Sprawdź się
Wybierz prawidłowe zdanie dotyczące reakcji eliminacji typu i .
Zaznacz prawdziwe zakończenie poniższego zdania.
Odpowiedź na poniższe pytanie.
W ilu etapach przebiega reakcja eliminacji typu i ?
Zweryfikuj, które ze zdań są prawdziwe, a które fałszywe.
Uzupełnij mechanizm reakcji typu , prowadzącej do otrzymania -metylopropenu. Wstaw elementy w brakujące miejsca.
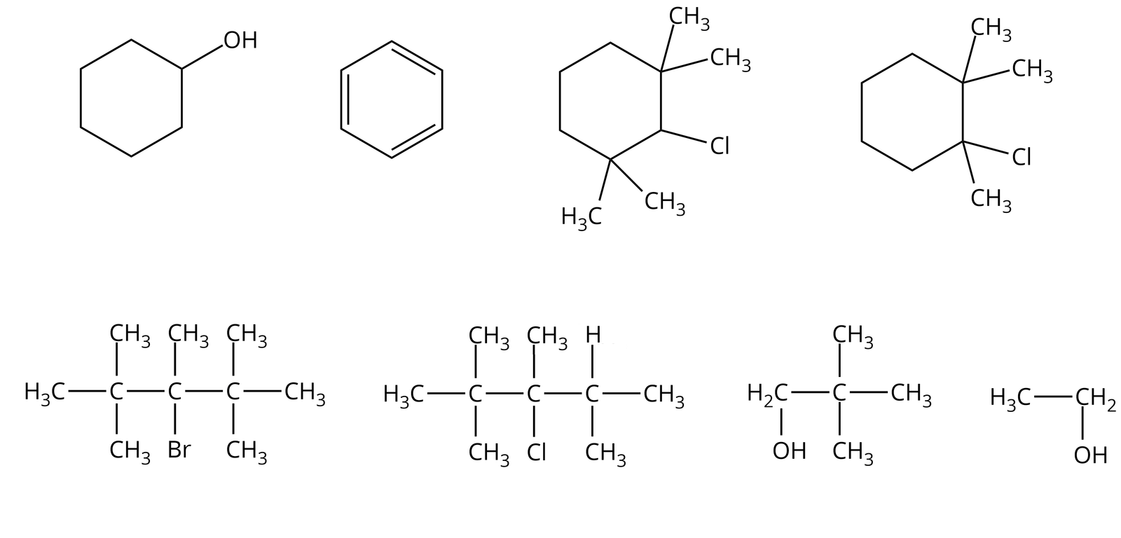
Warunkiem reakcji eliminacji, która prowadzi do powstawania wiązań podwójnych, jest obecność atomu wodoru przy atomie węgla, sąsiadującym z atomem węgla związanym z atomem fluorowca lub grupą wodorotlenkową.
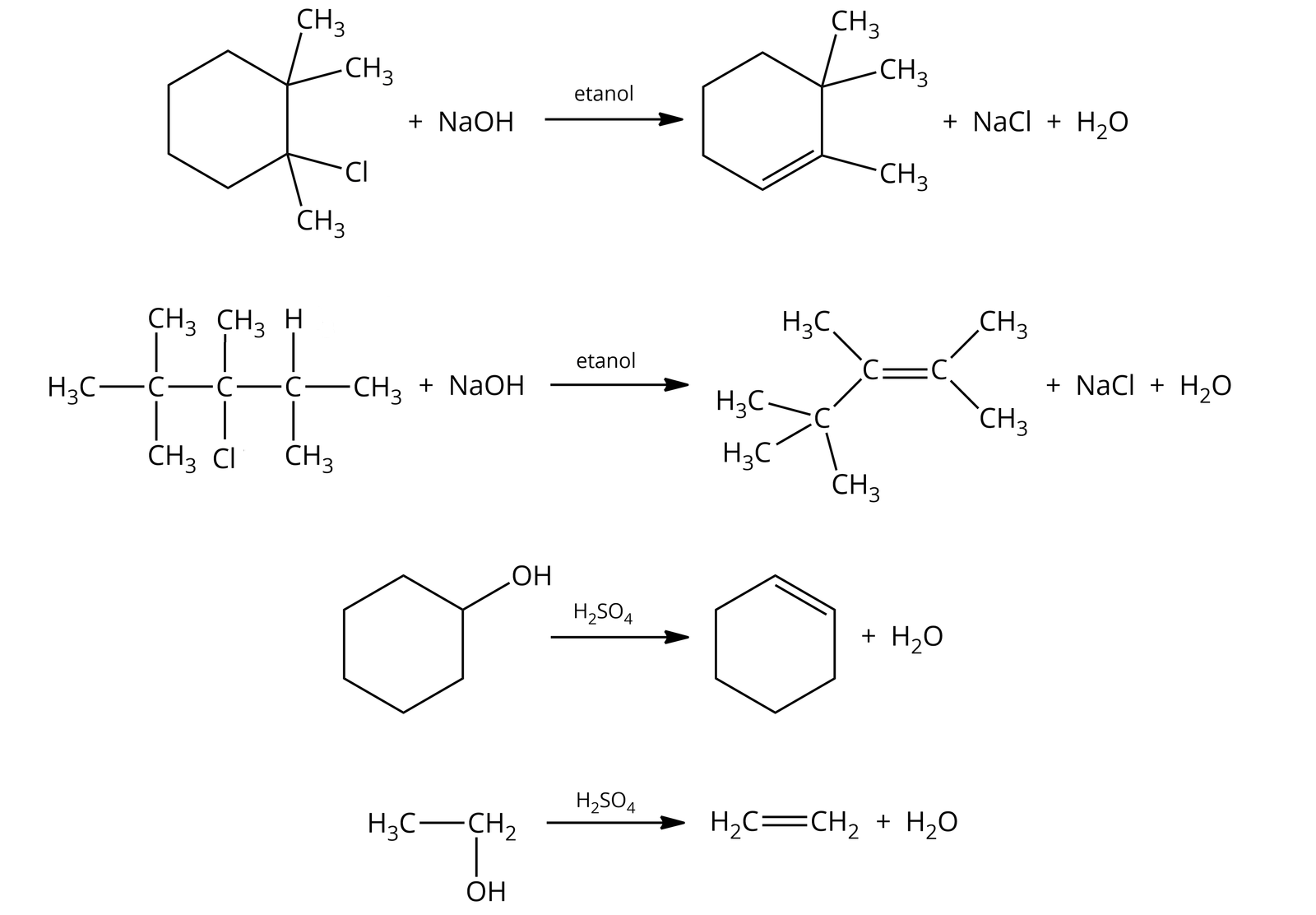
Zapisz równania reakcji eliminacji, za pomocą pod wpływem etanolu, wszystkich fluorowcopochodnych węglowodorów, które prowadzą do zwiększenia nienasycenia cząsteczki. Następnie zapisz reakcje dehydratacji alkoholi zachodzących pod wpływem kwasu.

Z podanych elementów skonstruuj mechanizm eliminacji typu .

