Sprawdź się
Zaznacz poprawną odpowiedź.
Pierwszorzędowe amidy to pochodne kwasów karboksylowych, w których grupę hydroksylową –OH w grupie funkcyjnej zastąpiono:
- grupą aminową
- grupą karbonylową
- grupą benzylową
- grupą acylową
Zapisz nazwy poniższych amidów:

Aspartam jest związkiem chemicznym, który używany jest jako słodzik. Na poniższym związku zaznacz wiązania amidowe.
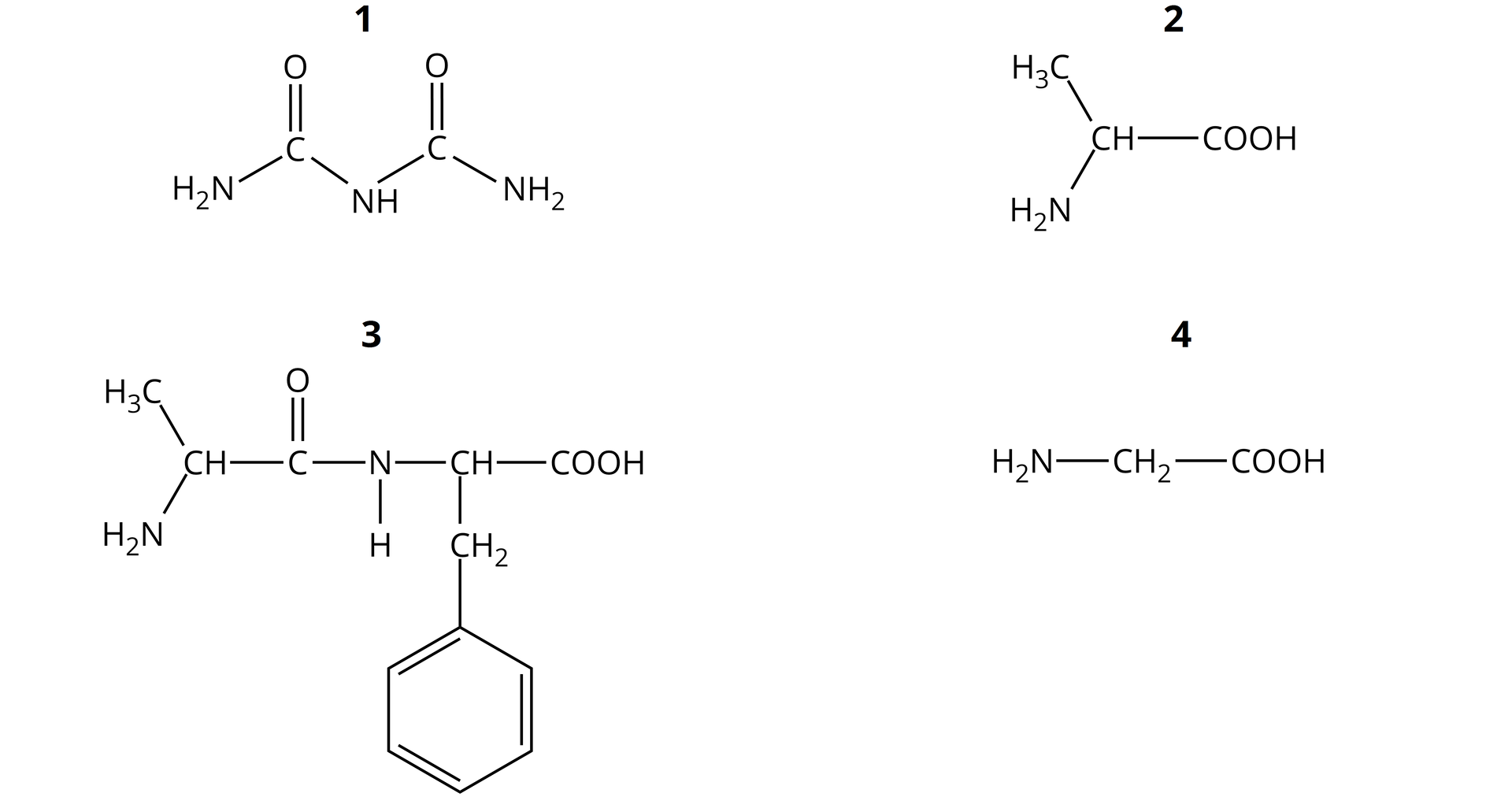
Związki chemiczne posiadające co najmniej dwa wiązania amidowe występujące obok siebie, można wykryć za pomocą reakcji biuretowej. Reakcja ta polega na dodaniu do roztworu badanego amidu świeżo wytrąconego wodorotlenku miedzi(II) w środowisku silnie zasadowym . W wyniku tej reakcji można zaobserwować zmianę barwy roztworu na fioletową. Z przedstawionych poniżej związków wybierz te, które można wykryć za pomocą reakcji biuretowej.

