MonosacharydymonosacharydyMonosacharydy to zazwyczaj ciała stałe o słodkim smaku i białej barwie. Rozpuszczają się w wodzie, a ich roztwory wodne mają odczyn obojętny. Monosacharydy, w przeciwieństwie do cukrów złożonych, niehydrolizująhydrolizahydrolizują.
bg‑gray1
Utlenianie monosacharydów
Monosacharydy mają właściwości redukujące.
1
Ważne!
Zarówno aldozy, jak i ketozy dają pozytywny wynik w próbie Trommera, Tollensa czy Fehlinga:
próba Trommera polega na utlenianiuutlenianieutlenianiu cukru odczynnikiem Trommera, czyli jonami w środowisku zasadowym;
RjaO9Q9NSW7TD
Równanie reakcji: Glukoza posiada w swojej budowie grupę aldehydową (jest aldoheksozą), dzięki czemu wykazuje właściwości redukujące w warunkach próby Trommera. Zapis cząsteczkowy przebiegającej reakcji chemicznej:Ilustracja przedstawiająca schemat reakcji zachodzącej podczas próby Trommera dla glukozy. Cząsteczka glukozy o następującym wzorze Fischera: grupa C H O połączona z pionową linią skierowaną do dołu, która symbolizuje łańcuch węglowy i na końcu łączy się z grupą C H indeks dolny, dwa, koniec indeksu dolnego, O H. Wspomnianą linię przecinają cztery krótkie poziome, prostopadłe linie. Po prawej stronie linii od góry kolejno podstawniki: O H, H, O H oraz O H. Po lewej stronie od góry podstawniki H, O H, H oraz H. Dodać dwie cząsteczki wodorotlenku miedzi(dwa). Strzałka w prawo, nad strzałką zapis "ogrzewanie", za strzałką cząsteczka produktu w projekcji Fischera, którą stanowi grupa C O O H połączona z pionową linią skierowaną do dołu, która symbolizuje łańcuch węglowy i na końcu łączy się z grupą C H indeks dolny, dwa, koniec indeksu dolnego, O H. Wspomnianą linię przecinają cztery krótkie poziome, prostopadłe linie. Po prawej stronie linii od góry kolejno podstawniki: O H, H, O H oraz O H. Po lewej stronie od góry podstawniki H, O H, H oraz H. Dodać cząsteczka tlenku miedzi(jeden) C u indeks dolny, dwa, koniec indeksu dolnego, O przy niej strzałka w dół oznaczająca wytrącenie osadu. Dodać dwie cząsteczki wody H indeks dolny, dwa, koniec indeksu dolnego, O., Obserwacje: Po podgrzaniu zawartości probówki w płomieniu palnika, niebieska, galaretowata zawiesina wodorotlenku miedzi(II) roztworzyła się i powstał ceglastoczerwony osad tlenku miedzi(jeden).
Trzy zdjęcia. Na pierwszym galaretowaty, niebieski osad wodorotlenku miedzi(dwa). Probówka ogrzewana jest palnikiem, co spowodowało roztwarzanie osadu oraz powstawanie ceglastoczerwonego osadu. Na trzecim zdjęciu Probówka jest wypełniona ceglastoczerwonym osadem.
Równanie reakcji: Glukoza posiada w swojej budowie grupę aldehydową (jest aldoheksozą), dzięki czemu wykazuje właściwości redukujące w warunkach próby Trommera. Zapis cząsteczkowy przebiegającej reakcji chemicznej:Ilustracja przedstawiająca schemat reakcji zachodzącej podczas próby Trommera dla glukozy. Cząsteczka glukozy o następującym wzorze Fischera: grupa C H O połączona z pionową linią skierowaną do dołu, która symbolizuje łańcuch węglowy i na końcu łączy się z grupą C H indeks dolny, dwa, koniec indeksu dolnego, O H. Wspomnianą linię przecinają cztery krótkie poziome, prostopadłe linie. Po prawej stronie linii od góry kolejno podstawniki: O H, H, O H oraz O H. Po lewej stronie od góry podstawniki H, O H, H oraz H. Dodać dwie cząsteczki wodorotlenku miedzi(dwa). Strzałka w prawo, nad strzałką zapis "ogrzewanie", za strzałką cząsteczka produktu w projekcji Fischera, którą stanowi grupa C O O H połączona z pionową linią skierowaną do dołu, która symbolizuje łańcuch węglowy i na końcu łączy się z grupą C H indeks dolny, dwa, koniec indeksu dolnego, O H. Wspomnianą linię przecinają cztery krótkie poziome, prostopadłe linie. Po prawej stronie linii od góry kolejno podstawniki: O H, H, O H oraz O H. Po lewej stronie od góry podstawniki H, O H, H oraz H. Dodać cząsteczka tlenku miedzi(jeden) C u indeks dolny, dwa, koniec indeksu dolnego, O przy niej strzałka w dół oznaczająca wytrącenie osadu. Dodać dwie cząsteczki wody H indeks dolny, dwa, koniec indeksu dolnego, O., Obserwacje: Po podgrzaniu zawartości probówki w płomieniu palnika, niebieska, galaretowata zawiesina wodorotlenku miedzi(II) roztworzyła się i powstał ceglastoczerwony osad tlenku miedzi(jeden).
