Sprawdź się
Uzupełnij luki w tekście, pamiętając o odpowiedniej odmianie wyrazów.
Aminokwasy to związki ........................, tzn. takie, które zawierają dwie grupy funkcyjne w swojej cząsteczce. W aminokwasach są to: grupa ........................ -COOH oraz grupa .............. -NH2. Często są uznawane za pochodne ............................................, w których atom wodoru w grupie węglowodorowej został podstawiony przez grupę aminową.
Czy nazwa L‑glicyna jest poprawna? Odpowiedź uzasadnij.
Pod jakim względem może być zróżnicowana występująca w cząsteczce aminokwasu grupa -R?
Przyporządkuj nazwy systematyczne do wzorów aminokwasów:

B) 1. kwas 3‑amino‑2-hydroksypropanowy, 2. kwas 2‑amino‑3-fenylopropanowy, 3. kwas 2‑amino‑3-hydroksypropanowy, 4. kwas 3‑amino‑2-fenylopropanowy, 5. kwas 2‑aminopropanowy, 6. kwas 3‑aminopropanowy
C) 1. kwas 3‑amino‑2-hydroksypropanowy, 2. kwas 2‑amino‑3-fenylopropanowy, 3. kwas 2‑amino‑3-hydroksypropanowy, 4. kwas 3‑amino‑2-fenylopropanowy, 5. kwas 2‑aminopropanowy, 6. kwas 3‑aminopropanowy
kwas 2‑aminopropanowy, kwas 3‑amino‑2-fenylopropanowy, kwas 2‑amino‑3-fenylopropanowy, kwas 2‑amino‑3-hydroksypropanowy, kwas 3‑amino‑2-hydroksypropanowy, kwas 3‑aminopropanowy
A) ........................................................................
B) ........................................................................
C) ........................................................................
Punkt izoelektryczny dla alaniny odpowiada wartości pH = 6. Napisz wzory półstrukturalne odpowiednich form jonowych alaniny dla następujących wartości pH:
A) pH = 2;
B) pH = 6;
C) pH = 10.
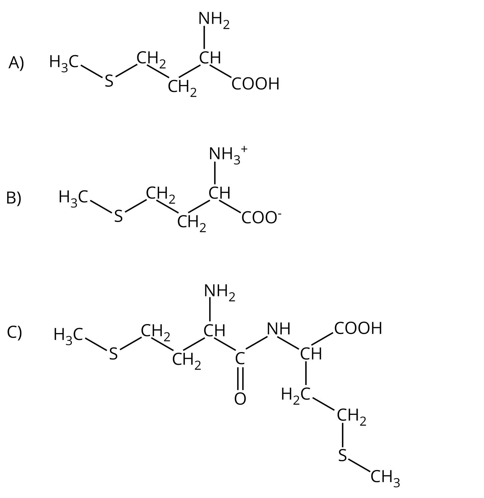
Metionina jest alfa‑aminokwasem, który pomiędzy czwartym a piątym (ostatnim) atomem węgla w cząsteczce posiada ugrupowanie .
A) Podaj wzór półstrukturalny tego aminokwasu.
B) Zapisz wzór półstrukturalny jonu obojnaczego.
C) Podaj wzór półstrukturalny dipeptydu, zbudowanego z dwóch cząsteczek metioniny.
Metionina jest alfa‑aminokwasem, który pomiędzy czwartym a piątym (ostatnim) atomem węgla w cząsteczce posiada ugrupowanie –S–.
A. Podaj wzór sumaryczny tego aminokwasu.
B. Wyjaśnij, kiedy może się pojawić jon obojnaczy.
C. Podaj wzór sumaryczny dipeptydu, który jest zbudowany z dwóch cząsteczek metioniny.
Aminokwas X jest aminokwasem białkowym, który daje pozytywny wynik reakcji ksantoproteinowej. Liczba atomów węgla w cząsteczce tego związku wynosi tyle, ile liczba atomowa pierwiastka o najwyższej wartości elektroujemności. Podczas chlorowania tego związku w obecności światła można uzyskać dwie monochloropochodne lub dwie dichloropochodne. Podaj wzór półstrukturalny aminokwasu X.
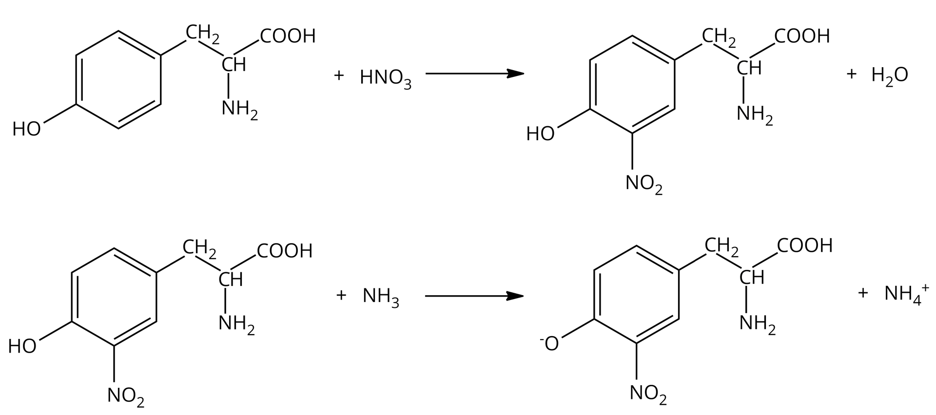
Tyrozyna to aminokwas, który zawiera w cząsteczce pierścień aromatyczny. Ulega zatem reakcji nitrowania, charakterystycznej dla związków aromatycznych.

Zapisz wnioski wraz z równaniami reakcji z opisanego rysunkiem doświadczenia, który został przeprowadzony z udziałem tyrozyny. Jej wzór półstrukturalny przedstawiono powyżej.





