Sprawdź się
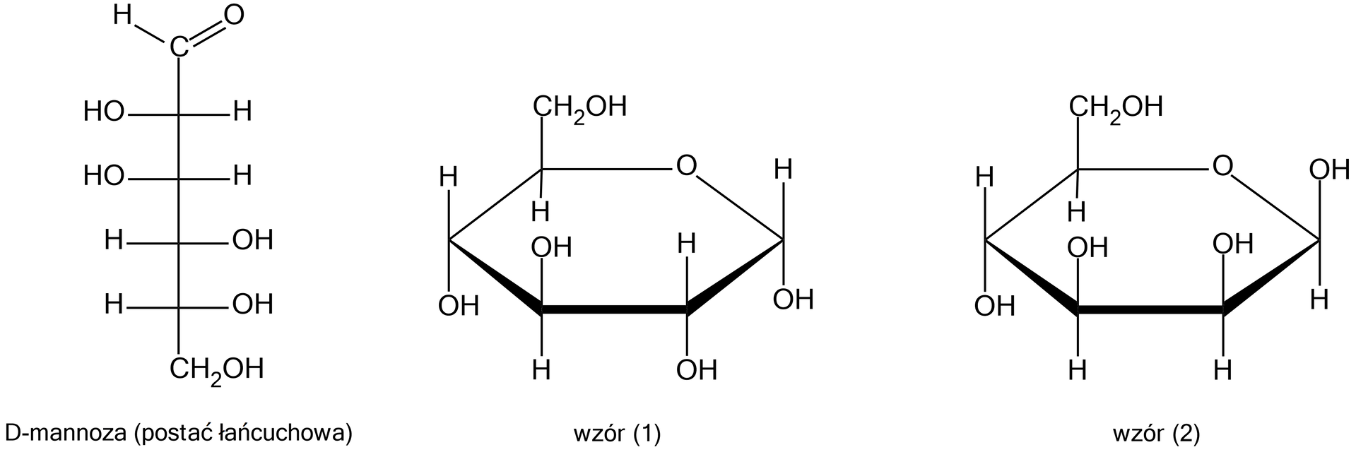
-Mannoza jest cukrem, który występuje m.in. w bulwach storczyków. W oparciu o przedstawiony wzór -mannozy w formie łańcuchowej wybierz, który ze wzorów Hawortha przedstawia -mannozę w postaci pierścieniowej i podaj określenie anomeru.

Wzór formy pierścieniowej D-mannozy jest pokazany na rysunku {(1)}/{#(2)} i przedstawia anomer {α}/{#β}.
Wzory przedstawiono w projekcjach Fischera.
Wzór aldehydu D-glicerynowego zbudowany jest z trzech atomów węgla. Pierwszy z nich należy do grupy aldehydowej znajdującej się u góry wzoru. Drugi atom łączy się z po prawej stronie z grupą hydroksylową, a po lewej z atomem wodoru. Ostatni w łańcuchu atom węgla znajduje się w dolnej części projekcji i należy do grupy podstawionej grupą hydroksylową .
Wzór dihydroksyacetonu składa się z trzech atomów węgla. Drugi w łańcuchu atom węgla łączy się za pomocą wiązania podwójnego z atomem tlenu oraz za pomocą wiązań pojedynczych z dwiema grupami metylenowymi , z których każda podstawiona jest grupą hydroksylową znajdującą się po prawej stronie łańcucha głównego w projekcji Fischera. Możliwe odpowiedzi: 1. Tylko aldehyd D-glicerynowy., 2. Tylko dihydroksyaceton., 3. Obydwa związki., 4. Żaden z nich.