Trzy zdjęcia. Na pierwszym galaretowaty, niebieski osad wodorotlenku miedzi(dwa). Probówka ogrzewana jest palnikiem, co spowodowało roztwarzanie osadu oraz powstawanie ceglastoczerwonego osadu. Na trzecim zdjęciu Probówka jest wypełniona ceglastoczerwonym osadem.
Źródło: GroMar Sp. z o.o., licencja: CC BY-SA 3.0.
próba Tollensa polega na utlenianiuutlenianieutlenianiu cukru odczynnikiem Tollensa, czyli amoniakalnym roztworem tlenku srebra();
R19fHnEcS4CVu
Równanie reakcji: Glukoza, będąca aldoheksozą, wykazuje właściwości redukujące w warunkach próby Tollensa. Poniżej zapisano równanie reakcji w formie cząsteczkowej Ilustracja przedstawiająca schemat reakcji zachodzącej podczas próby Tollensa z udziałem glukozy. Cząsteczka glukozy o następującym wzorze Fischera: grupa C H O połączona z pionową linią skierowaną do dołu, która symbolizuje łańcuch węglowy i na końcu łączy się z grupą C H indeks dolny, dwa, koniec indeksu dolnego, O H. Wspomnianą linię przecinają cztery krótkie poziome, prostopadłe linie. Po prawej stronie linii od góry kolejno podstawniki: O H, H, O H oraz O H. Po lewej stronie od góry podstawniki H, O H, H oraz H. Dodać dwie cząsteczki nawias kwadratowy, A g nawias, N H indeks dolny, trzy, koniec indeksu dolnego, zamknięcie nawiasu, indeks dolny, dwa, koniec indeksu dolnego, zamknięcie nawiasu kwadratowego, O H, dodać cząsteczka wodorotlenku sodu. Strzałka w prawo, nad strzałką zapis "ogrzewanie", za strzałką produkty. Cząsteczka glukonianu sodu o następującym wzorze Fischera: grupa C O O N a połączona z pionową linią skierowaną do dołu, która symbolizuje łańcuch węglowy i na końcu łączy się z grupą C H indeks dolny, dwa, koniec indeksu dolnego, O H. Wspomnianą linię przecinają cztery krótkie poziome, prostopadłe linie. Po prawej stronie linii od góry kolejno podstawniki: O H, H, O H oraz O H. Po lewej stronie od góry podstawniki H, O H, H oraz H. Dodać dwa atomy srebra, dodać cztery cząsteczki amoniaku N H indeks dolny, trzy, koniec indeksu dolnego, dodać dwie cząsteczki wody H indeks dolny, dwa, koniec indeksu dolnego, O., Obserwacje: Powstaje metaliczny nalot, którego źródłem jest powstające w reakcji z odczynnikiem Tollensa srebro.Zdjęcie przedstawiające probówkę pokrytą metalicznym srebrem, tak zwanym lustrem srebrowym. W tle znajduje się kuchenka gazowa.
