu węgla, pomiędzy którymi ustala się stan równowagi dynamicznej. Te formy noszą nazwę anomerówanomerów.
Przejście pomiędzy anomerami zachodzi poprzez formę łańcuchową.

Cukry proste posiadają nazwy zwyczajowe.
Wszystkie naturalne cukry posiadają konfigurację względną . We wzorze Fischera grupa przy „ostatnim“ (o najwyższym numerze) asymetrycznym atomie węgla jest położona po prawej.

Cukry proste występują w postaci pierścieniowej. Pierścień tworzy się wskutek addycji grupy do karbonylowego atomu węgla (anomerycznego atomu węglaanomerycznego atomu węgla). Jest to reakcja addycji nukleofilowej.

Podstawniki, które leżą po lewej stronie w formie łańcuchowej, będą u góry w formie pierścieniowej.
W wyniku addycji grupy na karbonylowy atom węgla są możliwe dwa produkty różniące się konfiguracją przy tym atomie. Są to anomery.

Nazewnictwo formy pierścieniowej uwzględnia:
wielkość pierścienia: pięcioczłonowy (furanoza), sześcioczłonowy (piranoza);
anomer – grupa przy anomerycznym atomie węgla w górę (), w dół ().
Właściwości redukujące monosacharydów
Monosacharydy występują głównie w postaci pierścieniowej, która nie posiada grupy aldehydowej. Ze względu na równowagę pomiędzy obydwoma anomerami, w układzie znajduje się niewielka ilość formy łańcuchowej, reagująca w próbie Tollensa i Trommera.

Disacharydy
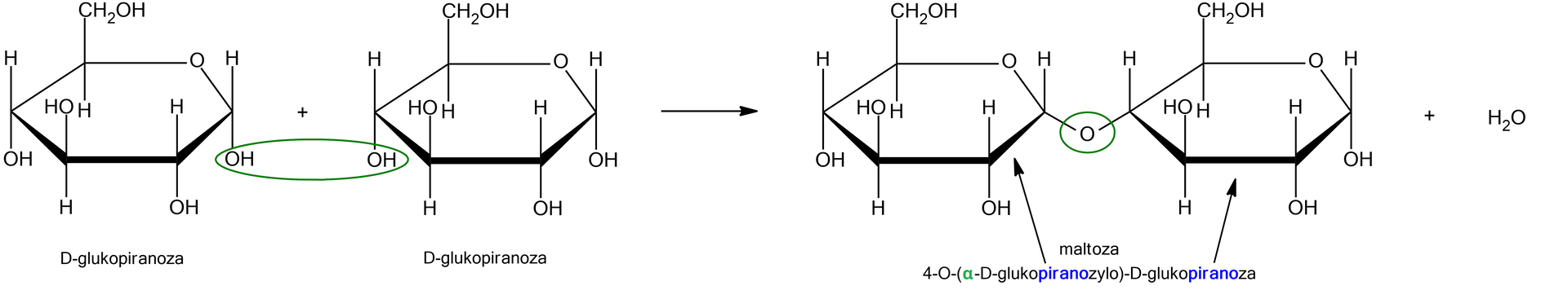
W produkcie kondensacji dwóch monosacharydów zawsze występuje wiązanie
-glikozydowe. W poniższym przykładzie kondensacji dwóch cząsteczek
-glukopiranozy powstaje wiązanie -,--glukozydowe.

Powstały w reakcji cukier (maltoza) może ulegać mutarotacjimutarotacji.
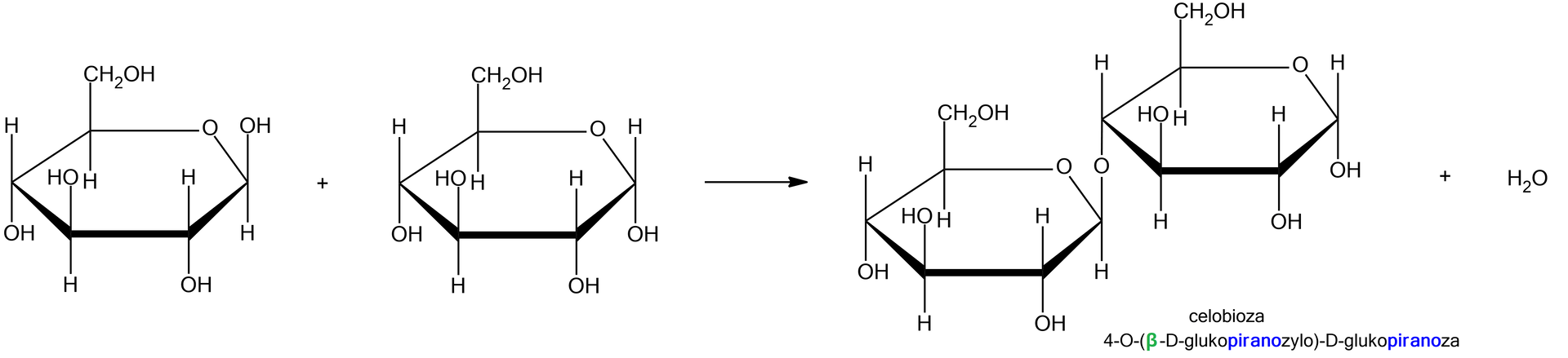
Celobioza
Przy kondensacji dwóch jednostek glukopiranozowych może się także utworzyć wiązanie -,--glikozydowe. Zarówno maltoza, jak i celobioza (----glukopiranozylo)--glukopiranoza) są zbudowane z takich samych jednostek monosacharydowych: -glukozy.

