Sprawdź się
Zaznacz prawidłową odpowiedź.
D‑galaktoza to aldoheksoza, której wzór Fischera jest podobny do wzoru D‑glukozy, z tą różnicą, że grupa -OH przy czwartym atomie węgla znajduje się po przeciwnej stronie niż w cząsteczce D‑glukozy. Na podstawie informacji wstępnej uzupełnij poniższy tekst, wpisując odpowiednio wyrażenia po „lewej” lub po „prawej” stronie tak, aby opisywały wzór Fischera D‑galaktozy.

D‑sorboza to ketoheksoza, której wzór Fischera jest podobny do wzoru D‑fruktozy, z tą różnicą, że grupa -OH przy trzecim i czwartym atomie węgla znajduje się po przeciwnej stronie niż w cząsteczce D‑fruktozy. Na podstawie informacji wstępnej uzupełnij poniższy tekst, wpisując odpowiednio wyrażenia po „lewej” lub po „prawej” stronie tak, aby opisywały wzór Fischera D‑sorbozy.

Poniżej przedstawiono wzór D‑fruktozy:

Wybierz poprawne określenia, charakteryzujące podany węglowodan.
Poniżej przedstawiono wzór D‑mannozy:
Zapoznaj się z opisem wzoru D‑mannozy.

Wybierz poprawne określenia, charakteryzujące podany węglowodan.
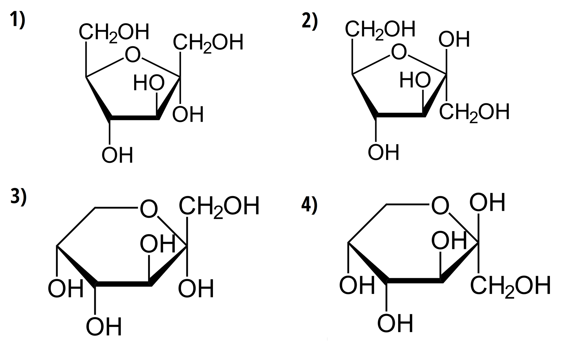
Nazwij poniższe cząsteczki.

2) 1. fruktopiranoza, 2. D, 3. fruktofuranoza, 4. β, 5. β, 6. D, 7. D, 8. fruktofuranoza, 9. D, 10. L, 11. L, 12. α, 13. fruktopiranoza, 14. α-1. fruktopiranoza, 2. D, 3. fruktofuranoza, 4. β, 5. β, 6. D, 7. D, 8. fruktofuranoza, 9. D, 10. L, 11. L, 12. α, 13. fruktopiranoza, 14. α-1. fruktopiranoza, 2. D, 3. fruktofuranoza, 4. β, 5. β, 6. D, 7. D, 8. fruktofuranoza, 9. D, 10. L, 11. L, 12. α, 13. fruktopiranoza, 14. α
3) 1. fruktopiranoza, 2. D, 3. fruktofuranoza, 4. β, 5. β, 6. D, 7. D, 8. fruktofuranoza, 9. D, 10. L, 11. L, 12. α, 13. fruktopiranoza, 14. α-1. fruktopiranoza, 2. D, 3. fruktofuranoza, 4. β, 5. β, 6. D, 7. D, 8. fruktofuranoza, 9. D, 10. L, 11. L, 12. α, 13. fruktopiranoza, 14. α-1. fruktopiranoza, 2. D, 3. fruktofuranoza, 4. β, 5. β, 6. D, 7. D, 8. fruktofuranoza, 9. D, 10. L, 11. L, 12. α, 13. fruktopiranoza, 14. α
4) 1. fruktopiranoza, 2. D, 3. fruktofuranoza, 4. β, 5. β, 6. D, 7. D, 8. fruktofuranoza, 9. D, 10. L, 11. L, 12. α, 13. fruktopiranoza, 14. α-1. fruktopiranoza, 2. D, 3. fruktofuranoza, 4. β, 5. β, 6. D, 7. D, 8. fruktofuranoza, 9. D, 10. L, 11. L, 12. α, 13. fruktopiranoza, 14. α-1. fruktopiranoza, 2. D, 3. fruktofuranoza, 4. β, 5. β, 6. D, 7. D, 8. fruktofuranoza, 9. D, 10. L, 11. L, 12. α, 13. fruktopiranoza, 14. α
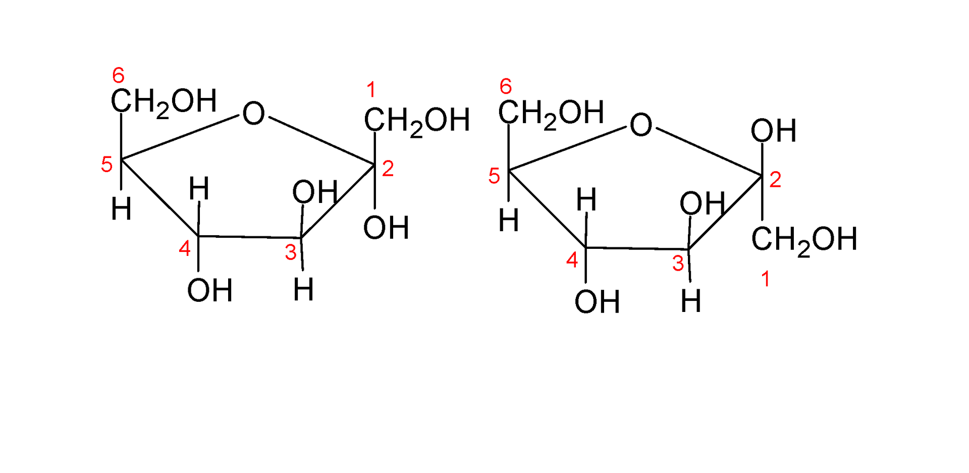
Podaj numery atomów węgla, odpowiadające anomerycznym atomom węgla w cząsteczkach alfa‑D-fruktofuranozy i beta‑D-fruktofuranozy.