Równanie reakcji: Glukoza, będąca aldoheksozą, wykazuje właściwości redukujące w warunkach próby Tollensa. Poniżej zapisano równanie reakcji w formie cząsteczkowej Ilustracja przedstawiająca schemat reakcji zachodzącej podczas próby Tollensa z udziałem glukozy. Cząsteczka glukozy o następującym wzorze Fischera: grupa C H O połączona z pionową linią skierowaną do dołu, która symbolizuje łańcuch węglowy i na końcu łączy się z grupą C H indeks dolny, dwa, koniec indeksu dolnego, O H. Wspomnianą linię przecinają cztery krótkie poziome, prostopadłe linie. Po prawej stronie linii od góry kolejno podstawniki: O H, H, O H oraz O H. Po lewej stronie od góry podstawniki H, O H, H oraz H. Dodać dwie cząsteczki nawias kwadratowy, A g nawias, N H indeks dolny, trzy, koniec indeksu dolnego, zamknięcie nawiasu, indeks dolny, dwa, koniec indeksu dolnego, zamknięcie nawiasu kwadratowego, O H, dodać cząsteczka wodorotlenku sodu. Strzałka w prawo, nad strzałką zapis "ogrzewanie", za strzałką produkty. Cząsteczka glukonianu sodu o następującym wzorze Fischera: grupa C O O N a połączona z pionową linią skierowaną do dołu, która symbolizuje łańcuch węglowy i na końcu łączy się z grupą C H indeks dolny, dwa, koniec indeksu dolnego, O H. Wspomnianą linię przecinają cztery krótkie poziome, prostopadłe linie. Po prawej stronie linii od góry kolejno podstawniki: O H, H, O H oraz O H. Po lewej stronie od góry podstawniki H, O H, H oraz H. Dodać dwa atomy srebra, dodać cztery cząsteczki amoniaku N H indeks dolny, trzy, koniec indeksu dolnego, dodać dwie cząsteczki wody H indeks dolny, dwa, koniec indeksu dolnego, O., Obserwacje: Powstaje metaliczny nalot, którego źródłem jest powstające w reakcji z odczynnikiem Tollensa srebro.Zdjęcie przedstawiające probówkę pokrytą metalicznym srebrem, tak zwanym lustrem srebrowym. W tle znajduje się kuchenka gazowa.
Źródło: GroMar Sp. z o.o., licencja: CC BY-SA 3.0.
próba Fehlinga polega na utlenianiuutlenianieutlenianiu cukru odczynnikiem Fehlinga, czyli kompleksem jonów , z sodowo–potasową solą kwasu winowego. Reakcja ta pozwala na wykrycie monosacharydów w badanej próbce (potwierdzenie obecności kilku grup w cząsteczce związku).
R1DUjufrn65FI
Równanie reakcji: Próba Fehlinga polega na zmieszaniu świeżo wytrąconego osadu wodorotlenku miedzi(dwa) z roztworem winianu sodowo‑potasowego. Następnie do otrzymanego kompleksu barwy niebieskiej dodaje się roztwór cukru (np. glukozę). Poniżej przedstawiono równania reakcji zachodzące podczas wykonywania próby Fehlinga.Ilustracja przedstawia dwa równania reakcji. Pierwsza reakcja: wodorotlenek miedzi(dwa) plus winian sodowo‑potasowy, strzałka w prawo, związek kompleksowy, w którym miedź jest związana z dwoma atomami tlenu grup hydroksylowych winianu plus dwie cząsteczki wody. Druga reakcja: jedna cząsteczka glukozy plus dwie cząsteczki kompleksu miedzi z winianem sodowo‑potasowym plus dwie cząsteczki wody, strzałka w prawo, kwas glukonowy plus dwie cząsteczki winianu sodowo‑potasowego plus tlenek miedzi(jeden)., Obserwacje: Po dodaniu glukozy do związku kompleksowego wodorotlenku miedzi(dwa) z winianem sodowo‑potasowym, zanika lazurowo‑niebieska barwa i powstaje czerwony osad.
Równanie reakcji: Próba Fehlinga polega na zmieszaniu świeżo wytrąconego osadu wodorotlenku miedzi(dwa) z roztworem winianu sodowo‑potasowego. Następnie do otrzymanego kompleksu barwy niebieskiej dodaje się roztwór cukru (np. glukozę). Poniżej przedstawiono równania reakcji zachodzące podczas wykonywania próby Fehlinga.Ilustracja przedstawia dwa równania reakcji. Pierwsza reakcja: wodorotlenek miedzi(dwa) plus winian sodowo‑potasowy, strzałka w prawo, związek kompleksowy, w którym miedź jest związana z dwoma atomami tlenu grup hydroksylowych winianu plus dwie cząsteczki wody. Druga reakcja: jedna cząsteczka glukozy plus dwie cząsteczki kompleksu miedzi z winianem sodowo‑potasowym plus dwie cząsteczki wody, strzałka w prawo, kwas glukonowy plus dwie cząsteczki winianu sodowo‑potasowego plus tlenek miedzi(jeden)., Obserwacje: Po dodaniu glukozy do związku kompleksowego wodorotlenku miedzi(dwa) z winianem sodowo‑potasowym, zanika lazurowo‑niebieska barwa i powstaje czerwony osad.
Źródło: GroMar Sp. z o.o., licencja: CC BY-SA 3.0.