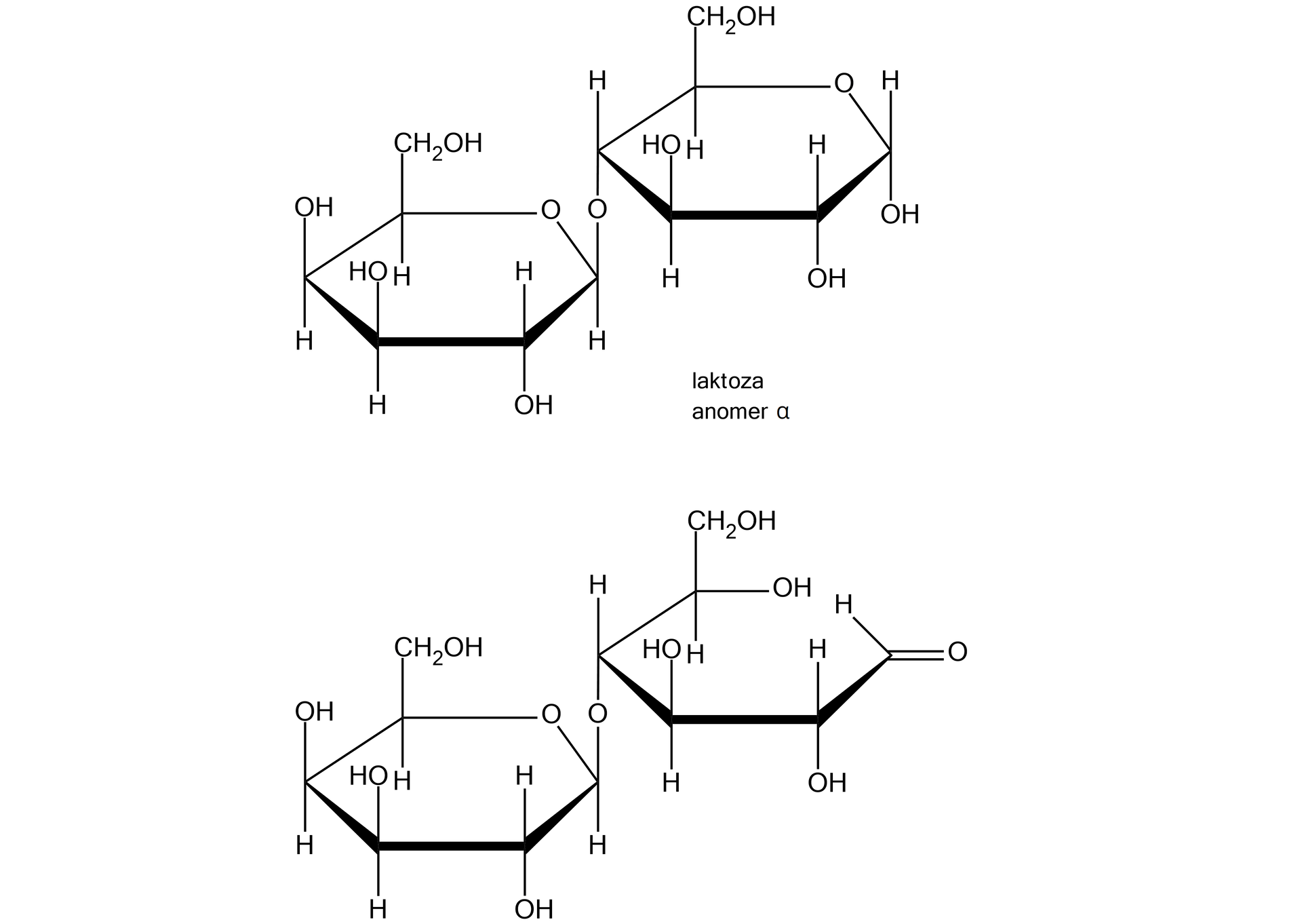
Laktoza
Maltoza, celobioza i laktoza (--(--galaktopiranozylo)--glukopiranoza) posiadają jeden anomeryczny atom węgla, który nie uczestniczy w wiązaniu -glikozydowym. W związku z tym istnieje równowaga pomiędzy dwoma formami anomerycznymi, zachodząca przez formę z grupą aldehydową. Te disacharydydisacharydy mogą ulegać mutarotacji oraz wykazywać właściwości redukujące.