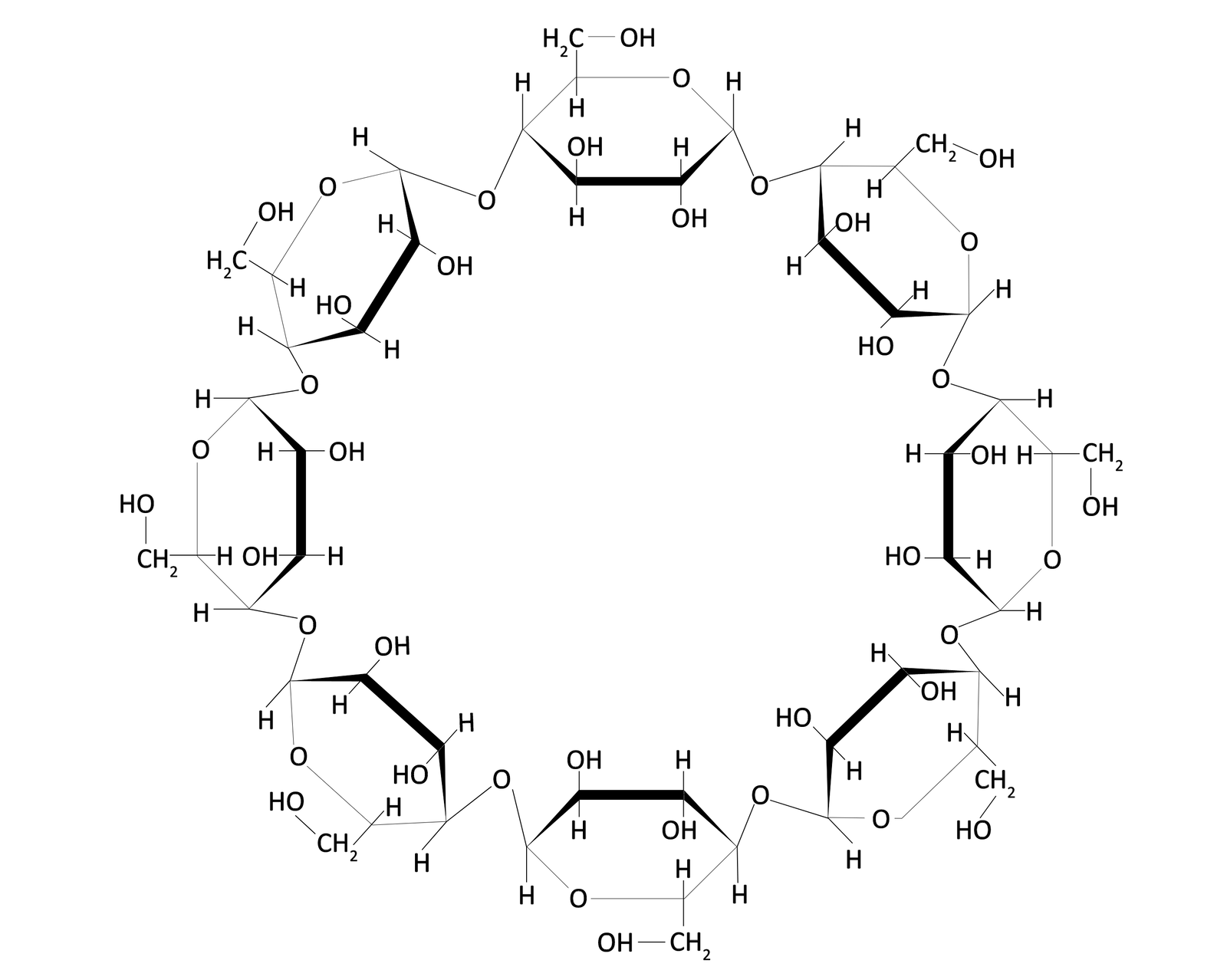
W skład naturalnej skrobii wchodzą m.in. cyklodekstryny, które zawierają różną liczbę jednostek glukopiranozowych połączonych w układ cykliczny. Poniższy wzór przedstawia -cyklodekstrynę. Wiedząc, że utworzeniu wiązania -glikozydowego towarzyszy eliminacja cząsteczki wody, ustal wzór sumaryczny cząsteczki
-cyklodekstryny oraz podaj, w jakiej postaci anomerycznej występują podjednostki glukopiranozowe.