1
RX1jA2q3obl9r
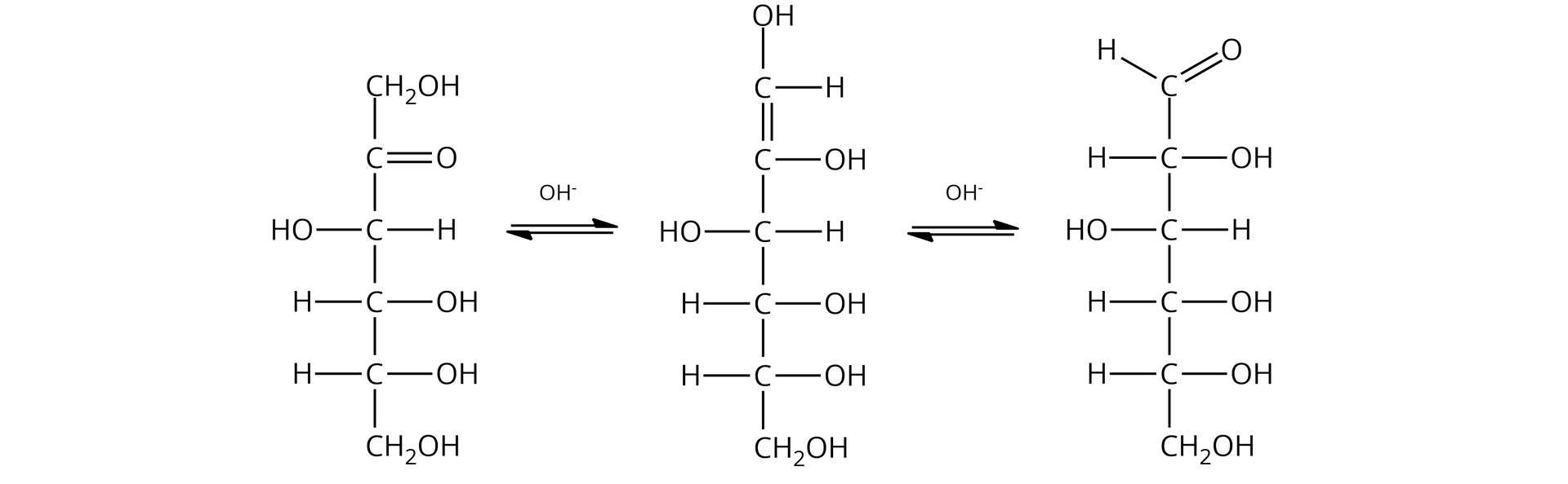
Ilustracja przedstawiająca tautomerię na przykładzie D‑fruktozy. Cząsteczka D‑fruktozy w projekcji Fischera o strukturze zbudowanej z grupy połączonej z długą, poprowadzoną w dół linią, która symbolizuje łańcuch węglowy i która jest zakończona również grupą . Linię tę od dołu przecinają trzy prostopadłe krótkie linie, od których odchodzą podstawniki dla kolejnych atomów węgla w łańcuchu. Od dołu po prawej stronie grupa , grupa oraz atom wodoru. Po lewej stronie atom wodoru, atom wodoru i grupa . Powyżej pomiędzy pierwszym atomem węgla grupy a linią przecinającą łańcuch, od wspomnianej linii poprowadzone są dwie prostopadłe linie w prawo symbolizujące wiązanie podwójne z atomem tlenu O. Strzałka w prawo, strzałka w lewo, nad strzałkami anion hydroksylowy, za strzałkami forma typu enediolowego przedstawiona w projekcji Fischera. Zbudowana, idąc od góry, z grupy hydroksylowej połączonej z grupą , która to łączy się za pomocą wiązania podwójnego z atomem węgla podstawionym grupą hydroksylową i połączonym z długą, pionową linią poprowadzoną w dół i zakończoną grupą . Linię tę od góry przecinają trzy prostopadłe krótkie linie, od których odchodzą podstawniki dla kolejnych atomów węgla w łańcuchu. Od góry po prawej stronie atom wodoru, grupa oraz grupa . Po lewej stronie od góry grupa hydroksylowa , atom wodoru oraz atom wodoru. Strzałka w prawo, strzałka w lewo, nad strzałkami anion hydroksylowy, za strzałkami cząsteczka D‑glukozy o następującym wzorze Fischera: grupa połączona z pionową linią skierowaną do dołu, która symbolizuje łańcuch węglowy i na końcu łączy się z grupą . Wspomnianą linię przecinają cztery krótkie poziome, prostopadłe linie. Po prawej stronie linii od góry kolejno podstawniki: , , oraz . Po lewej stronie od góry podstawniki , , oraz . Dodać cząsteczka D‑mannozy o następującym wzorze Fischera: grupa połączona z pionową linią skierowaną do dołu, która symbolizuje łańcuch węglowy i na końcu łączy się z grupą . Wspomnianą linię przecinają cztery krótkie poziome, prostopadłe linie. Po prawej stronie linii od góry kolejno podstawniki: , , oraz . Po lewej stronie od góry podstawniki , , oraz .