Wiązanie jest tworzone pomiędzy atomem węgla z pierwszej cząsteczki monosacharydu przez atom tlenu do atomu węgla z drugiej cząsteczki monosacharydu. Określamy te wiązania, podając lokanty atomów węgla, które są nim połączone.
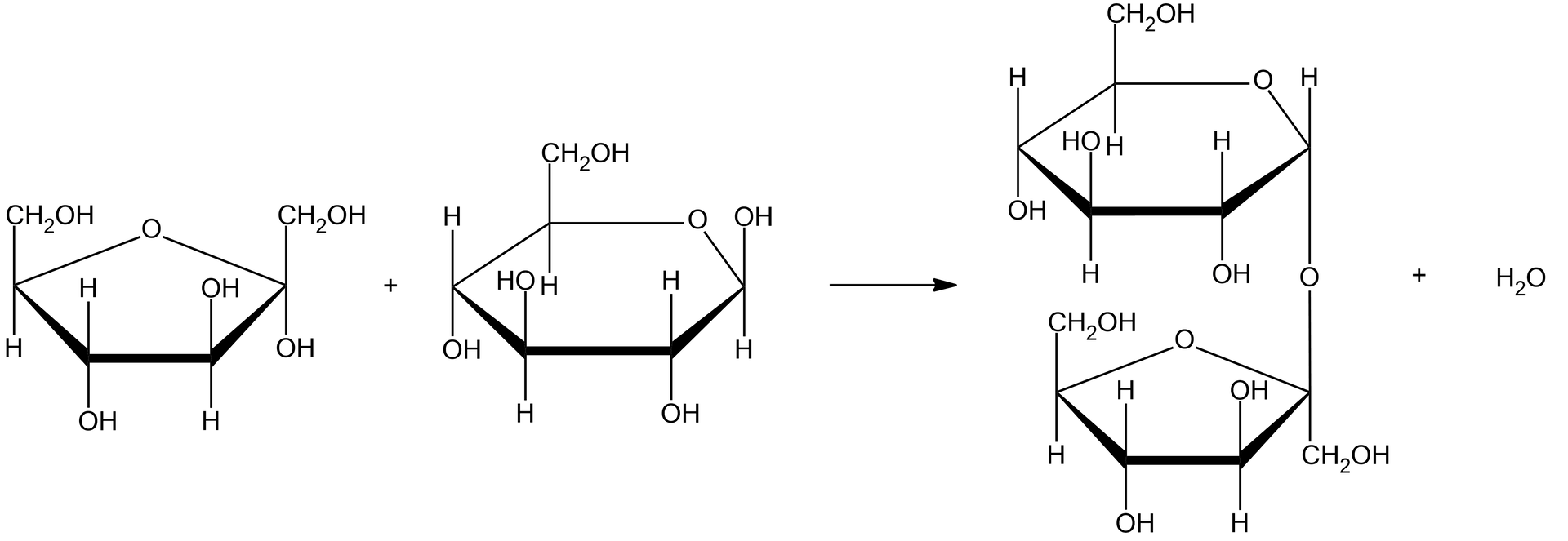
Sacharoza
Sacharoza (--(--fruktofuranozylo)---glukopiranozyd) nie posiada właściwości redukujących, ponieważ obydwa anomeryczne atomy węgla uczestniczą w wiązaniu -glikozydowym. Nie jest więc możliwe odtworzenie grupy aldehydowej na żadnym z tych atomów.