β‑D-fruktofuranoza: 1. 1, 2. 6, 3. 4, 4. 3, 5. 6, 6. 2, 7. 4, 8. 2, 9. 3, 10. 1, 11. 5, 12. 5
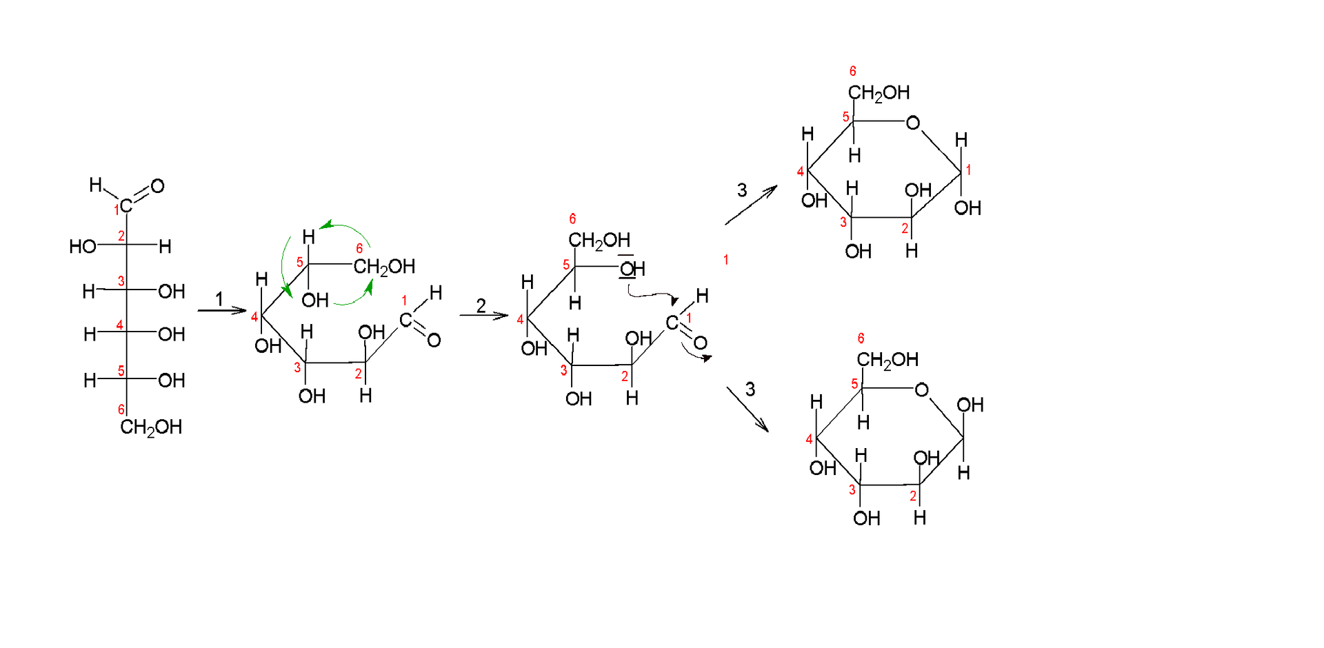
Wzory monosacharydów można przedstawić za pomocą projekcji Fischera (wzory liniowe) lub projekcji Hawortha (wzory taflowe). Poniżej przedstawiono wzór D‑altrozy w projekcji Fischera. Wpisując w puste pola OH lub H, uzupełnij schemat tak, aby przedstawiał wzór alfa‑D-altropiranozy w projekcji Hawortha.