W warunkach określonych przedstawionymi powyżej próbami (środowisko zasadowe), ketozy ulegają enolizacji i tworzą tym samym aldozy, które następnie się utleniają. Fruktoza może ulegać tym próbom ze względu na obecność grupy -hydroksyketonowej.
Źródło: GroMar Sp. z o.o., licencja: CC BY-SA 3.0.
R8gNJesr5XAuK
Ilustracja przedstawiająca cząsteczkę kwasu glukonowego. Cząsteczka kwasu glukonowego o następującym wzorze Fischera: grupa połączona z pionową linią skierowaną do dołu, która symbolizuje łańcuch węglowy i na końcu łączy się z grupą . Wspomnianą linię przecinają cztery krótkie poziome, prostopadłe linie. Po prawej stronie linii od góry kolejno podstawniki: , , oraz . Po lewej stronie od góry podstawniki , , oraz .
W próbie Tollensa, Trommera i Fehlinga glukoza tworzy kwas glukonowy (kwas ,,,,--pentahydroksyheksanowy) o budowie przedstawionej na powyższej ilustracji. Związek ten powstaje również jako efekt utlenienia glukozy wodą bromową.
Źródło: GroMar Sp. z o.o., licencja: CC BY-SA 3.0.
ROG2tqO3uVrpP
Ilustracja przedstawiająca schemat reakcji zachodzącej po dodaniu wody bromowej oraz wodorowęglanu sodu do roztworu glukozy. Cząsteczka D‑glukozy o następującym wzorze Fischera połączona z pionową linią skierowaną do dołu, która symbolizuje łańcuch węglowy i na końcu łączy się z grupą . Wspomnianą linię przecinają cztery krótkie poziome, prostopadłe do niej linie. Po prawej stronie linii od góry kolejno znajdują się podstawniki , , oraz . Po lewej stronie od góry podstawniki , , oraz . Dodać cząsteczka bromu , dodać dwie cząsteczki . Strzałka w prawo, za strzałką produkty. Cząsteczka kwasu glukonowego o następującym wzorze Fischera: grupa połączona z pionową linią skierowaną do dołu, która symbolizuje łańcuch węglowy i na końcu łączy się z grupą . Wspomnianą linię przecinają cztery krótkie poziome, prostopadłe linie. Po prawej stronie linii od góry kolejno podstawniki, , , oraz . Po lewej stronie od góry podstawniki , , oraz . Dodać dwie cząsteczki bromku sodu , dodać dwie cząsteczki tlenku węgla(<math aria‑label="cztery">IV) , dodać cząsteczka wody .
Reakcją odróżniającą aldozy od ketoz jest utlenianie aldoz wodą bromową w obecności wodorowęglanu sodu. W tych warunkach ketozy nie ulegają utlenieniu.
Źródło: GroMar Sp. z o.o., licencja: CC BY-SA 3.0.
R1dAzhZwwd097
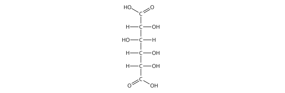
Ilustracja przedstawia wzór strukturalny kwasu dikarboksylowego. To cząsteczka kwasu glukarowego o następującej strukturze w projekcji Fischera: grupa C O O H połączona z pionową linią skierowaną do dołu, która symbolizuje łańcuch węglowy i na końcu łączy się z grupą C O O H. Wspomnianą linię przecinają cztery krótkie poziome, prostopadłe linie. Po prawej stronie linii od góry kolejno podstawniki: O H, H, O H oraz O H. Po lewej stronie od góry podstawniki H, O H, H oraz H.
Pod wpływem silnych utleniaczy, np. stężonego kwasu azotowego(), glukoza tworzy kwas dikarboksylowy, zwany glukarowym (kwas ,,,-tetrahydroksyheksanodiowy).
Źródło: GroMar Sp. z o.o., licencja: CC BY-SA 3.0.
RrDY8URB6bEuC
Ilustracja przedstawiająca równanie reakcji utlenienia ketoz za pomocą silnego utleniacza, na przykładzie fruktozy. Cząsteczka D‑fruktozy w projekcji Fischera o strukturze zbudowanej z grupy połączonej z długą, poprowadzoną w dół linią, która symbolizuje łańcuch węglowy i która jest zakończona również grupą . Linię tę od dołu przecinają trzy prostopadłe krótkie linie, od których odchodzą podstawniki dla kolejnych atomów węgla w łańcuchu. Od dołu po prawej stronie grupa , grupa oraz atom wodoru. Po lewej stronie atom wodoru, atom wodoru i grupa . Powyżej pomiędzy pierwszym atomem węgla grupy a linią przecinającą łańcuch, od wspomnianej linii poprowadzone są dwie prostopadłe linie w prawo symbolizujące wiązanie podwójne z atomem tlenu O. Strzałka nad strzałką utleniacz reprezentowany przez literę O w nawiasie kwadratowym, za strzałką cząsteczka kwasu glikolowego o strukturze zbudowanej z grupy karboksylowej połączonej z grupą podstawioną grupą hydroksylową . Dodać cząsteczka kwasu treonowego o strukturze zbudowanej z grupy karboksylowej połączonej z grupą podstawioną grupą , która również łączy się z grupą podstawioną grupą oraz związaną z grupą podstawioną grupą hydroksylową .