Wiązanie ,--glikozydowe, występujące w cząsteczkach sacharozy, blokuje atomy anomeryczne obydwu podjednostek.
Podsumowanie
Cukry redukujące | Cukry nieredukujące |
|---|---|
mogą występować w postaci łańcuchowej | nie mogą występować w postaci łańcuchowej |
co najmniej jeden anomeryczny atom węgla nie uczestniczy w wiązaniu | wszystkie anomeryczne atomy węgla uczestniczą w wiązaniu |
wykazują zjawisko mutarotacji (ustalenie stanu równowagi pomiędzy anomerami i poprzez formę łańcuchową) | nie wykazują mutarotacji (brak możliwości przechodzenia pomiędzy anomerami i poprzez formę łańcuchową) |
wszystkie monosacharydy i niektóre cukry złożone (np. maltoza, laktoza) | niektóre cukry złożone (np. sacharoza, trehaloza), wszystkie polisacharydypolisacharydy |
w próbie Trommera powstaje ceglastoczerwony osad | w próbie Trommera powstaje czarny osad |
w próbie Tollensa powstaje lustro srebrne | w próbie Tollensa nie powstaje lustro srebrne |
Słownik
aldehyd lub keton polihydroksylowy, który zawiera od do atomów węgla; największe znaczenie w przyrodzie mają cukry proste, posiadające i atomów węgla (pentozy i heksozy)
monosacharyd posiadający grupę aldehydową
monosacharyd posiadający grupę ketonową
para diastereoizomerów, które różnią się konfiguracją na anomerycznym atomie węgla

atom węgla ugrupowania hemiacetalowego lub hemiketalowego; ten sam atom, który w formie łańcuchowej cukru wchodzi w skład grupy aldehydowej lub karbonylowej
ustalanie stanu równowagi dynamicznej w roztworze cukru pomiędzy dwoma anomerami, zachodząca poprzez formę łańcuchową

produkt addycji nukleofilowej grupy do atomu węgla grupy aldehydowej; w powstającym ugrupowaniu karbonylowy atom węgla zmienia hybrydyzację z na , posiadając atom wodoru i grupę hydroksylową. Tworzy tym samym dwa wiązania do dalszych fragmentów cząsteczki: jedno przez węgiel, drugie przez tlen; przykładem hemiacetali są pierścieniowe formy aldoz

produkt addycji nukleofilowej grupy do atomu węgla grupy ketonowej; w powstającym ugrupowaniu karbonylowy atom węgla zmienia hybrydyzację z na , posiadając grupę hydroksylową. Tworzy tym samym trzy wiązania do dalszych fragmentów cząsteczki: dwa przez węgiel i jedno przez tlen; przykładem hemiketali są pierścieniowe formy ketoz

cukier zbudowany z dwóch jednostek monosacharydowych połączonych wiązaniem -glikozydowym
cukier zbudowany z niewielkiej liczby – poniżej jednostek - monosacharydów, połączonych wiązaniem -glikozydowym
cukier zbudowany z i więcej jednostek monosacharydowych, połączonych wiązaniem -glikozydowym
wiązanie łączące poszczególne jednostki monosacharydowe; ulega hydrolizie w środowisku rozcieńczonych kwasów lub pod wpływem enzymów
produkt reakcji hemiacetalu z grupą hydroksylową związku , zachodzącej wg mechanizmu substytycji nukleofilowej; przykładem związku, posiadającego ugrupowanie acetalowe o wzorze ogólnym , jest dowolny cukier złożony, który ma wiązanie -glikozydowe utworzone z udziałem aldozy

produkt reakcji hemiketalu z grupą hydroksylową związku , zachodzącej wg mechanizmu substytycji nukleofilowej; przykładem związku posiadającego ugrupowanie ketalowe, o wzorze ogólnym , jest dowolny cukier złożony, który ma wiązanie -glikozydowe utworzone z udziałem ketozy

reakcja z wykorzystaniem świeżo strąconego wodorotlenku miedzi(); cukry redukujące dają pozytywny wynik próby Trommera – po ogrzaniu pojawia się ceglastoczerwony osad ; cukry nieredukujące dają wynik negatywny – po ogrzaniu pojawia się czarny osad , będący wynikiem rozkładu
reakcja lustra srebrnego; reakcja z wykorzystaniem świeżo sporządzonego roztworu z wodą amoniakalną („srebro amoniakalne“), gdzie srebro występuje w postaci wodorotlenku diaminasrebra(), ; cukry redukujące dają po ogrzaniu srebrną powłokę na ściankach naczynia
odczynnika Tollensa nie wolno przechowywać, ponieważ rozkłada się z upływem czasu, dając związki o właściwościach wybuchowych
Bibliografia
Morrison R. T., Boyd R. N., Chemia organiczna, Warszawa 1985.