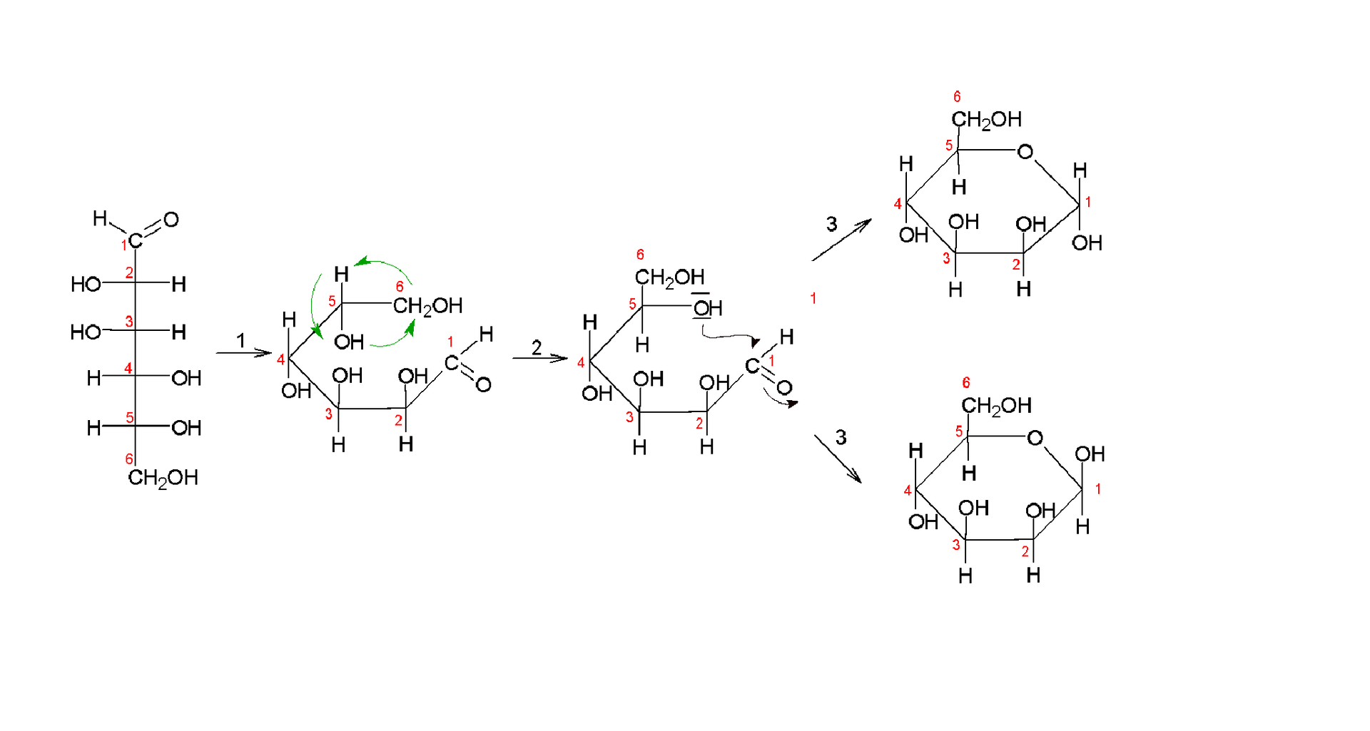
Poniżej przedstawiono wzór D‑mannozy w projekcji Fischera. Wpisując w puste pola OH lub H, uzupełnij schemat tak, aby przedstawiał wzór beta‑D-mannopiranozy w projekcji Hawortha.