Utlenianiu ketoz silnymi utleniaczami (podobnie jak ketonów) towarzyszy rozerwanie łańcucha węglowego i tworzenie mieszaniny kwasów.
Źródło: GroMar Sp. z o.o., licencja: CC BY-SA 3.0.
bg‑gray1
Redukcja monosacharydów
MonosacharydymonosacharydyMonosacharydy można zredukować do odpowiedniego alkoholu. Glukoza i fruktoza, redukowane wodorem w obecności katalizatora, tworzą ten sam związek – alkohol z sześcioma grupami (,,,,,–heksahydroksyheksan), zwany sorbitolem.
R9LtrDvD4MlKi1
Ilustracja przedstawia równanie reakcji redukcji glukozy do sorbitolu. Cząsteczka D‑glukozy o następującym wzorze Fischera: grupa połączona z pionową linią skierowaną do dołu, która symbolizuje łańcuch węglowy i na końcu łączy się z grupą . Wspomnianą linię przecinają cztery krótkie poziome, prostopadłe linie. Po prawej stronie linii od góry kolejno podstawniki: , , oraz . Po lewej stronie od góry podstawniki , , oraz . Dodać cząsteczka wodoru . Strzałka w prawo, nad strzałką katalizator. Za strzałką cząsteczka sorbitolu o analogicznej strukturze, jednak grupa aldehydowa uległa redukcji do grupy .
Otrzymywanie soribitolu poprzez redukcję -glukozy
Źródło: GroMar Sp. z o.o., licencja: CC BY-SA 3.0.
bg‑gray1
Reakcje z alkoholami lub fenolami
Niezwykle reaktywnym miejscem w cyklicznej formie monosacharydu jest grupa przy anomerycznymanomeryanomerycznym atomie węgla (– dla aldoz lub – dla ketoz). W reakcji z alkoholami lub fenolami tworzą się glikozydy, np. salicyna.
R1GJdp6MnFP621
Ilustracja przedstawiająca równanie reakcji chemicznej. Cząsteczka alkoholu salicylowego o strukturze zbudowanej z pierścienia benzenowego podstawionego w pozycji pierwszej grupą hydroksylową oraz w pozycji drugiej grupą . Dodać cząsteczka alfa‑D-glukozopiranozy (D‑glukozy) o strukturze sześcioczłonowy pierścień, w którym pierwszy lokant stanowi atom węgla C 1 związany z atomem tlenu wbudowanym w tenże pierścień. Węgiel C 5 zamyka pierścień i łączy się ze wspomnianym atomem tlenu oraz węglem C 6, niewbudowanym w pierścień. Od węgli C 1, C 2 oraz C 4 odchodzą do dołu grupy hydroksylowe , zaś do góry od węgla C 3, grupa hydroksylowa odchodzi również od węgla C sześć. Strzałka w prawo, za strzałką glukoza podstawiona przy węglu anomerycznym alfa, czyli węgli C 1 do góry atomem tlenu związanym z pierścieniem fenylowym podstawionym w pozycji drugiej grupą dodać jedną cząsteczkę wody.
Otrzymywanie salicyny
Źródło: GroMar Sp. z o.o, licencja: CC BY-SA 3.0.