- 1
- 2
- 3
- 4
Oblicz zawartość procentową azotu w N‑fenyloetanoamidzie. Wynik podaj z dokładnością do dwóch miejsc po przecinku. Do obliczeń przyjmij następujące masy molowe: MIndeks dolny CC= 12 , MIndeks dolny HH= 1 , MIndeks dolny OO = 16 , MIndeks dolny NN= 14 .

W oparciu o poniższy wzór kwasu nikotynowego zapisz wzór I‑rzędowego amidu kwasu nikotynowego.
W oparciu o opis wzoru kwasu nikotynowego opisz wzór I‑rzędowego amidu kwasu nikotynowego.

Wiedząc, że laktamy to amidy powstające w wyniku cyklizacji tzw. gamma -aminokwasów lub delta -aminokwasów, zapisz równania reakcji, w których powstają laktamy z następujących związków.

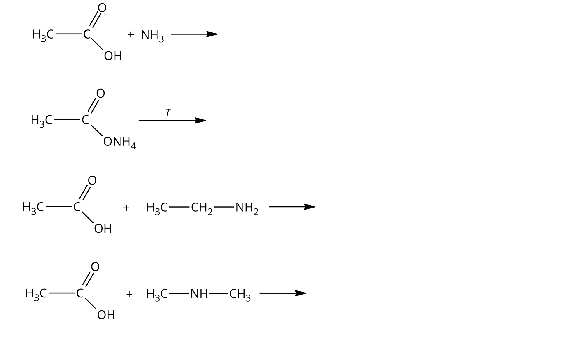
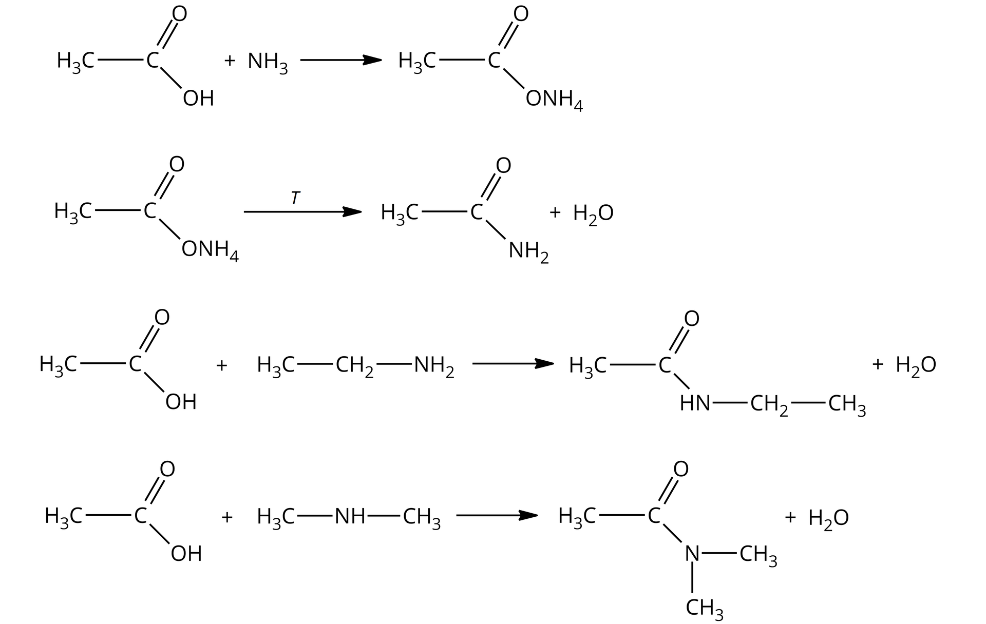
Poniższe równania obrazują metody otrzymywania amidów o różnej rzędowości. Dokończ je, stosując wzory półstrukturalne produktów organicznych.