bg‑turquoise
Właściwości cukrów złożonych
RKT6hNpjpuP571
Ilustracja przedstawiająca dwa pierścienie sześcioczłonowy i pięcioczłonowy połączone atomem tlenu, co stanowi wiązanie O‑glikozydowe. Dwucukier zbudowany jest z D‑glukozy oraz D‑fruktozy, które łączy wiązanie ,-,-O-glikozydowe. Strukturę stanowi sześcioczłonowy pierścień, w którym pierwszy lokant stanowi atom węgla C 1 związany z atomem tlenu wbudowanym w tenże pierścień. Węgiel C 5 zamyka pierścień i łączy się ze wspomnianym atomem tlenu oraz węglem C 6, niewbudowanym w pierścień. Od węgla C 1 odchodzi wiązanie łączące go z atomem tlenu, który to łączy się z węglem C 2 pierścienia D‑fruktozy. Od węgli C 2 oraz C 4 odchodzą do góry grupy hydroksylowe , zaś do dołu od grupy C 3, grupa hydroksylowa odchodzi również od węgla C 6. Drugi pięcioczłonowy pierścień stanowi D‑fruktoza, w której węgiel C 1 należący do grupy podstawiony jest grupą hydroksylową i łączy się z atomem węgla C 2, który związany jest z atomem tlenu łączącym pierścień D‑fruktozy z pierścieniem D‑glukozy. Od węgla C 3 do dołu odchodzi grupa hydroksylowa , z kolei od węgla C 4 do góry odchodzi grupa hydroksylowa . Węgiel C 4 łączy się z atomem tlenu, który to łączy się z atomem węgla C 1, co zamyka pięcioczłonowy pierścień. Ponadto od węgla C 4 odchodzi do dołu grupa . Oba anomeryczne atomy węgla, zarówno w pierścieniu fruktozy, jaki glukozy nie posiadają grup hydroksylowych. Łączy je mostek tlenowy.
Sacharoza to disacharyd złożony z dwóch reszt monosacharydowych (-glukozy oraz -fruktozy), połączonych ze sobą wiązaniem -glikozydowym.
Źródło: GroMar Sp. z o.o., licencja: CC BY-SA 3.0.
DisacharydydiasacharydyDisacharydy powstają z dwóch reszt monosacharydowych (identycznych lub różnych), połączonych wiązaniem –glikozydowym.
Ważne!
W zależności od tego, które grupy monosacharydów zostały zaangażowane w tworzenie wiązania glikozydowego, disacharyd wykazuje lub nie wykazuje właściwości redukujących.
Disacharydy należą do cukrów hydrolizującychhydrolizahydrolizujących i są glikozydami.
Ze względu na obecność grup – disacharydy mogą tworzyć estry.
bg‑gray1
Disacharydy redukujące
W grupie tej znajdują się: maltoza, celobioza, laktoza.
Cukry te:
dają pozytywny wynik w próbie Tollensa i Trommera;
tworzą glikozydy z alkoholami lub fenolami.
1
R1Ub6xKbAiDEs
Ilustracja przedstawiająca dwa sześcioczłonowe pierścienie łączące się ze sobą za pośrednictwem atomu tlenu. Dwucukier zbudowany jest z dwóch cząsteczek D‑glukozy, które łączy wiązanie -,-O-glikozydowe. Strukturę stanowi sześcioczłonowy pierścień glukozy, w którym pierwszy lokant stanowi atom węgla C 1 związany z atomem tlenu wbudowanym w tenże pierścień. Węgiel C 5 zamyka pierścień i łączy się ze wspomnianym atomem tlenu oraz węglem C 6, niewbudowanym w pierścień. Od węgla C 1 odchodzi w dół wiązanie łączące go z atomem tlenu, który to łączy się z węglem C 4 drugiego pierścienia D‑glukozy. Od węgli C 2 oraz C 4 odchodzą do dołu grupy hydroksylowe , zaś do góry od grupy C 3, grupa hydroksylowa odchodzi również od węgla C6. Drugi pierścień stanowi również cząsteczka D‑glukozy, którą stanowi sześcioczłonowy pierścień, który tworzą atomy węgla C1, C2, C3, C4 oraz C5, a także atom tlenu połączony z węglami o lokancie pierwszym i piątym. Od węgli C1 oraz C2 odchodzą w dół grupy hydroksylowe, od węgla C3 grupa hydroksylowa odchodzi w górę. Węgiel C4 łączy się w dół z atomem tlenu łączącym go z węglem C1 pierwszego pierścienia. Od węgla C5 do góry odchodzi grupa .
α‑maltoza to disacharyd zbudowany z dwóch reszt -glukozy, połączonych wiązaniem-,-glikozydowym.
Źródło: GroMar Sp. z o.o., licencja: CC BY-SA 3.0.
RzbXxY6r65JC1
Ilustracja przedstawiająca dwa sześcioczłonowe pierścienie łączące się ze sobą za pośrednictwem atomu tlenu. Dwucukier zbudowany jest z dwóch cząsteczek D‑glukozy, które łączy wiązanie -,-O‑glikozydowe. Strukturę stanowi sześcioczłonowy pierścień glukozy, w którym pierwszy lokant stanowi atom węgla C 1 związany z atomem tlenu wbudowanym w tenże pierścień. Węgiel C 5 zamyka pierścień i łączy się ze wspomnianym atomem tlenu oraz węglem C 6, niewbudowanym w pierścień. Od węgla C 1 odchodzi w górę wiązanie łączące go z atomem tlenu, który to łączy się z węglem C 4 drugiego pierścienia D‑glukozy. Od węgli C 2 oraz C 4 odchodzą do dołu grupy hydroksylowe , zaś do góry od grupy C 3, grupa hydroksylowa odchodzi również od węgla C sześć. Drugi pierścień stanowi również cząsteczka D‑glukozy, którą buduje sześcioczłonowy pierścień utworzony z atomów węgla C 1, C 2, C 3, C 4 oraz C 5, a także atom tlenu połączony z węglami o lokancie pierwszym i piątym. Od węgli C 1 oraz C 2 odchodzą w dół grupy hydroksylowe, od węgla C 3 grupa hydroksylowa odchodzi w górę. Węgiel C 4 łączy się w dół z atomem tlenu łączącym go z węglem C 1 pierwszego pierścienia. Od węgla C 5 do góry odchodzi grupa .
Celobioza jest dimerem glukozy, zbudowanym z dwóch cząsteczek glukozy oraz połączonych wiązaniem -,-glikozydowym.
Źródło: GroMar Sp. z o.o., licencja: CC BY-SA 3.0.
R1OYArl2nqRYP
Ilustracja przedstawiająca dwa sześcioczłonowe pierścienie łączące się ze sobą za pośrednictwem atomu tlenu. Strukturę stanowi sześcioczłonowy pierścień galaktozy, w którym pierwszy lokant stanowi atom węgla C 1 związany z atomem tlenu wbudowanym w tenże pierścień. Węgiel C 5 zamyka pierścień i łączy się ze wspomnianym atomem tlenu oraz węglem C 6, niewbudowanym w pierścień. Od węgla C 1 odchodzi w górę wiązanie łączące go z atomem tlenu, który to łączy się z węglem C 4 drugiego pierścienia D‑glukozy. Od węgli C 2 odchodzi w dół grupa hydroksylowa, zaś od węgli C 3 oraz C 4 grupy hydroksylowe odchodzą do góry. Od węgla C 5 odchodzi do góry wiązanie łączące go z węglem C 6, który to jest związany z grupą hydroksylową. Drugi pierścień stanowi cząsteczka D‑glukozy, którą buduje sześcioczłonowy pierścień utworzony przez atomy węgla C 1, C 2, C 3, C 4 oraz C 5, a także atom tlenu połączony z węglami o lokancie pierwszym i piątym. Od węgli C 1 oraz C 2 odchodzą w dół grupy hydroksylowe, od węgla C 3 grupa hydroksylowa odchodzi w górę. Węgiel C 4 łączy się w dół z atomem tlenu łączącym go z węglem C 1 pierwszego pierścienia. Od węgla C5 do góry odchodzi grupa .
Laktoza (‑-galaktopiranozylo(,)---glukopiranoza) to disacharyd zbudowany z -galaktozy i -glukozy, połączonych wiązaniem -,-glikozydowym.
Źródło: GroMar Sp. z o.o., licencja: CC BY-SA 3.0.
bg‑gray1
Disacharydy nieredukujące
Do disacharydów nieredukujących zalicza się sacharozę, co oznacza, że daje negatywne wyniki w próbach Tollensa, Trommera i Fehlinga. Sacharoza, podobnie jak większość disacharydów, jest ciałem stałym o barwie białej, bez zapachu i o słodkim smaku. Bardzo dobrze rozpuszcza się w wodzie.
Słownik
monosacharydy
monosacharydy
związki organiczne, które składają się z atomów węgla, wodoru i tlenu, o wzorze ogólnym ; związki te, które podczas hydrolizy nie tworzą prostszych cząsteczek
diasacharydy
diasacharydy
inaczej dwucukry, związki organiczne składające się z dwóch cząsteczek monosacharydów, połączonych wiązaniem glikozydowym
anomery
anomery
anomery to izomery różniące się położeniem grupy przy anomerycznym atomie węgla w cząsteczce cukru; anomer ma grupę skierowaną w dół ( pod płaszczyznę rysunku (pierścienia)), a anomer – w górę (nad płaszczyznę rysunku)
hydroliza
hydroliza
(gr. hýdōr „woda”, lýsis „rozłożenie”) rozkład substancji pod wpływem wody; reakcja podwójnej wymiany, zachodząca między wodą a substancją w niej rozpuszczoną, prowadząca do powstania cząsteczek nowych związków chemicznych
utlenianie
utlenianie
proces, który polega na oddaniu elektronu (elektronów) przez jon, atom lub grupę atomów, w wyniku czego podwyższa się stopień utlenienia pierwiastka oddającego elektrony
Bibliografia
Krzeczkowska M., Loch J., Mizera A., Chemia. Repetytorium. Liceum – poziom podstawowy i rozszerzony, Warszawa – Bielsko–Biała 2010.